Книга Пол и гендер, страница 91 – Евгений Ильин

Авторы: А Б В Г Д Е Ж З И Й К Л М Н О П Р С Т У Ф Х Ч Ш Ы Э Ю Я
Книги: А Б В Г Д Е Ж З И Й К Л М Н О П Р С Т У Ф Х Ц Ч Ш Щ Ы Э Ю Я
Бесплатная онлайн библиотека LoveRead.in

Онлайн книга «Пол и гендер»

📃 Cтраница 91

Во время семейной ссоры, как отмечает И. В. Грошев, женщины чаще вспоминают старые грехи и ошибки, допущенные супругом в прошлом. Мужчины же больше придерживаются проблемы, из-за которой возникла ссора.

Женщины при разрешении конфликтов больше ориентируются на чужое мнение, что объясняется, по мнению И. В. Грошева, их большей конформностью, а потому при разрешении конфликта с участием женщин велика роль посредника. Поэтому, пишет Р. А. Березовская, женщины чаще обращаются за помощью к другим людям, психологам, врачам, психотерапевтам, пытаясь в разговоре снять психическое напряжение. При этом, как показано И. В. Грошевым, мужчины выбирают посредника по его деловым и статусным параметрам, а женщины придают значение и его внешности. И. М. Никольская (2001) отмечает, что женщины в трудную минуту больше нуждаются не только в какой-то реальной значимой фигуре, но и в «воображаемой» (в том числе и Бога), чтобы опереться на ее силу и мощь. Например, девочки, как отмечает И. М. Никольская, часто используют такие приемы, как «говорю сама с собой», «молюсь». Это объясняет, как мне кажется, большую религиозность женщин, а также мужчин с выраженным фемининным личностным профилем. Л. Френсис и П. Пирсон (Francis, Pearson, 1993) выявили, например, что у регулярно посещающих церковь мужчин фемининный личностный профиль обнаруживается значительно чаще, чем у других мужчин, и пришли к выводу, что религиозность мужчин более гармонично сочетается с фемининным мировоззрением.

...

Мужчины всегда правы, а женщины никогда не ошибаются.

Эльзасская пословица

Половые различия в производственных конфликтах, по данным И. В. Грошева, выражаются в следующем. Мужчины больше предрасположены к конфликтам, связанным непосредственно с трудовой деятельностью. Для женщин характерна тенденция к большей частоте конфликтов в связи с их личными потребностями. По данным Р. А. Березовской (2001), мужчины значимо чаще используют такие стратегии, как анализ ситуации и систематизация рабочего времени.

Изучение типов и направленности фрустрации в группах мужчин и женщин И. А. Юровым (1981) показало, что в частоте проявления типов реакций (O—D – подчеркивание наличия препятствий, N—P – акцентирование на достижении результата) особых различий нет; по направленности реакций у мужчин несколько чаще встречается вариант Е (внешнеобвинительные реакции), а у женщин – вариант М (безобвинительные реакции) (табл. 13.1).

Таблица 13.1.

Средние значения типов и направленности фрустрированности мужчин и женщин (процент случаев)

Иллюстрация к книге — Пол и гендер [autogen_ebook_id119.jpg]

В социально фрустрирующей ситуации женщинам более присуща интрапунитивная направленность реакции, связанная с самообвинением (Винокуров А. И., 1996). Сходные данные получены и Е. А. Чижовой (2005): юноши более склонны к экстрапунитивной форме фрустрации, а девушки – к интрапунитивной (импунитивная форма встречается у тех и других одинаково часто). Реакция с фиксацией на препятствии выражена у юношей и девушек примерно одинаково, а реакция с фиксацией на удовлетворении потребности чаще проявляется у девушек.

...

В ходе исследования были получены результаты, свидетельствующие о наличии значимых различий между мужчинами и женщинами в плане готовности [при фрустрации. – Е. И.] одних (мужчин) использовать новые революционные методы, в то время как другие (женщины) предпочитают действовать привычными, знакомыми методами. Кроме того, можно сказать, что фактор пола оказывает влияние на поведение человека и в конфликтной ситуации, в частности на выбор стратегии поведения. Женщины, например, в силу большей эмоциональности по сравнению с мужчинами чаще выбирают соперничающие стратегии поведения в конфликте. Мужчины проявляют большую склонность к компромиссу и избеганию, предпочитая сохранить отношения и не переходить на личности. В ситуациях, когда в конфликте принимают участие представители обоего пола, мужчина чаще отдает «руководство» ситуацией женщине, а она принимает на себя эту роль. В ситуации фрустрации женщины чаще проявляют склонность к поведению самообвинения. Причиной тому может быть чувство вины, которое, возможно, появляется из-за чрезмерной эмоциональности женщин. Готовность женщины проявить инициативу в разрешении конфликтной ситуации, вероятно, можно объяснить большей эмпатичностью, способность сопереживать дает ей возможность поставить себя на место другого и представить его переживания по данному поводу, в данный момент.

…Значимым оказывается не только пол человека, реагирующего на фрустрацию, но и пол второго человека, «создающего» фрустрирующую ситуацию. Так, в своих реакциях на ситуацию, где в качестве фрустратора и фрустрируемого выступали представители мужского пола, мужчины демонстрировали готовность принимать участие в решении проблемы, брать на себя ответственность в преодолении трудности, в то время как в ситуациях, где пол участников был разный, мужчины предпочитали перекладывать ответственность за решение на другого. Женщины в конфликтной ситуации проявляли склонность к самозащите, с принятием на себя ответственности за решение проблемы, причем данное поведение проявлялось независимо от пола участников ситуации.

Белевцова Е. Е., 2005, с. 11–12.

Половые различия в выраженности видов психологической защиты. По данным Е. Ф. Рыбалко и Т. В. Тулупьевой (1999), имеются достоверные различия между юношами и девушками по выраженности некоторых видов психологической защиты (табл. 13.2).

Таблица 13.2.

Средняя выраженность различных видов психологической защиты в юношеском возрасте (в процентном отношении от максимально возможной)

Иллюстрация к книге — Пол и гендер [autogen_ebook_id120.jpg]

У девушек больше выражен защитный механизм по типам: компенсация, реактивное образование, регрессия и проекция; у юношей: вытеснение и отрицание. Поскольку реактивное образование подразумевает подмену негативного импульса или чувства на социально одобряемый, то можно полагать, что девушки чаще скрывают от самих себя мотив собственного поведения. У юношей этот вид защиты имеет наименьшее значение, в то время как у девушек на последнем месте в качестве способа защиты стоит вытеснение.

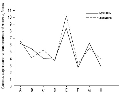
М. Д. Петраш (2001) в своем исследовании работников скорой помощи выявила во многом сходные факты. Женщины чаще, чем мужчины, предпочитают такие защитные механизмы, как проекция, регрессия, реактивное образование, а мужчины чаще, чем женщины, – вытеснение и интеллектуализацию (рис. 13.1).

Иллюстрация к книге — Пол и гендер [autogen_ebook_id121.jpg]
Рис. 13.1. Профиль доминирующих механизмов психологической защиты у мужчин и женщин: А – отрицание; В – вытеснение; С – регрессия; D – компенсация; E – проекция; F – замещение; G – интеллектуализация; H – реактивное образование

Вход
Поиск по сайту
Ищем:
Календарь