Книга Виктимология. Психология поведения жертвы, страница 53 – Ирина Малкина-Пых

Авторы: А Б В Г Д Е Ж З И Й К Л М Н О П Р С Т У Ф Х Ч Ш Ы Э Ю Я
Книги: А Б В Г Д Е Ж З И Й К Л М Н О П Р С Т У Ф Х Ц Ч Ш Щ Ы Э Ю Я
Бесплатная онлайн библиотека LoveRead.in

Онлайн книга «Виктимология. Психология поведения жертвы»

📃 Cтраница 53

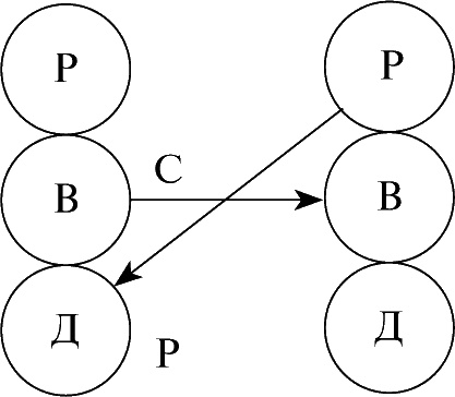
Параллельные (дополняющие) транзакции. Этот вид транзакций определяется следующим образом: параллельная транзакция — это такая транзакция, в которой транзакционные векторы параллельны друг другу, а эго-состояние, в которое они направлены, является источником реакции (рис. 2.3, 2.4).

Иллюстрация к книге — Виктимология. Психология поведения жертвы [i_008.jpg]

Рис. 2.3. Параллельная транзакция Р — Д, Д — Р.

Иллюстрация к книге — Виктимология. Психология поведения жертвы [i_009.jpg]

Рис. 2.4. Параллельная транзакция СД — ВР, ВР — СД.

Первое правило коммуникации. Параллельная транзакция имеет элемент ожидания. Очевидно, что любой разговор через некоторое время подходит к концу, однако до тех пор, пока транзакции остаются параллельными, ничто в процессе коммуникации не прерывает чередования стимулов и реакций.

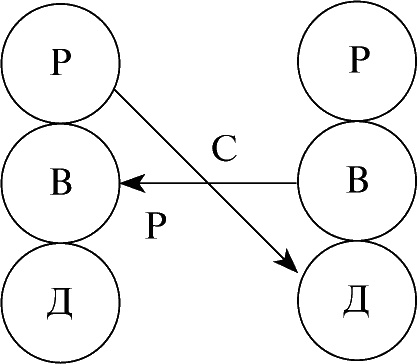
Пересекающиеся транзакции. Пересекающаяся транзакция — это такая транзакция, в которой векторы не параллельны друг другу или эго-состояние, в которое они направлены, не является источником реакции. Когда транзакция пересекается, существует вероятность того, что человек, получающий пересекающуюся транзакцию, перейдет в эго-состояние, в которое была направлена транзакция. Тогда из нового эго-состояния он, скорее всего, будет направлять параллельные транзакции (рис. 2.5, 2.6).

Иллюстрация к книге — Виктимология. Психология поведения жертвы [i_010.jpg]

Рис. 2.5. Пересекающаяся транзакция В — В, Р — Д.

Иллюстрация к книге — Виктимология. Психология поведения жертвы [i_011.jpg]

Рис. 2.6. Пересекающаяся транзакция Р — Д, В — В.

Второе правило коммуникации говорит: при пересекающейся транзакции происходит разрыв коммуникации, для ее восстановления одному или обоим людям необходимо изменить свои эгосостояния.

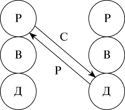
Скрытые транзакции. В скрытой транзакции одновременно передаются два сообщения. Одно из них — открытое, или сообщение социального уровня, другое — скрытое, или сообщение психологического уровня. Довольно часто сообщения социального уровня являются взаимодействием Взрослый — Взрослый. Сообщения психологического уровня обычно включают взаимодействия или Родитель — Дитя, или Дитя — Родитель (рис. 2.7).

Иллюстрация к книге — Виктимология. Психология поведения жертвы [i_012.jpg]

Рис. 2.7. Двойная скрытая транзакция Социальный уровень: В — В, В — В Психологический уровень: Р — Д, Д — Р.


Любая скрытая транзакция, в которой социальное сообщение В — В перекрывает обмен на психологическом уровне между Р и Д (реже Д — Д или Р — Р), называется двойной транзакцией.

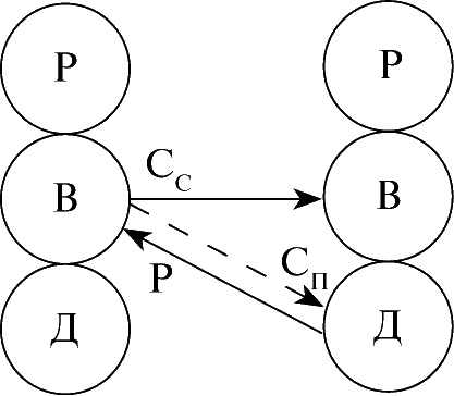
Эрик Берн описал еще один вид скрытой транзакции, которую он назвал угловой (рис. 2.8). В этом случае я могу направлять свой стимул на социальном уровне от Взрослого к Взрослому. Однако мое скрытое сообщение исходит из моего Взрослого к вашему Ребенку. Я надеюсь, что вы примете мое приглашение (стимул) и ответите реакцией из Ребенка.

Иллюстрация к книге — Виктимология. Психология поведения жертвы [i_013.jpg]

Рис. 2.8. Угловая скрытая транзакция.


Третье правило коммуникации гласит: поведенческий результат скрытой транзакции определяется на психологическом, а не на социальном уровне.

Берн считал: когда люди общаются на двух уровнях, то, что реально происходит, всегда является результатом скрытых сообщений.

Поглаживания . Поглаживание определяется как единица транзакции. Можно классифицировать поглаживания следующим образом: вербальные или невербальные, позитивные или негативные, условные или безусловные.

К невербальным поглаживаниям можно отнести помахивание рукой, кивание головой, пожатие руки или похлопывание друг друга. Большинство транзакций включают в себя как вербальные, так и невербальные взаимодействия. Они могут быть также полностью невербальными.

Позитивные и негативные поглаживания . Позитивное поглаживание — это такое поглаживание, при котором получатель испытывает приятные чувства. Негативное же воспринимается болезненным образом.

Можно предположить, что люди всегда стремятся получать позитивные поглаживания и избегать негативных. На самом деле любое поглаживание лучше, чем его отсутствие.

Условное поглаживание связано с тем, что вы делаете. Безусловное — с тем, что вы есть (что вы собой представляете).

В терминах ТА у каждого человека есть свой предпочтительный коэффициент поглаживания.

Фильтр в поглаживаниях . Когда кто-либо получает поглаживание, которое не входит в его предпочтительный коэффициент поглаживания, то этот человек склонен игнорировать или преуменьшать его. Мы говорим, что он игнорирует или отфильтровывает это поглаживание. В свою очередь, наш коэффициент поглаживания предназначен для поддержания существующего представления о нас самих.

Клод Стайнер (Steiner, 1968) предположил, что когда мы были детьми, наши родители внушили нам пять запрещающих правил о поглаживаниях:

▪ не давай поглаживаний, когда их надо давать;

▪ не напрашивайся на поглаживания, когда ты в них нуждаешься;

▪ не принимай поглаживаний, если ты нуждаешься в них;

▪ не отвергай поглаживаний, когда ты не нуждаешься в них;

▪ не гладь себя сам.

Структурирование времени . При встречах людей в группах или парах существует шесть различных способов проводить свое время. Эрик Берн дал следующие определения этим шести видам структурирования времени: уход, ритуалы, времяпрепровождение, деятельность, игры, интимность. По мнению Берна, все эти способы способствуют удовлетворению структурного голода человека.

Если проанализировать каждый из этих шести видов структурирования времени, то их можно связать с имеющимися у нас знаниями об эго-состояниях и поглаживаниях. Интенсивность поглаживаний возрастает при движении вниз по списку — от ухода к интимности. Иногда в литературе по ТА высказывают мысль о том, что с движением вниз по списку возрастает также и степень психологического риска.

Уход . Когда человек уходит, он может физически оставаться в группе, однако при этом он не взаимодействует с другими членами группы. Во время ухода я могу находиться в любом эго-состоянии. При этом провести поведенческий анализ моего эго-состояния невозможно, так как отсутствуют его внешние признаки.

Вход
Поиск по сайту
Ищем:
Календарь