Онлайн книга «Ферми. Ядерная энергия»
|
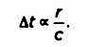
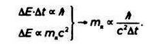
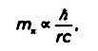
ПРОБЛЕМА УРАНА В то время существовало два основных мнения по поводу цепных реакций деления урана. Бор доказал, что делятся атомы урана-235 (он составляет 1 % от всего природного урана), а не более распространенного урана-238, который имеет тенденцию поглощать большое количество нейтронов и образовывать уран-239. Поэтому Бор утверждал, что в случае возникновения цепной реакции надо разделять большое количество изотопов урана-235, или, как мы сказали бы сегодня, обогатить уран. Ферми же, напротив, думал, что с хорошим замедлителем и термическими нейтронами можно вызвать цепную реакцию с природным ураном и даже чуть меньше 0,7 % урана-235. Даннинг, научный руководитель Андерсона, разделял мнение Бора. Он поручил Альфреду Ниру, специалисту по делению изотопов, работу над проблемой обогащения урана. Именно Нир первым определил соотношение изотопов урана- 235 к урану-238 (он нашел хорошее приблизительное значение 1 /139). Ферми видел, что можно пойти по любому из этих двух путей, но предполагал, что обогащение урана вызовет больше трудностей, чем продолжение уже начатой работы. Однако ему пришлось оставить свои исследования, особенно после статьи в The New York Times, опубликованной по итогам конференции Американского физического общества, в которой сравнивались научные подходы в области изучения цепных реакций. В 1934 году Юкава заявил о существовании мезотрона, частицы — переносчика значительной ядерной силы, держащей ядра вместе. Он назвал эту частицу, отталкиваясь от греческого слова mesos («средний»), поскольку ее масса была средней между массой протона и электрона. Впоследствии Гейзенберг, как сын преподавателя греческого языка, исправил этот вариант, и сегодня семья бозонов, существование которой было предсказано Юкавой, известна как мезоны. Под влиянием открытия Юкавы Карл Дэвид Андерсон и Сет Неддермейер назвали новую частицу, выявленную в космической радиации, мезотроном (впоследствии она оказалась новым лептоном — мюоном). Мюон ведет себя как фермион, а его масса примерно в 200 раз превышает массу электрона и очень близка к мезотрону Юкавы. Свойства этой частицы поразили научное сообщество. РАСЧЕТ МАССЫ ПОКОЯ ПИОНА Массу покоя пи-мезона, или пиона, можно приблизительно рассчитать способом, аналогичным предсказанному Юкавой (это хороший пример подсчета, который в то время выполнил Ферми). Отталкиваясь от принципа неопределенности энергии-времени и от уравнения Эйнштейна, мы получим: ![]() Затем применим теорию относительности, поскольку пион не может иметь скорость, превышающую скорость света, а значит, чтобы переместиться на расстояние г, максимальным значением будет: ![]() Следовательно, ![]() что не противоречит нуклоновой силе. Если мы обозначим через г приблизительный радиус вовлеченных частиц, протонов и нейтронов ядра, то r ≈ 2·10-15 м. Заменив постоянную Планка и скорость света, мы получим приближение, при котором mx ≈ 200 me ≈ 100 МэВ/с2; масса пиона примерно в 200 раз больше массы электрона (me ≈ 0,5 МэВ/с2). Сегодня считается, что масса пиона π° равна примерно 135 МэВ/с2, а масса мюона (лептона, с которым его путали вначале) — примерно 105,7 МэВ/с2. Ошибка была вполне закономерной, учитывая погрешность измерений того времени. Добавим, что названия «пион» и «мюон» были предложены Ферми. Придумав название для нейтрино, ученый находил удовольствие в том, чтобы упорядочивать терминологию физики частиц. То, что мюон не является одним из мезонов Юкавы, было открыто после того, как в 1939 году Ферми опубликовал свою работу Absorption of Mesotrons in Air and in Condensed Materials («Поглощение мезотронов в воздухе и в конденсированных материалах >) в которой он анализировал поглощение мезотронов, возможно пытаясь найти более легкие, чем нейтроны, частицы для бомбардировки ядра урана. Мысленные эксперименты Ферми по сталкиванию новых частиц на десятки лет опережали существовавшие тогда технологии. К тому же у Ферми были свои счеты с «элементом 93», доставившим ему столько головной боли после того, как в июне 1934 года он опубликовал в журнале Nature статью «Возможное образование элементов с атомным номером выше 92». В статье Simple Capture of Neutrons by Uranium («Простой захват нейтронов ураном»), написанной совместно с Андерсоном, Ферми доказывал, что изотоп урана-238 в состоянии захватывать медленные нейтроны и после перехода в радиоактивный изотоп урана-239 разлагается на мелкие части. Получался элемент с атомным номером 93 и атомной массой 239, которому Макмиллан и Абельсон в Беркли дали название нептуний. А он, в свою очередь, был промежуточным этапом, ведущим к плутонию — элементу, имеющему огромное значение для ядерных технологий. Нейтроны, испускаемые при первом делении урана, рассеиваются ядрами с меньшей массой, которые находятся в замедлителе. Их энергия в ходе этих столкновений значительно уменьшается, и, следовательно, они не в состоянии вызывать последующее деление урана-238, но могут быть захвачены и участвовать в образовании урана-239. Изотопы урана и их деление были основным объектом внимания ученых, когда в феврале 1940 года Ферми поехал в Беркли и в сотрудничестве с Сегре создал новый циклотрон, на котором ученые продемонстрировали возможности деления урана-235 с помощью альфа-частиц. Вернувшись в Колумбийский университет, Ферми вместе с Андерсоном проанализировал создание и поглощение медленных нейтронов углеродом C126 в куске графита. Это вещество не содержит водорода и, следовательно, замедляет скорость нейтронов незначительно. Главная причина, по которой графит стали использовать, заключается в том, что он поглощает меньше нейтронов, чем другие материалы. Завершающий штрих в контроле цепной реакции Ферми поставил, применив кадмий. Вскоре выяснилось, что водород Н11 очень эффективен для захвата нейтронов и образования дейтерия Н21 и что эти нейтроны теряются в ходе цепной реакции. ![]() Радиоактивный ряд урана-238, изученный Ферми. Указанное время соответствует средней продолжительности жизни изотопа. Оно обозначается, когда речь идет об альфа- или бета- распаде. Ферми вывел уравнение рассеяния, описывающее поведение нейтронов, а позже, опять же вместе с Андерсоном, определил вероятность того, что уран после деления спровоцирует каскад радиоактивных распадов (так называемый процесс разветвления), который был ему знаком со времен изучения бета-распада. Продукты многих альфа- и бета-распадов могут состоять из еще не стабильных ядер. Эти ядра распадаются снова и снова, пока не появится стабильный элемент. Совокупность этих предопределенных ядерных распадов называется радиоактивным рядом. Радиоактивный ряд урана-238 (см. рисунок), который изучал Ферми, заканчивается созданием стабильного изотопа свинца-206 и занимает 4,51·109 лет. Именно по этой причине в природных залежах урана всегда находят свинец, и именно поэтому радиоактивные останки так опасны, ведь средняя продолжительность жизни радиоактивных материалов обычно огромная. Тем временем Рузвельт отреагировал на продвижение Гитлера в Европе, создав Национальный совет по оборонным исследованиям (National Defense Research Committee, или NDRC) и в его рамках — особую комиссию по изучению урана. Ни Ферми, ни Силард сначала не были допущены в этот орган, поскольку не были гражданами США. Деление урана уже представляло собой вопрос государственной важности, а вскоре ему было суждено обрести и мировое значение. NDRC стремился направить науку на военные цели. Американское правительство знало, что рано или поздно США должны вступить в европейский военный конфликт. |
![Иллюстрация к книге — Ферми. Ядерная энергия [img_50.jpg] Иллюстрация к книге — Ферми. Ядерная энергия [img_50.jpg]](img/book_covers/076/76604/img_50.jpg)
![Иллюстрация к книге — Ферми. Ядерная энергия [img_51.jpg] Иллюстрация к книге — Ферми. Ядерная энергия [img_51.jpg]](img/book_covers/076/76604/img_51.jpg)
![Иллюстрация к книге — Ферми. Ядерная энергия [img_52.jpg] Иллюстрация к книге — Ферми. Ядерная энергия [img_52.jpg]](img/book_covers/076/76604/img_52.jpg)
![Иллюстрация к книге — Ферми. Ядерная энергия [img_53.jpg] Иллюстрация к книге — Ферми. Ядерная энергия [img_53.jpg]](img/book_covers/076/76604/img_53.jpg)