Книга Девиантология (Психология отклоняющегося поведения), страница 73 – Елена Змановская

Авторы: А Б В Г Д Е Ж З И Й К Л М Н О П Р С Т У Ф Х Ч Ш Ы Э Ю Я
Книги: А Б В Г Д Е Ж З И Й К Л М Н О П Р С Т У Ф Х Ц Ч Ш Щ Ы Э Ю Я
Бесплатная онлайн библиотека LoveRead.in

Онлайн книга «Девиантология (Психология отклоняющегося поведения)»

📃 Cтраница 73

99. Я ничего не стою. Меня даже не принимают всерьез. Ко мне в лучшем случае снисходительны, просто терпят меня.

100. Меня беспокоит, что девочки (мальчики) слишком занимают мои мысли.

101. Все свои привычки я считаю хорошими.

Обработка и интерпретация результатов

Показателями адаптированности (i+) служат высказывания 4, 5, 11, 12, 15, 19, 22, 23, 26, 27, 29, 33, 35, 37, 41, 44, 47, 51, 53, 55, 63, 67, 68, 72, 74, 75, 78, 79, 80, 88, 91, 94, 96, 97, 98;

показателями дезадаптированности (i-) — высказывания 2, 6, 7, 13, 16, 18, 25, 28, 32, 36, 38, 40, 42, 43, 49, 50, 52, 54, 56, 59, 60, 62, 64, 65, 69, 70, 71, 73, 76, 77, 83, 84, 86, 90, 95, 99, 100. Девять суждений (8, 34, 45, 48, 81, 82, 89, 92, 101) составляет «шкалу лжи».

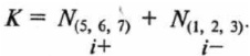
Коэффициент социально-психологической адаптированности вычисляется по сумме позитивных (i+) высказываний, рассортированных школьниками на 5, 6, 7-ю позиции шкалы, и негативных (i-), попавших в позиции 1, 2, 3-я:

Иллюстрация к книге — Девиантология (Психология отклоняющегося поведения) [i_002.jpg]

Так как позитивных суждений в шкале — 36, а негативных — 37, то гипотетическая максимальная величина коэффициента — 73, минимальная — 1.

Иногда бывает полезным получить и показатель дезадаптированности, который рассчитывается как сумма позитивных высказываний, распределенных на 1, 2, 3-ю позиции, и негативных, занявших 5, 6, 7-ю позиции шкалы.

В старшем подростковом и раннем юношеском возрасте (VIII–X классы), для которых в наибольшей степени предназначен данный инструмент, средние индексы социально-психологической адаптированности располагаются обычно в пределах 39–44 баллов. Сопоставление коэффициентов СПА с объективными показателями — успеваемостью, позицией ученика в системе межличностных отношений в классе — крайне желательно, ибо позволяет выявить адекватность полученных с помощью шкалы данных. Одной и той же величины индексы, скажем, очень высокие, тяготеющие к 50, могут быть вполне адекватными (как, например, в группе наиболее успевающих и популярных в классе учащихся) или завышенными, свидетельствующими об особенностях личностного реагирования учащихся на их страдающую огрехами реальную практику деятельности и отношений с окружающими, о компенсаторных и гиперкомпенсаторных тенденциях в отношении к себе самому и требованиям действительности.

За низкими индексами СПА, тяготеющими к 30, также могут стоять совершенно различные причины. Они могут быть адекватной реакцией на неуспех в учении, неблагополучие в отношениях со сверстниками, неправильное отношение и негативную установку учителя по отношению к ученику, но могут свидетельствовать об отклонениях сугубо в сфере субъективных переживаний.

Высказывания сгруппированы по 6 факторам, отвечающим критериям адаптированности и дезадаптированности (в скобках указаны номера составляющих их суждений):

1) приятие — неприятие себя (соответственно суждения 33, 35, 55, 67, 72, 74, 75, 80, 88, 94, 96 и 7, 59, 62, 65, 90, 95, 99, т. е. 11 и 9 высказываний);

2) приятие других — конфликт с другими (9, 14, 22, 26, 53, 97 и 2, 10, 21, 28, 40, 60, 76, в целом, 6 и 7 высказываний);

3) эмоциональный комфорт (оптимизм, уравновешенность) — эмоциональный дискомфорт (тревожность, беспокойство или, напротив, апатия) (23, 29, 41, 44, 47, 78 и 6, 42, 43, 49, 50, 56, 83, 85, т. е. 6 и 8 суждений);

4) ожидание внутреннего контроля (ориентация на то, что достижение жизненных целей зависит от себя самого, акцентируются личная ответственность и компетентность) — ожидание внешнего контроля (расчет на толчок и поддержку извне, пассивность в решении жизненных задач) (4, 5, 11, 12, 19, 27, 37, 51, 63, 68, 79, 91, 98 и 13, 25, 36, 52, 57, 70, 71, 73, 77, итого 13 и 9 высказываний);

5) доминирование — ведомость (зависимость от других) (58, 61, 66 и 16, 32, 38, 69, 84, 87 — 3 и 6 суждений);

6) «уход» от проблем (17, 18, 54, 64, 86 — 5 высказываний).

ПРИЛОЖЕНИЕ 2
КАРТА НАБЛЮДЕНИЯ СТОТТА

Карта наблюдения Стотта предназначена для изучения особенностей учеников, дезадаптированных к условиям школы. Может использоваться для различного возраста.

Дезадаптация предполагает невыполнение школьных требований вследствие нежелания, неумения, или неспособности ученика. Среди дезадаптированных выделяют два основных типа учащихся. Во-первых, это те ученики, которые создают серьезные проблемы для окружающих (педагогов, других детей, техперсонала) — так называемые трудные. Во-вторых, это ученики, которые сами страдают от трудностей, но не доставляют окружающим особых неприятностей — «страдающие» ученики.

Можно выделить три формы школьной дезадаптации: 1) преимущественно внешнюю — поведенческую; 2) преимущественно внутреннюю — психологическую и 3) смешанную.

Карта наблюдения Стотта, оценивающая степень и характер дезадаптации школьника, состоит из 16 комплексов-симптомов — образцов поведения, или симптомокомплексов (СК). СК представлены в виде перечней и пронумерованы I–XVI. В каждом СК образцы поведения имеют свою нумерацию. При заполнении карты наблюдения наличие каждого из указанных в ней образцов поведения у обследуемого отмечается знаком «+», а отсутствие знаком «―». Эти данные заносятся в специальную таблицу:

I-НД II-О III-У IV-TB V-HB VI-ТД VII-A VIII-КД IX-H Х-ЭН XI-HC…
1-я
2-я

Примечание. 1-я итоговая строка — результаты суммы «сырых» оценок (баллы); 2-я итоговая строка — выраженность СК от максимально возможной (%).


Таблица 1

Перевод первичных эмпирических показателей в «сырые» оценки

I-НД II-О III-У IV-TB V-HB VI-ТД VII-A VIII-КД IX-H Х-ЭН XI-HC XII–C XIII-УР XIV–CP XV-Б XVI-Ф
1-1 1-1 1-1 1-1 1-1 1-2 1-1 1-1 1-1 1-1 1-2 1-1 1-1 1-1 1-1 1-1
2-1 2-1 2-1 2-1 2-1 2-1 2-1 2-1 2-2 2-1 2-1 2-1 2-1 2-1 2-1 2-1
3-1 3-1 3-1 3-1 3-1 3-1 3-1 3-1 3-1 3-1 3-1 3-1 3-1 3-2 3-1 3-2
4-1 4-1 4-1 4-1 4-1 4-1 4-1 4-1 4-1 4-1 4-1 4-1 4-1 4-1 4-1
5-1 5-1 5-1 5-1 5-1 5-1 5-1 5-1 5-1 5-1 5-2 5-1 5-1 5-1 5-1
6-1 6-1 6-1 6-1 6-1 6-1 6-1 6-2 6-1 6-2 6-2 6-1 6-2 6-1
7-1 7-1 7-1 7-1 7-1 7-1 7-2 7-2 7-1 7-2 7-2 7-1 7-2 7-1
8-1 8-2 8-2 8-2 8-1 8-1 8-1 8-2 8-1 8-2 8-1
9-1 9-1 9-2 9-1 9-1 9-1 9-1 9-2 9-1 9-1 9-1
10-1 10-1 10-2 10-2 10-2 10-1 10-1 10-2 10-1 10-1 10-1
11-1 11-2 11-2 11-1 11-2 11-2 11-1 11-1 11-2 11-1
12-2 12-2 12-2 12-2 12-2 12-2 12-2 12-2 12-1
13-2 13-2 13-2 13-1 13-2 13-2 13-2 13-2
14-2 14-2 14-2 14-2 54-2 14-2 14-2
15-2 15-2 15-1 15-2 15-2 15-2
16-2 16-2 16-2 16-2 16-2
17-2 17-2 17-2
18-2 18-2
19-2 19-2
20-2 20-2
21-2
22-2
23-2
24-2

Примечание. Слева — номер утверждения, справа — балл.

Вход
Поиск по сайту
Ищем:
Календарь