Онлайн книга «На волне Вселенной. Шрёдингер. Квантовые парадоксы»
|
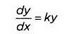
Каждому значению х уравнения соответствует значение у, таким образом появляется множество точек с координатами (х, у), образующих кривую. Функции с двумя переменными представлены в виде поверхности, размещенной в трехмерном пространстве; с тремя переменными и более — бросают вызов способности человеческого мозга их представить. Как и числа, функции могут подчиняться целому ряду математических условий, и те, которые этим условиям удовлетворяют, становятся решениями уравнения. Дифференциальные уравнения практически ничем не отличаются от алгебраических, однако их решения разнообразнее (решениями могут быть функции), как и возможные действия (операции включают производные). Например: ![]() РИС. 3 ![]() где k — константа. Древние так сформулировали бы это уравнение: какая функция, будучи дифференцированной, равна константе k, помноженной на ту же функцию? Ответ: у(х) = у0еkx, где у0 = у(0) — дополнительное требование к уравнению. Само обозначение у(х) подчеркивает зависимость у от х. Производная функции отражает динамику — то, как первая переменная величина меняется с помощью второй. На кривой рисунка 4 (стр. 79) у изменяется прогрессивно при условии, что значение х увеличивается. Чтобы выявить эту динамику изменения, можно использовать касательную, то есть прямую, которая касается кривой функции в одной точке. Наблюдая за углом, который образует касательная к оси абсцисс, мы получаем наглядное представление о значении производной функции. Горизонтальная касательная недвусмысленно говорит о нулевой производной (у не изменяется при изменении х), тогда как касательная, приближающаяся к оси ординат, соответствует производной, движущейся к бесконечности (и очень увеличивающейся с малейшим изменением х). В настоящем случае наклон всех касательных является малым, то есть они постепенно удаляются от абсцисс (рисунок 5). ![]() РИС. 4 ![]() РИС. 5 ![]() РИС. 6 ![]() РИС. 7 ![]() РИС. 8 Если бы кривая представляла план участка, мы едва ли заметили бы неровности, шагая по нему Однако переменная величина у некоторых функций изменяется прерывисто (рисунок 6). Рисуя производные (касательные), мы замечаем, что среди них есть некоторое число вертикальных. По такой поверхности идти довольно сложно (рисунок 7). Касательные новой функции больше тяготеют к вертикальной оси и не приближаются к горизонтальной, динамика их изменений замедляется в вершинах и впадинах кривой (рисунок 8). В дифференциальные уравнения также могут быть введены вторичные производные, то есть производные производных. Информация, предоставленная этим повторным действием, говорит о динамике изменений касательной. Мы видим, что если взять какую-либо функцию, как на рисунке 9, затем ее вытянуть (рисунок 10) и, наконец, сжать (рисунок 11), переменная у принимает одинаковые значения в обоих случаях. Тем не менее на рисунке 10 она это делает таким образом, что касательная изменяется постепенно, при условии, что х растет (ее вторичная производная мала); в обратном случае, на рисунке 11, касательная сильно колеблется (ее вторая производная увеличена). Когда неизвестная функция зависит от одной переменной, как в случае с у(х), дифференциальное уравнение называется обычным. Когда она зависит от нескольких переменных, как f(x, у) или g(x, у, z), речь идет о дифференциальном уравнении с частичными производными, именно таким является уравнение Шрёдингера, которое зависит, главным образом, от трех пространственных и временной координат. ![]() РИС. 9 ![]() РИС. 10 ![]() РИС. 11 Производные оказываются идеальным инструментом для описания законов природы. Расположение молекул воздуха изменяется совсем как температура какого-либо металла, атмосферное давление, количество радиоактивных ядер при распаде, плотность пластика, натяжение кожи барабана... Эти изменения могут быть внезапными или постепенными, прогрессирующими постоянно или происходящими мгновенно, циклическими или хаотичными. Цель ученого — определить правила этих изменений, локализовать их агентов и посредников, понять роль, которую они играют, и установить их скорость. Дифференциальные уравнения решают эту задачу математически четко и последовательно. Они часто описывают феномены, существование которых до сих пор было вне подозрений, начиная с физической наглядности или анализа ситуации. Иногда прибегают к помощи уравнений, чтобы составить новый сценарий и потом доказать, что еще не изученное явление, следуя собственным законам, развивается, исходя из изначально сформулированных предпосылок. Именно в этой роли производные используются как профессиональный инструмент химиков, инженеров, биологов и экономистов. Язык производных Смысл производных помогает расшифровать потаенный язык дифференциальных уравнений. Возьмем уже привычный пример: ![]() с его решением: у(х) =у0еkx. |
![Иллюстрация к книге — На волне Вселенной. Шрёдингер. Квантовые парадоксы [img_41.jpg] Иллюстрация к книге — На волне Вселенной. Шрёдингер. Квантовые парадоксы [img_41.jpg]](img/book_covers/076/76610/img_41.jpg)
![Иллюстрация к книге — На волне Вселенной. Шрёдингер. Квантовые парадоксы [img_42.jpg] Иллюстрация к книге — На волне Вселенной. Шрёдингер. Квантовые парадоксы [img_42.jpg]](img/book_covers/076/76610/img_42.jpg)
![Иллюстрация к книге — На волне Вселенной. Шрёдингер. Квантовые парадоксы [img_43.jpg] Иллюстрация к книге — На волне Вселенной. Шрёдингер. Квантовые парадоксы [img_43.jpg]](img/book_covers/076/76610/img_43.jpg)
![Иллюстрация к книге — На волне Вселенной. Шрёдингер. Квантовые парадоксы [img_44.jpg] Иллюстрация к книге — На волне Вселенной. Шрёдингер. Квантовые парадоксы [img_44.jpg]](img/book_covers/076/76610/img_44.jpg)
![Иллюстрация к книге — На волне Вселенной. Шрёдингер. Квантовые парадоксы [img_45.jpg] Иллюстрация к книге — На волне Вселенной. Шрёдингер. Квантовые парадоксы [img_45.jpg]](img/book_covers/076/76610/img_45.jpg)
![Иллюстрация к книге — На волне Вселенной. Шрёдингер. Квантовые парадоксы [img_46.jpg] Иллюстрация к книге — На волне Вселенной. Шрёдингер. Квантовые парадоксы [img_46.jpg]](img/book_covers/076/76610/img_46.jpg)
![Иллюстрация к книге — На волне Вселенной. Шрёдингер. Квантовые парадоксы [img_47.jpg] Иллюстрация к книге — На волне Вселенной. Шрёдингер. Квантовые парадоксы [img_47.jpg]](img/book_covers/076/76610/img_47.jpg)
![Иллюстрация к книге — На волне Вселенной. Шрёдингер. Квантовые парадоксы [img_48.jpg] Иллюстрация к книге — На волне Вселенной. Шрёдингер. Квантовые парадоксы [img_48.jpg]](img/book_covers/076/76610/img_48.jpg)
![Иллюстрация к книге — На волне Вселенной. Шрёдингер. Квантовые парадоксы [img_49.jpg] Иллюстрация к книге — На волне Вселенной. Шрёдингер. Квантовые парадоксы [img_49.jpg]](img/book_covers/076/76610/img_49.jpg)
![Иллюстрация к книге — На волне Вселенной. Шрёдингер. Квантовые парадоксы [img_50.jpg] Иллюстрация к книге — На волне Вселенной. Шрёдингер. Квантовые парадоксы [img_50.jpg]](img/book_covers/076/76610/img_50.jpg)
![Иллюстрация к книге — На волне Вселенной. Шрёдингер. Квантовые парадоксы [img_51.jpg] Иллюстрация к книге — На волне Вселенной. Шрёдингер. Квантовые парадоксы [img_51.jpg]](img/book_covers/076/76610/img_51.jpg)