Книга Психология взрослости, страница 6 – Евгений Ильин

Авторы: А Б В Г Д Е Ж З И Й К Л М Н О П Р С Т У Ф Х Ч Ш Ы Э Ю Я
Книги: А Б В Г Д Е Ж З И Й К Л М Н О П Р С Т У Ф Х Ц Ч Ш Щ Ы Э Ю Я
Бесплатная онлайн библиотека LoveRead.in

Онлайн книга «Психология взрослости»

📃 Cтраница 6

Таблица 1.3. Креативность зрелых мужчин и женщин различного возраста, баллов

Иллюстрация к книге — Психология взрослости [autogen_ebook_id8.jpg]

М. В. Фор (2007) изучено изменение креативности у людей в возрасте от 18 до 60 лет, разбитых на три группы: 18–25, 26–46 и 47–60 лет. Анализ динамики показал, что в четырех субтестах из шести средние оценки креативности снижаются от одной возрастной группы к другой. Это касается таких показателей креативности, как беглость, оригинальность и гибкость. Автор объясняет это тем, что по мере увеличения с возрастом жизненного опыта человек все реже попадает в ситуации, в которых необходимо искать новые решения, и креативность становится все менее востребованной. По данным Е. П. Ильина и Е. Черницкой, в диапазоне от 25–30 до 41–50 лет креативность выражена практически одинаково с небольшим подъемом в возрастной группе 31–40 лет (рис. 1.7).

Иллюстрация к книге — Психология взрослости [autogen_ebook_id9.jpg]

Рис. 1.7. Изменение с возрастом креативности у взрослых

Иллюстрация к книге — Психология взрослости [autogen_ebook_id10.jpg]

Рис. 1.8. Изменение критичности с возрастом

Критичность мышления. Показано (Friend, Zubek, 1958), что у мужчин пик критичности мышления приходится на 30 лет, а у женщин — на 40, после чего критичность начинает резко снижаться (рис. 1.8). Авторы пришли к выводу, что основными причинами ослабления интеллекта с возрастом являются уменьшение объективности и косность (излишняя категоричность) суждений, стремление подвести все в категорию верного или неверного.

* * *

Сохранению в течение длительного времени психических функций способствует выполняемая человеком деятельность. Те функции, которые наиболее важны для данной деятельности и обеспечивают ее высокую работоспособность, сохраняются долгое время. Так, у водителей, летчиков и моряков острота и поле зрения сохраняются на высоком уровне до глубокой старости (М. Д. Александрова, 1965). Б. Г. Ананьев, ссылаясь на данные В. И. Кауфмана, отмечает, что с накоплением опыта музыкально-исполнительской деятельности развивается звуковысотное различение, поэтому у взрослых музыкантов оно выше, чем у детей, начинающих учиться музыке (даже весьма одаренных). При высоком уровне образования и интеллектуальной деятельности спада вербальных функций тоже не наблюдается. Наоборот, у лиц умственного труда вербально-логические функции возрастали к 50 годам и снижались лишь к шестидесятилетнему возрасту.

1.4. Изменения эмоциональной сферы в период взрослости

Изменения эмпатии. Возрастные изменения уровня эмпатии у женщин и мужчин по данным Е. П. Ильина и А. Н. Липиной представлены в табл. 1.4.

Уровень эмпатии неуклонно повышается от юношеского возраста, достигая максимального значения у женщин и мужчин в возрасте 40–50 лет. В этом возрасте уровень эмпатии превышает таковой 15–20-летних в два раза. В дальнейшем происходит резкое падение уровня эмпатии как у женщин, так и у мужчин, минимум наблюдается в 60–75 лет. В этой возрастной группе уровень эмпатии даже ниже, чем у 15–20-летних.

Таблица 1.4. Выраженность эмпатии у взрослых мужчин и женщин разного возраста, баллов

Иллюстрация к книге — Психология взрослости [autogen_ebook_id11.jpg]

У мужчин уровень эмпатии во всех возрастных группах, кроме последней, ниже, чем у женщин (различия достоверные в трех возрастных группах).

Возрастные изменения сентиментальности. Под сентиментальностью понимают излишнюю эмоциональную чувствительность, имеющую оттенок слащавости, приторной нежности или слезливой умиленности. Сентиментальный человек способен легко растрогаться, расчувствоваться, взволноваться, он легко приходит в состояние умиления, т. е. проявляет нежные «чувства» по отношению к объекту, кажущемуся ему трогательным.

Возрастная динамика выраженности сентиментальности у взрослых женщин и мужчин в разных возрастных группах по данным Е. П. Ильина и А. Н. Липиной (2007) представлена на рис. 1.9.


Иллюстрация к книге — Психология взрослости [autogen_ebook_id12.jpg]

Рис. 1.9. Возрастная динамика изменения сентиментальности


Как следует из представленных на рисунке данных, среднегрупповые значения показателя сентиментальности с возрастом неуклонно возрастают, достигая максимума как у женщин, так и у мужчин в возрасте 50–60 лет. Однако в возрасте 61–75 лет происходит резкое снижение сентиментальности. Между смежными возрастными группами различия достоверные в большинстве случаев (на уровне 0,05–0,001).

Следует отметить, что средние значения показателя сентиментальности у мужчин значительно ниже значений показателя сентиментальности женщин во всех возрастных группах. Выявленные различия статистически достоверны во всех возрастных группах, кроме одной.

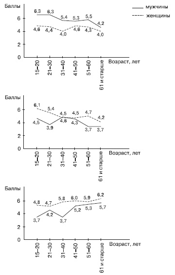
Возрастная динамика свойств эмоциональности. К свойствам эмоциональности отнесены эмоциональная возбудимость, интенсивность и длительность эмоций. Как видно на рис. 1.10, среднее значение показателя эмоциональной возбудимости у женщин сначала держится на одном уровне в возрастных группах 15–20 и 21–30 лет, а затем начинает постепенно снижаться. В выборке 51-60-летних женщин наблюдается незначительное повышение уровня эмоциональной возбудимости, однако уже в следующей возрастной выборке, у женщин в возрасте 61–75 лет, происходит резкое снижение данного показателя и он достигает своего минимума.


Иллюстрация к книге — Психология взрослости [autogen_ebook_id13.jpg]

Рис. 1.10. Выраженность свойств эмоциональности у взрослых разного возраста. Эмоциональная возбудимость (верхний рисунок), интенсивность (средний рисунок) и длительность эмоций (нижний рисунок)


Таким образом, можно говорить о том, что имеется тенденция снижения у лиц женского пола уровня эмоциональной возбудимости от юношеского к пожилому возрасту.

У мужчин, в принципе, наблюдается та же тенденция (хотя плохо выраженная) изменения с возрастом уровня эмоциональной возбудимости, а именно постепенное ее снижение (лишь в выборке мужчин 41–50 лет происходит достаточно значительный скачок вверх данного показателя, а далее вновь наблюдается его снижение). Так же как и в выборках женщин, эмоциональная возбудимость максимальна в возрасте 15–20 лет и минимальна в возрастной группе 61–75 лет.

Следует отметить, что у мужчин уровень эмоциональной возбудимости во всех возрастных группах был значительно ниже, чем у женщин (различия достоверны).

Вход
Поиск по сайту
Ищем:
Календарь