Книга Лейбниц. Анализ бесконечно малых, страница 5 – Jose Munoz Santonja

Авторы: А Б В Г Д Е Ж З И Й К Л М Н О П Р С Т У Ф Х Ч Ш Ы Э Ю Я
Книги: А Б В Г Д Е Ж З И Й К Л М Н О П Р С Т У Ф Х Ц Ч Ш Щ Ы Э Ю Я
Бесплатная онлайн библиотека LoveRead.in

Онлайн книга «Лейбниц. Анализ бесконечно малых»

📃 Cтраница 5

Vrn = n(n-1) • ... • (n-r+1),

где количество множителей равно r, начиная с n.

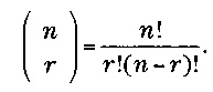
Наконец, в сочетаниях нас не интересует порядок, мы только хотим знать, сколько существует различных вариантов выбора подмножеств из множества заданных объектов. Допустим, у нас есть набор монет, в котором присутствует только одна монета каждого номинала от 1 евроцента до 2 евро. Если нам дадут три монеты, нас не будет интересовать порядок, в котором они у нас появятся; как известно, от перестановки слагаемых сумма не меняется.

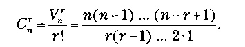
Чтобы найти количество сочетаний п объектов, взятых по г, мы пользуемся таким выражением:

Иллюстрация к книге — Лейбниц. Анализ бесконечно малых [img_2.jpg]

Следующее выражение соответствует частному между факториалами, называемому числом сочетаний:

Иллюстрация к книге — Лейбниц. Анализ бесконечно малых [img_3.jpg]

Итак, если бы мы хотели вычислить, сколько групп из 3 книг мы можем выбрать из возможных 15, нам пришлось бы вычислять число сочетаний 15 элементов взятых по 3, что дало бы:

Иллюстрация к книге — Лейбниц. Анализ бесконечно малых [img_4.jpg]

Но комбинаторика почти с начала времен используется не только в математике, как можно было бы подумать, но и во многих других дисциплинах. Упоминания о перестановках встречаются в древних ассирийских текстах или в греческих источниках. В иудейских документах утверждается, что буквы алфавита расставлены мистическим образом и, если правильно скомбинировать символы и знаки, можно получить любое создание. В самом Талмуде говорится, что с помощью перестановки букв, которым приписывается числовое значение, можно воспроизвести структуру мира. Каббала, которая может быть рассмотрена как система взглядов, раскрывающая аспекты, связанные с человеком, причиной его существования, его предназначением в жизни и так далее, — это наука о числах. В ней раскрывается, помимо прочего, тайный смысл слов, для чего используются три метода: гематрия (наука о числовом значении букв), нотарикон (наука о первой, срединной и последней буквах слов) и темура (наука о перестановке и сочетании букв). Нечто подобное существует и в арабской культуре, где на основе 28 букв, составляющих алфавит, каждая из которых символизирует целое число, открывается бесконечное количество сочетаний.


ARS MAGNA

Целью Раймунда Луллия было найти методы для обращения в христианство евреев и арабов, поэтому он подробно изучал их основные воззрения. Следовательно, на его философию повлияли обе эти культуры. Не углубляясь в детальное изучение его работы, упомянем аспекты, связанные с вычислением, оказавшие влияние на Лейбница.

Ars magna («Великое искусство»), работа Луллия, опубликованная в 1308 году, преследует главную цель — познание Бога. Она основана на комбинаторной логике, и в ней сделана попытка найти все существующие в мире знания на основе нескольких понятий и принципов, которые, благодаря своим сочетаниям, могут охватить все науки. Ars magna тесно связана с логическим рассуждением, и в ней утверждается, что логика служит не только для того, чтобы установить справедливость умозаключений, но и для того, чтобы создавать новые умозаключения с помощью их сочетаний. В работе выделяется ряд принципов, абсолютных и относительных. Первые соответствуют свойствам Бога, в то время как вторые относятся к понятиям взаимодействия между объектами. Луллий связывает алфавит со свойствами Бога. Например, А соответствует самому Богу, следующие буквы — Его различным достоинствам...

Доброта В Могущество Е Добродетель Н
Величие С Мудрость F Истина I
Вечность D Воля G Слава J

Если мы вычислим число сочетаний этих элементов, взятых по два, то получим сумму возможных суждений:

Иллюстрация к книге — Лейбниц. Анализ бесконечно малых [img_5.jpg]

результаты представлены в следующей таблице.

ВС CD DE EF FG GH HI U
BD СЕ DF EG FH GI HJ
BE CF DG ЕН FI GJ
BF CG DH EI FJ
BG СН DI EJ
ВН CI DJ
BI CJ
BJ

В качестве дополнения Луллий создал ряд из четырех аксиоматических фигур, смешав одни начала с другими. Ему нужно было механически осуществить то, что ему не позволяли сделать скудные математические познания. Одна из таких фигур соответствовала предыдущей таблице, другая — это круг (как на рисунке 1), поделенный на девять секторов, в которых находились абсолютные начала. На этом круге все достоинства равноудалены от центра, где находится Бог. Под каждой буквой располагается существительное и прилагательное, и каждый сектор связан с другими восьмью, указывая все возможные сочетания. Их можно перемешивать, при этом существительные превращаются в прилагательные и получается, например, великая доброта или доброе величие.

Вход
Поиск по сайту
Ищем:
Календарь