Онлайн книга «Больцман. Термодинамика и энтропия»
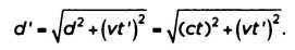
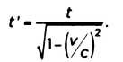
![]() Воспользовавшись отношением d' = ct' и возведя обе стороны в квадрат, получаем: (ct)2 = (ct)2 + (vt')2. Если переписать уравнение и выразить t', в итоге получается формула временного растяжения: ![]() Итак, мы видим, что время, обозреваемое вторым наблюдателем, больше, чем время, обозреваемое первым, несмотря на то что речь идет в точности об одном и том же событии. Подобные рассуждения приводят к выводу, что длины также не остаются постоянными, а изменяются в зависимости от скорости наблюдателя. Эффекты относительности начинают значительно ощущаться при скоростях, близких к скорости света, в то время как их практически не существует в повседневной обстановке. ![]() РИС. 1 ![]() РИС . 2 Статистическая физика Больцмана была идеально определена в свете новой теории: для множества молекул в сосуде существует конечное число сочетаний для их значений энергии и положений, заданное ограничениями, которые накладывает квантовая механика. Результат столкновений действительно произволен, так что использование вероятности полностью оправдано. На самом деле введение квантовой механики также решало другие проблемы, такие как эргодическая гипотеза: поскольку существует конечное число возможных значений энергии, становится ясно, что рано или поздно молекула пройдет через них все. Кажется, что этот сценарий означает полную победу Больцмана над Махом, но во второй половине XX века вскрылись некие неожиданности, из-за которых чаша весов, по крайней мере слегка, наклонилась в сторону последнего. Изменение пришло из-за попытки "примирить" квантовую механику и специальную теорию относительности Эйнштейна. В последней пространство и время рассматриваются как часть одного и того же корпуса, называемого "пространство-время", в котором происходят все события во Вселенной. Одним из самых вызывающих прогнозов теории Эйнштейна было то, что один и тот же факт мог проявляться по-разному с позиции двух наблюдателей, которые будут двигаться с разной скоростью. Например, человек, который поедет на поезде, измерит длину своего вагона и получит в результате сто метров, в то время как человек, который поедет со скоростью, близкой к скорости света, получит меньший результат. Это логическое противоречие оказалось верным и было подтверждено экспериментально во многих случаях; на самом деле работа спутников GPS во многом построена на нем. Теория относительности Эйнштейна также знаменита формулой E = mc2, согласно которой масса и энергия соотносятся и могут трансформироваться одна в другую. Это перекликалось с идеями Маха и, казалось, противоречило концепции Больцмана. Тот факт, что два наблюдателя могут получить разные результаты измерения в зависимости от скорости, стал вызовом для недавно зародившейся квантовой механики. Это было связано тем, что сама энергия частицы также зависела от скорости, на которой наблюдатель двигается относительно нее. Из-за соответствия между массой и энергией одна и та же масса частицы, казалось, меняется, когда ее наблюдают с позиции различных скоростей; действительно, если переместиться с достаточно большой скоростью относительно нее, то этой энергии будет достаточно, для того чтобы создать одну или более частиц той же массы. То есть там, где один наблюдатель видит только одну частицу, другой может увидеть тысячи, в зависимости от их относительных скоростей. Это условие было очень сложно применить к квантовой механике, которая основывалась на так называемом уравнении Шрёдингера, предложенном им самим для описания поведения электронов и атомов, которое относилось только к одной частице. Решение пришло с введением понятия "поле". Поле — это некая абстрактная сущность, которая распространяется по пространству и которая сначала ассоциировалась с неким типом силы. Идея поля была разработана, чтобы преодолеть ньютоновское понятие действия на расстоянии, которое вызывало некоторое философское беспокойство у ученых с момента его появления. Вместо него было высказано предположение, что тело (например, Земля) создает вокруг себя нечто, называемое "гравитационным полем", невидимую сущность, которую можно было наблюдать только по тому действию, которое она производила на другие тела, погруженные в него. Любой объект внутри гравитационного поля Земли чувствует на себе силу притяжения к планете, которая зависит от его расстояния до ее центра. Другое классическое поле (в том смысле, который имелся до развития квантовой механики) — это электромагнитное поле. Магнит создает магнитное поле вокруг себя, и его действие изменяет ориентацию всех магнитов в нем; точно так же электроны в атоме вращаются вокруг ядра, благодаря действию электрического поля, которое создают его протоны. Квантовая механика взяла классическое понятие поля и приспособила его к новой реальности, где энергия дискретна, а поведение материи вероятностно. В этом новом свете частицы стали считаться маленькими возбуждениями поля, имеющими некоторые характеристики (такие как масса или заряд), определенными самой квантовой природой поля. Электромагнитное поле, например, порождает фотоны, частицы, которые каким-то образом передают электрическую силу и должны рассматриваться не как фундаментальные сущности, а как выражение лежащего в основе электромагнитного поля, которое проявляется в маленьких возбуждениях, ведущих себя как частицы. После этого концептуального скачка другие сущности объединились в понятии поля. Сами электроны были описаны как возбуждение другого поля, окрещенного "полем Дирака", поскольку его открыл английский физик Поль Дирак (1902— 1984). Его теория также предсказывала существование другой частицы, которую он назвал "позитрон", поскольку это была копия электрона с противоположным зарядом. Никто не воспринимал это всерьез, пока в 1932 году ее не открыл Карл Андерсон (1905-1991), что дало стартовый сигнал квантовой механике полей, которая сегодня превратилась в большого теоретического монстра под названием "стандартная модель", это наиболее успешная когда-либо существовавшая физическая теория; ее самая недавняя победа — открытие в 2012 году бозона Хиггса, частицы, которая необходима для правильной работы теории и которую до того дня не могли наблюдать. В сегодняшней картине спор Больцмана — Маха дает ничью: с одной стороны, Мах был прав, утверждая, что любая материя — это энергия, и даже в некотором смысле отрицая существование атомов (по крайней мере в качестве основополагающих конструктов); с другой стороны, Больцман был прав, представляя материю в несколько квантизованном виде, не непрерывной, а дискретной, и рассматривая теорию вероятностей в качестве отправной точки. Можно сказать, что на самом деле в споре победили факты, и природа оказалась намного более утонченной, чем мог предположить какой-либо ученый XIX века. |
![Иллюстрация к книге — Больцман. Термодинамика и энтропия [img_52.jpg] Иллюстрация к книге — Больцман. Термодинамика и энтропия [img_52.jpg]](img/book_covers/076/76601/img_52.jpg)
![Иллюстрация к книге — Больцман. Термодинамика и энтропия [img_53.jpg] Иллюстрация к книге — Больцман. Термодинамика и энтропия [img_53.jpg]](img/book_covers/076/76601/img_53.jpg)
![Иллюстрация к книге — Больцман. Термодинамика и энтропия [img_54.jpg] Иллюстрация к книге — Больцман. Термодинамика и энтропия [img_54.jpg]](img/book_covers/076/76601/img_54.jpg)
![Иллюстрация к книге — Больцман. Термодинамика и энтропия [img_55.jpg] Иллюстрация к книге — Больцман. Термодинамика и энтропия [img_55.jpg]](img/book_covers/076/76601/img_55.jpg)