Книга Пол и гендер, страница 71 – Евгений Ильин

Авторы: А Б В Г Д Е Ж З И Й К Л М Н О П Р С Т У Ф Х Ч Ш Ы Э Ю Я
Книги: А Б В Г Д Е Ж З И Й К Л М Н О П Р С Т У Ф Х Ц Ч Ш Щ Ы Э Ю Я
Бесплатная онлайн библиотека LoveRead.in

Онлайн книга «Пол и гендер»

📃 Cтраница 71

А. И. Фатеева обнаружила, что девочки 9–12 лет в реакциях на движущийся объект чаще запаздывают по сравнению с мальчиками.

Координационные показатели. Точность воспроизведения амплитуды и усилий и дифференцирования усилий, по данным многих авторов, оказывается одинаковой у мужчин и женщин (Беляев И. Г., 1960; Ильин Е. П., Семенов М. И., Семенов Н. М., 1967; Семенов М. И., 1964 (рис. 9.13); Тамбиева А. П., 1961). Не выявлено различий в точности оценивания временных отрезков (Лаптев А. П., 1967).

Иллюстрация к книге — Пол и гендер [autogen_ebook_id91.jpg]
Рис. 9.13. Точность воспроизведения амплитуды движений мальчиками и девочками

По ряду координационных показателей женщины превосходят мужчин. Так, у женщин меньше тремор рук (Розе Н. А., 1968; Скрябин Н. Д., 1974), выше способность выполнять мелкие ручные операции, требующие одновременного проявления точности и быстроты (Мюллер Е., Хеттингер Т., Розе Н. А., 1968; Мацак И., Безак Й., 1973). Они быстрее проходят лабиринт в графической пробе и с меньшим количеством ошибок (Розе Н. А., 1968). По данным В. А. Якунина (1968), при попадании правой и левой рукой в центральную точку меньшее отклонение допускали лица женского пола.

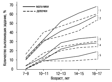
По данным А. И. Козлова (1962), до периода полового созревания координационные способности были выше у девочек, а после этого периода – у мальчиков (рис. 9.14). Л. П. Сергиенко и В. П. Кореневич (1990) подтвердили, что девушки 14–15 лет обучались двигательному упражнению медленнее, чем юноши того же возраста. А. И. Винокуров тоже нашел, что у женщин меньше ловкость.

Иллюстрация к книге — Пол и гендер [autogen_ebook_id92.jpg]
Рис. 9.14. Координационные способности у школьников разного пола. 1–5 – номера упражнений на координацию

Почерк мужчин и женщин. Женский почерк обычно более «правильный», красивый, стандартный, симметричный, элементы букв ближе к тем, что приводятся в школьных прописях. Почерк мужчин более неравномерный, размашистый, индивидуально-оригинальный, иногда с элементами недописанных букв, менее похожий на принятые стандарты.

Как отмечает И. Моргенштерн (1996), «женские почерки отличаются от мужских тем, что имеют центростремительное направление, тогда как у мужских почерков оно центробежное. Буквы женских почерков дугообразны, иногда тверды, густы, иногда миниатюрны, тонки, объемны, с широкими расстояниями между ними, напыщенны. При хорошем интеллектуальном развитии женщины у нее бывает плоский, широкий, криволинейный почерк, с падающими вперед нажимами. Очень мелкий, бледный почерк характерен для женщин, страдающих мигренями, хилых и нервных. В особенности выразительны буквы е, м, б, в подвижностью почерка и наклоном вправо, а также закруглением внутренних стенок» (с. 117).

Выносливость. Разноречивые данные получены авторами в отношении выносливости мужчин и женщин. При удержании усилия, равного половине максимальной силы для каждого пола, выносливость тех и других одинаковая (Ильина М. Н., 1974; Розенблат В. В., 1961; Черник Е. С., 1962). Правда, соревновательный мотив в большей мере увеличивал выносливость лиц мужского пола, чем женского (Ильина М. Н., 1974). При нагрузке больше половины максимальной силы (60–75 %) выносливость выше у лиц мужского пола (Бирюкович А. А., Король В. М., 1962; Черник Е. С., 1962). В моем исследовании это подтвердилось; кроме того, было выявлено, что при малой нагрузке (25 % от максимальной силы) выносливость в удержании усилия была больше уже у женщин. Аналогичные данные получены Н. А. Розе (1968), правда, она задавала 1/3 максимального усилия.

Такая же неоднозначная динамика онтогенетического развития у лиц мужского и женского пола выносливости в зависимости от интенсивности работы выявлена в исследовании В. Г. Федотовой (1975). Так, выносливость к работе с интенсивностью 90 % от максимальной у женщин и мужчин непрерывно растет от 11 до 22 лет, причем у мужчин более высокими темпами. Характер возрастного развития выносливости к работе с интенсивностью 70 % от максимальной у женщин и мужчин различен: в то время как у женщин наблюдается относительно равномерное ее повышение во всех возрастах, у мужчин оно статистически достоверно лишь после 15 лет. Динамика возрастного развития выносливости к работе с интенсивностью 60 % от максимальной совершенно иная. У мужчин значительное ее развитие наблюдается с 10 до 18–19 лет, после чего происходит стабилизация. У женщин отчетливое повышение выносливости к данному виду работы отмечено лишь после 15–16 лет.

Если различия между лицами мужского и женского пола в абсолютной и относительной силе не учитываются (что наблюдается при выполнении естественных движений), то обнаруживается большая выносливость лиц мужского пола. Так, по данным Е. С. Черника выносливость мальчиков в удержании позы в висе и в упоре была больше, чем у девочек, причем эти различия начинают отчетливо проявляться с 6–7 лет. И это не случайно, так как именно в этом возрасте в организме наблюдается первый выброс в кровь андрогенов, влияющих на рост мышечной силы.

Преимущество мальчиков разного возраста в статической выносливости мышц туловища выявлено М. Е. Клюевым (1975) (табл. 9.10).

Таблица 9.10. Статическая выносливость (с) мышц туловища у мальчиков и девочек разного возраста
Иллюстрация к книге — Пол и гендер [autogen_ebook_id93.jpg]

По данным Л. Г. Евсеева (1977), уже в возрасте 9–10 лет мальчики превосходят девочек в аэробной выносливости.

Тонус мышц и способность к расслаблению. По моим данным (Ильин, 1961), мышечный тонус как покоя, так и напряжения выше у мужчин, чем у женщин. Способность к дополнительному (из состояния покоя) произвольному расслаблению мышц также выше у лиц мужского пола, однако раньше эта способность начинает проявляться у лиц женского пола, поскольку она связана с началом периода полового созревания, который у девочек наступает раньше (рис. 9.15).

Иллюстрация к книге — Пол и гендер [autogen_ebook_id94.jpg]
Рис. 9.15. Мышечный тонус покоя и произвольное расслабление мышц у лиц мужского (а) и женского (б) пола. Сплошная линия – тонус покоя, пунктирная – тонус расслабления

Гибкость. А. И. Винокуров (1996) выявил, что у женщин гибкость выше, чем у мужчин. Вероятно, одной из причин этого может быть меньшее напряжение мышц в покое у женщин.

Роль генетических факторов. В ряде исследований отмечались случаи различного влияния генетических факторов на физическое развитие и проявление двигательных качеств у мужчин и женщин. Детальное изучение этого вопроса Л. П. Сергиенко (1980) показало, что у женщин генетическое влияние проявляется сильнее, чем у мужчин. Это же выявлено им и в отношении антропометрических показателей тех и других. Автор отмечает, что это согласуется с гипотезой Б. А. Геодакяна, согласно которой женщина выступает как «хранительница» признаков вида (или, у человека, – популяции), а мужчина осуществляет функции модификации для образования новых признаков вида.

Вход
Поиск по сайту
Ищем:
Календарь