Книга Формула Бога. Как работают системные расстановки и Единое информационное поле Вселенной, страница 42 – Владимир Дюков

Авторы: А Б В Г Д Е Ж З И Й К Л М Н О П Р С Т У Ф Х Ч Ш Ы Э Ю Я
Книги: А Б В Г Д Е Ж З И Й К Л М Н О П Р С Т У Ф Х Ц Ч Ш Щ Ы Э Ю Я
Бесплатная онлайн библиотека LoveRead.in

Онлайн книга «Формула Бога. Как работают системные расстановки и Единое информационное поле Вселенной»

📃 Cтраница 42

«Всеобщее осознание степени взаимосвязанности мозга разных людей может иметь далеко идущие социально-политические последствия как для нашей страны, так и для всего мира» (из доклада, подготовленного для комитета по науке и технике палаты представителей конгресса США в 1985 году) [46].

…Всеобщее осознание «формулы Бога».

Это не мистика – это сама реальность!

Метод системных расстановок дает поистине ошеломляющие результаты. Эффективность метода впечатляет, ведь часто за один сеанс можно полностью решить проблему клиента – то, что при использовании других (психотерапевтических) методик требует гораздо больших затрат времени и энергии. Почему? Да потому что он базируется на эзотерической модели Вселенной и человека – на фундаментальных, «магических», божественных закономерностях функционирования Универсума!!!

А эзотерическая модель Вселенной – если выразиться точнее, научно-эзотерическая – (на сегодняшней день, а может, и на завтрашний?) наиболее полно и наиболее точно описывает глубинные закономерности и динамики Вселенной.

Наиболее верна. Наиболее соответствует истинному положению дел. И поэтому расстановки «бьют сразу в десятку», в суть, рассматривая проблему глобально, системно, предельно целостно, в масштабах всего Универсума, эзотерически, божественно, с позиции Бога («Его формулы»)!

Большинство методик базируются на локальных, частичных моделях человека, что при этом нисколько не умаляет их ценности, тогда как расстановки позволяют охватить проблему целостно. Расстановки – это по сути эзотерический метод (психотерапии?). Это научно-эзотерическая технология, научно-эзотерическая практика, в основе которой лежит научно-эзотерическая модель Вселенной.


Напомню, что такое математическое моделирование систем и объектов.

Прежде чем построить, например, самолет, прежде чем вкладывать силы и средства в его создание, необходимо знать, полетит ли он, верен ли расчет инженеров или нет. Если модель самолета – уменьшенная копия объекта – полетит, то с большой степенью вероятности не упадет и построенный в натуральную величину самолет.

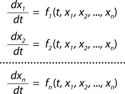
Но строить материальную модель самолета необязательно – можно все проверить на бумаге. Для этого вначале необходимо понять законы функционирования летательного аппарата и на основании этого знания и понимания описать его математическими формулами – например, системами дифференциальных уравнений, в которых отражены взаимосвязи частей объекта – их свойств и их динамик. (Например, чем более мощный мотор мы собираемся ставить на аэроплан, тем меньше должен быть размах крыльев, иначе самолет будет сваливаться в «штопор». Или от угла атаки крыла зависит то, как далеко вперед должен быть выведен двигатель, чтобы самолет не запрокидывало вверх. И таких взаимосвязей – естественно, они гораздо более сложные и запутанные – множество.)

Иллюстрация к книге — Формула Бога. Как работают системные расстановки и Единое информационное поле Вселенной [i_036.jpg]

Затем надо просчитать эти сложные системы математических выражений на вычислительной машине, решить их, используя численные методы (например, метод последовательных приближений), так как обычными средствами математики, оперируя лишь формулами, приводя и сокращая выражения, найти решение такой системы невозможно. И уже позже, смотря ряд цифр или графики на экране дисплея, мы можем понять – полетит ли самолет с такой конфигурацией, которую мы задали, а если полетит, то как – свалится ли в «штопор» при наборе скорости выше какого-то значения или же его полет останется стабильным. Самолет – это одна из многочисленных сложных систем. И все составные части его, все его свойства – это объекты, которые взаимосвязаны между собой на уровне дифференциальных уравнений.

Если модель сложной системы (в нашем случае самолета) верна и взаимосвязи ее элементов поняты нами правильно, то мы можем управлять процессами объекта. Например, целенаправленно (в соответствии с моделью) изменяя площадь крыла летательного аппарата, добиваться нужных нам качественных показателей его маневренности. Но изменение одного параметра повлечет за собой изменение и других. Нельзя просто так взять и поставить «на то же шасси» более мощный мотор, не изменив при этом геометрию крыла, – скорее всего, такой самолет упадет, а не разовьет большую скорость, как нам бы хотелось.

Если же закономерности функционирования системы поняты нами неправильно, в ней не учтены какие-то важные, значимые элементы или же неверно осмыслены их взаимосвязи, то в теории будет все хорошо – компьютер покажет, что аэроплан полетит. Но на практике это приведет к авариям… И нам придется переосмыслить и откорректировать модель. Или же создать принципиально новую.

Создать модель, в частности математическую, можно для чего угодно – для самолета, ядерного реактора или космического корабля. Или, например, для бизнеса. Тогда мы сможем посмотреть, имеет ли смысл вкладывать в него средства, принесет ли он прибыль, и если принесет, то какую. Или же для семьи, для государства, для политтехнологии, для человека, Вселенной, Бога… Суть – системность – останется, другими станут лишь рассматриваемые элементы и динамика их взаимосвязей. Любая система – а все можно рассматривать как систему – функционирует по определенным законам.


Вселенная – это тоже гигантская суперсложная система, в которой, как и в любой системе, все элементы взаимосвязаны и влияют друг на друга. Только взаимосвязь эта происходит не на уровне математических формул и систем уравнений, а на уровне живого единого поля, на уровне информации, на уровне единой энергии Вселенной – более тонко, более сложно, запутанно и переплетенно. Иначе. И все в такой модели Вселенной является объектом – и объект «смерть», и объект «умерший родственник», и объект «неродившийся младенец», абортированный ребенок, объект «квартира»… и даже объект «Бог»… Всех их можно ввести в «поле модели». И все они связаны «живыми динамиками» «живых дифференциальных уравнений». Вот такой уровень абстракции.

Если модель Вселенной – или семейно-родовой ситуации (на каком-то уровне, в какой-то области) – осмыслена нами правильно, то, влияя на одни элементы Вселенной (ситуации) и их взаимосвязи, мы можем целенаправленно формировать необходимые нам свойства и качества других ее элементов, осознанно создавать новые отношения, изменять состояние элементов. Например, целенаправленно изменяя наше отношение к людям (как к живым, так и к умершим), к миру, получать в результате состояние гармонии, счастья, любви, уравновешенности…

Та научно-эзотерическая модель Вселенной, о которой шла речь, находит практическое подтверждение расстановками. И она «с очень большой степенью вероятности» верна.

Вход
Поиск по сайту
Ищем:
Календарь