Онлайн книга «Дифференциальная психология профессиональной деятельности»
|
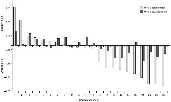
Думается, что, несмотря на известное влияние гендера на формирование профессиональной направленности, его роль не следует абсолютизировать. У юношей профессиональное самоопределение формируется в русле общей жизненной перспективы и органически входит в него. На их профессиональное самоопределение влияют факторы дальней перспективы: чем более определены планы на дальнейшую жизнь, тем выше уровень сформированности профессионального плана и степень уверенности в правильности профессионального выбора. У девушек жизненное и профессиональное самоопределение не связаны между собой, для них характерна б о льшая эмоциональность и ситуативность самоопределения, менее целостное мировоззрение. Ближайшие планы девушек определяются в основном познавательными интересами и уровнем эмоциональной возбудимости. У юношей на планирование ближайшей перспективы большое влияние оказывают интеллектуальные показатели (комбинаторное мышление, общий уровень интеллекта) и уровень самоконтроля. В профессиональном самоопределении девушки опережают юношей. И. С. Кон (1989) приводит данные Ю. П. Вавилова и Н. В. Андреенковой, согласно которым среди определившихся с выбором профессии девушек больше, чем юношей (соответственно 33 % и 21 %). Ту же закономерность выявила позже и Л. А. Головей (1999): по показателям осознанности профессионального выбора и определенности путей получения профессии девушки имеют преимущество (табл. 4.1). До сих пор речь шла о предпочтении профессий лицами, еще не достигшими социальной зрелости. А что же показывают исследования, проведенные среди взрослых? По данным Л. Термана и К. Майлз (L. Terman, C. Miles, 1936), мужчины проявляют интерес к профессиям, связанным с приключениями, требующим подвигов, физического напряжения, к работе вне помещения, к механизмам и инструментам, к науке, физическим явлениям и изобретениям. Женщины склонны к профессиям, связанным с эстетикой, с сидячей работой в помещении, с оказанием помощи, особенно детям, беззащитным и нуждающимся людям (рис. 4.1). ![]() Рис. 4.1 . Профессиональные предпочтения российских и американски Вопросы: 1 – иметь высшее образование или профессию высокой квалификации; 2 – работать в государе профессиональной карьере; 4 – работать в сфере воспитания и образования (воспитателем, учителем и т. / в сфере науки; 7 – посвятить свою жизнь семье, быть домохозяйкой; 8 – иметь свой собственный бизнес; 9 – работ редактором, диктором); 10 – работать в сфере медицины (врачом, медсестрой); 11 – работать руководителем (npej в сфере искусства (актрисой, художником, писателем и т. д.); 13 – работать в сфере торговли и услуг (продавцом, в сфере сельского хозяйства; 15 – работать в сфере производства (на фабрике, на заводе) по рабочей специаль малооплачиваемым трудом; 17 – стать моделью, участвовать в конкурсах красоты; 18 – иметь традиционно муж т. д.); 19-стать профессиональной спортсменкой; 20 – нигде не работать, рассчитывая на помощь родителей; 21–22 – посвятить свою жизнь религиозному служению (в монастыре, секте). Таблица 4.1 Особенности профессионального планирования старшеклассников (количество учащихся, %) ![]() Сходные данные через полвека получены и другими авторами. М. Гиббс (M. Gibbs, 1985) отмечает, что женщин больше всего привлекает в работе возможность помогать другим людям. При анализе основных предпочтений работающих женщин США оказалось, что в своей профессии они стремятся продолжать типичные семейные виды деятельности: воспитание детей (педагогика), уход за другими (медицина), помощь мужу (секретарская работа; в США 90 % секретарей – женщины), приготовление пищи (кулинария) (Д. Агасси [J. Agassi, 1979]). Кроме того, если мужчины предпочитают социальную активность и более динамичны, то женщины ориентированы на кабинетную, камерную, не очень динамичную работу (К. Бирд [C. Bird, 1971]). Как отмечают А. Конрад с соавторами (A. Konrad et al., 2000), женщины предпочитают работу с людьми и рассматривают качество производственных отношений как один из основных факторов выбора профессии, а мужчины придают основное значение свободе и автономии деятельности. О. В. Митина и В. Ф. Петренко (2000) изучили профессиональные предпочтения у российских и американских женщин (рис. 4.2). Наиболее предпочтительными как для тех, так и для других явились возможности иметь высшее образование или профессию высокой квалификации. На втором месте у россиянок было желание работать в государственном учреждении, а у американок – желание посвятить свою жизнь профессиональной карьере. У американок было выражено и желание работать руководителем предприятия, организации, учреждения или иметь свой бизнес. Опросив преподавателей различных по профилю вузов, Е. Ф. Шляхтер (1986) установила, что педагогическая направленность вдвое чаще встречалась у женщин-педагогов, чем у мужчин-педагогов. 4.2. Представленность мужчин и женщин в различных профессиях Принято считать, что в сфере занятости имеет место горизонтальная профессиональная сегрегация, т. е. асимметричное размещение мужчин и женщин в профессиональной структуре: ряд профессий признаются практически либо мужскими, ![]() Рис. 4.2. Результаты опроса о «мужских» и «женских» профессиях либо женскими. Так, по данным И. Калабихиной (1995), в здравоохранении и социальном обеспечении в России женщины составляют 83 %, в торговле и общественном питании – 82 %, в образовании – 79 % от общего числа занятых. В Белоруссии, по данным Е. Гаповой (1998), в 1994 г. среди работников бухгалтерского учета доля женщин превышала долю мужчин в 30 раз, а в 1995 г. – в 60 раз (при этом в банках, где зарплата выше, доля мужчин больше); среди медицинского персонала женщин больше, чем мужчин, в 10 раз (однако среди хирургов, как следует из данных Е. Б. Одерышевой (2000), мужчин больше, чем женщин, в то время как среди терапевтов в значительной степени превалировали женщины), а среди педагогических работников – в 5 раз. Например, в 1991 г. среди всех учителей России женщины составляли 75 %, а в 1994 г. – уже 84 %; в 2001 г. – 91 %. В других странах положение хотя и лучше, но наблюдается та же тенденция, например в Германии и Франции учителей-женщин в средней школе «всего» 60 %. Т. И. Рогинская (2002), изучавшая профессиональное выгорание у лиц различных профессий в Германии, Австрии и Польше, приводит следующие данные о количестве мужчин и женщин в ее выборках испытуемых (табл. 4.2). |
![Иллюстрация к книге — Дифференциальная психология профессиональной деятельности [autogen_ebook_id22.jpg] Иллюстрация к книге — Дифференциальная психология профессиональной деятельности [autogen_ebook_id22.jpg]](img/book_covers/076/76503/autogen_ebook_id22.jpg)
![Иллюстрация к книге — Дифференциальная психология профессиональной деятельности [autogen_ebook_id23.jpg] Иллюстрация к книге — Дифференциальная психология профессиональной деятельности [autogen_ebook_id23.jpg]](img/book_covers/076/76503/autogen_ebook_id23.jpg)
![Иллюстрация к книге — Дифференциальная психология профессиональной деятельности [autogen_ebook_id24.jpg] Иллюстрация к книге — Дифференциальная психология профессиональной деятельности [autogen_ebook_id24.jpg]](img/book_covers/076/76503/autogen_ebook_id24.jpg)