Книга Пол и гендер, страница 120 – Евгений Ильин

Авторы: А Б В Г Д Е Ж З И Й К Л М Н О П Р С Т У Ф Х Ч Ш Ы Э Ю Я
Книги: А Б В Г Д Е Ж З И Й К Л М Н О П Р С Т У Ф Х Ц Ч Ш Щ Ы Э Ю Я
Бесплатная онлайн библиотека LoveRead.in

Онлайн книга «Пол и гендер»

📃 Cтраница 120

...

Среднестатистический мужчина производит в течение жизни много триллионов сперматозоидов, что делает сперму биологически более дешевой, чем яйцеклетки. Более того, за то время, что женщина вынашивает и выкармливает одного ребенка, мужчина может оплодотворить многих женщин и распространить свои гены. Поэтому, говорят эволюционные психологи, женщины «инвестируют» свои репродуктивные возможности с осторожностью, и им нужны доказательства того, что потенциальный отец здоров и состоятелен. Мужчины соревнуются друг с другом за победу на право отправить свои гены в будущее и победить таким образом на «генетических скачках». В том, что касается репродукции, мужчины стремятся к количеству, а женщины – к качеству. Мужчины ищут плодородную почву, на которой брошенные ими зерна дадут всходы, а женщины ищут мужчин, которые станут помогать им выращивать сад, – обеспеченных и моногамных отцов семейств, а не легкомысленных искателей приключений.

Майерс Д., 2004, с. 225.

Мужчину прежде всего привлекает в женщине природное начало: ее внешность, фигура, походка и т. д. Вследствие этого нередки случаи, когда умные, образованные мужчины влюбляются в недалеких и красивых «пустышек» (вроде Эллочки-людоедки, жены инженера Щукина из романа И. Ильфа и Е. Петрова «Двенадцать стульев»).

...

Красота – до венца, а ум – до конца.

Русская пословица

По данным социологических опросов, проведенных в нашей стране в 1980-х гг., материальную обеспеченность, как мотив брака, назвали всего 3,1 % женщин, тогда как общность взглядов, интересов – около 30 %, любовь – около 50 % (Лисовский В. Т., 1986).

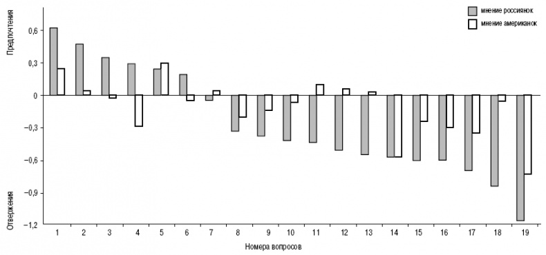
О. В. Митина и В. Ф. Петренко (2000) выявили брачные предпочтения российских и американских женщин (рис. 15.1).

Иллюстрация к книге — Пол и гендер [autogen_ebook_id147.jpg]

Рис. 15.1.

Брачные предпочтения российских и американских женщин

Вопросы: 1 – выйти замуж за человека более высокого социального статуса; 2 – выйти замуж за простого человека, хорошего хозяина, живущего «земными» проблемами; 3 – выйти замуж за человека другой национальности; 4 – выйти замуж за любимого человека с очень низкими доходами без перспективы их увеличить; 5 – выйти замуж за бизнесмена; 6 – выйти замуж за человека, посвятившего свою жизнь науке; 7 – выйти замуж за человека искусства (музыканта, поэта, артиста); 8 – выйти замуж за иностранца и уехать жить за границу; 9 – выйти замуж за военнослужащего; 10 – выйти замуж за политического деятеля; 11 – выйти замуж за рабочего; 12 – находиться на содержании у состоятельного мужчины; 13 – выйти замуж за «звезду» (спорта, эстрады, кино); 14 – выйти замуж без любви, по расчету; 15 – выйти замуж за фермера; 16 – выйти замуж за человека другой расы; 17 – не выходить замуж, полагая, что лучше прожить жизнь одной; 18 – выйти замуж за глубоко религиозного человека; 19 – выйти замуж за представителя криминальных структур

Наиболее предпочтительным для российских женщин (в основном это были москвички) является брак с человеком более высокого социального статуса или с простым человеком, хорошим хозяином, живущим «земными» проблемами. За этими выборами, отмечают авторы, просматривается желание найти в браке безопасность, стабильность, гарантированный уровень жизни. Для американок наиболее предпочтителен муж-бизнесмен, хотя велика доля женщин, желающих иметь мужа более высокого социального статуса.

...

Когда мужчина берет жену ниже себя по званию, он не унижает себя, но возвышает свою супругу; и наоборот, заключая брак с особою более высокого звания, он и ее унижает, и сам не возвышается.

Ж. Ж. Руссо

Существенным моментом, затрудняющим женщинам вступление в брак, является их высокий уровень образования и зарплаты. Сказывается то обстоятельство, что некоторые мужчины начинают ощущать свою неполноценность и чувствуют себя некомфортно с женщинами более образованными, особенно с теми, кто имеет ученую степень (Коростылева Л. А., 2000). В то же время более низкий образовательный уровень женщины мужчину не смущает. Об этом свидетельствует тот факт, что уровень образования у мужчин, вступивших в брак, значительно выше, чем у женщин. То же можно сказать и в отношении зарплаты женщин: среди вступивших в брак мужчин их зарплата чаще более высокая, чем у женщин.

...

Некоторые предпочитают одиночество

Многие одинокие женщины отмечали, что они верят в то, что если останутся одинокими, то это поможет им сделать карьеру (Betz, 1993). Исследования доказывают, что у одиноких женщин, как правило, выше уровень образования, социальный статус и заработки, чем у женщин, которые вышли замуж, проходя обучение или закончив последний курс института. Одинокие женщины среднего возраста считают себя более независимыми и настойчивыми, чем замужние женщины, и придают большую ценность достижениям и личностному росту (Etaugh, 1993).

В обществе сохраняются устойчивые стереотипные представления об одиноких женщинах (Chasteen, 1994). Клэр Ито и ее коллеги (Etaugh, Malstrem, 1981; Etaufh, Petroski, 1985; Etaugh, Stern, 1984), например, указывали, что одинокие женщины средних лет считаются в обществе менее общительными, обаятельными, хуже приспособленными и менее привлекательными, чем замужние того же возраста. Распространено представление, что выбор в пользу одинокого образа жизни делает не сама женщина, а это определяется тем обстоятельством, что мужчины ею не интересуются. Такое мнение формируется в обществе, вероятно, за счет скрытой угрозы маскулинному доминированию, особенно если учесть, что одинокие женщины в состоянии позаботиться о себе сами (Etaugh, 1993)… Подобные социальные суждения могут снизить самооценку женщин и их Я-концепцию.

Палуди М., 2003, с. 260–261.

Важным фактором при выборе супруга является рост. Культурная норма в большинстве стран предписывает, что муж должен быть выше жены. Согласно одному из исследований (Gillis, Avis, 1980), лишь одна супружеская пара из 720 нарушает эту норму. Поэтому мужчины низкого роста испытывают немалые затруднения при выборе супруги. Однако нелегко выбрать себе жену и мужчинам большого роста, но причина здесь другая – обычно они пользуются большим успехом у многих женщин и избалованы их вниманием. У мужчин любого роста большим успехом пользуются женщины среднего роста (от 165 до 170 см).

Польский ученый Б. Павловски утверждает, что для долговечного и счастливого брака нужно, чтобы мужчина был на 1,09 раза выше женщины. В его исследовании принимали участие 600 женщин и их партнеров. Ученый считает, что человек подсознательно выбирает себе партнера именно с этим коэффициентом, и такие союзы, как правило, благополучные.

По данным Л. А. Коростылевой (2000), при отказе мужчин и женщин от вступления в брак учитываются как общие, так и различные отрицательные характеристики личности друг друга. Общими для тех и других неприемлемыми характеристиками являются грубость, вспыльчивость, гневливость, пьянство, наркомания, азартные игры. Кроме того, женщины считают неприемлемыми для мужчин отсутствие или недостаточную сформированность семейных установок, безволие, слабые проявления положительных чувств. Мужчины не приемлют у женщин неопрятность во внешнем виде, в быту, неупорядоченный образ жизни, излишние сетования на недомогание. К существенным женским недостаткам мужчины относят также несдержанность, склонность к бурному проявлению эмоций и «взвинченность», несоответствие принятому в обществе эталону женственности, чрезмерную занятость внесемейной жизнью.

Вход
Поиск по сайту
Ищем:
Календарь