Книга Психология воли, страница 64 – Евгений Ильин

Авторы: А Б В Г Д Е Ж З И Й К Л М Н О П Р С Т У Ф Х Ч Ш Ы Э Ю Я
Книги: А Б В Г Д Е Ж З И Й К Л М Н О П Р С Т У Ф Х Ц Ч Ш Щ Ы Э Ю Я
Бесплатная онлайн библиотека LoveRead.in

Онлайн книга «Психология воли»

📃 Cтраница 64

C этим мнением совпадает и высказывание В. И. Рождественской и И. А. Левочкиной [1972], что полное игнорирование чувства усталости, с чем нередко приходится сталкиваться, неправильно; это обедняет результаты многих исследований.

Действительно, в ряде исследований показано, что появление чувства усталости отражает в большинстве случаев момент возникновения состояния утомления. Ощущение мышечного утомления вначале локализуется в области работающих мышц и часто сопровождается болевыми ощущениями. По мнению болгарского физиолога Д. Матеева, накопление неокисленных продуктов метаболизма, гипоксия и другие сдвиги, развивающиеся при утомлении во внутренней среде работающей мышцы, являются причиной того, что афферентные импульсы, порожденные мышечной работой, становятся при ее продолжении все более и более сильными. Эта увеличивающаяся по силе афферентация представляет собой физиологическую сторону чувства усталости, которое при продолжении работы становится все более выраженным и даже может перерасти в острую боль, заставляющую человека прекратить работу.

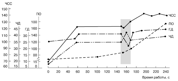
Э. А. Голубева и В. И. Рождественская выявили возрастание дельта-ритма электроэнцефалограммы по мере нарастания чувства усталости, а по данным Р. А. Шабунина появление чувства усталости совпадает по времени со следующими изменениями физиологических показателей: увеличением суммарной электромиограммы (что свидетельствует о включении за счет дополнительного волевого усилия в одновременное сокращение сразу многих мышечных волокон), увеличением частоты сердечных сокращений и изменением глубины дыхания. Сходные данные получены Г. И. Мызаном [1976]: при появлении чувства усталости у работавших наблюдалось кратковременное уменьшение частоты пульса и дыхания (парасимпатическая реакция на желание прекратить работу), вслед за которым оба эти показателя резко увеличились (симпатическая мобилизационная реакция, связанная с поддержанием работы на заданном уровне, несмотря на возникающие трудности). Это сопровождалось и усилением потоотделения (рис. 8.1).

Иллюстрация к книге — Психология воли [autogen_ebook_id25.jpg]
Рис. 8.1. Изменение физиологических показателей во время работы на велоэргометре у испытуемой Б-вой: ЧСС — частота сердечных сокращений, ЧД — частота дыхания (число дыханий в минуту), ГД — глубина дыхания (в миллиметрах при записи на лентопротяжном устройстве), ПО — потоотделение (в омах). Заштрихованная зона — время появления чувства усталости

По данным Е. В. Эйдмана [1986], величина волевого компонента при выполнении предельного физического усилия обнаруживает значимые связи с показателями кислородного долга (r = 0,45; р < 0,01) и мощности порога анаэробного обмена (ПАНО) (r = 0,42; р < 0,01), что свидетельствует о зависимости этой величины и от анаэробных возможностей человека, мобилизуемых с помощью волевого усилия.

Все эти данные показывают, что чувство усталости возникает не случайно, а является отражением физиологических сдвигов, свидетельствующих о попытке человека преодолеть с помощью волевого усилия возникшее затруднение в поддержании заданного уровня работоспособности. Следовательно, момент появления чувства усталости, при условии удержания испытуемым заданного усилия, может служить исходной точкой измерения времени терпения, по которому судят о волевом качестве терпеливости (в спортивной педагогике это время называют фазой компенсированного утомления). Это подтверждают следующие данные, полученные Г. И. Мызаном.

Совпадение объективных физиологических изменений с возникновением чувства усталости наблюдалось в группе спортсменов в 78 % случаев, в группе неспортсменов: при первом измерении — в 43 % случаев, а при повторном — в 65 % случаев. Это свидетельствует о том, что причиной такого совпадения или несовпадения является наличие или отсутствие у людей опыта в анализе своих мышечных ощущений. Естественно, у спортсменов этот опыт больше, поэтому и процент совпадений у них выше.

Существенные факты, доказывающие, что время терпения служит стабильной личностной характеристикой и вследствие этого может рассматриваться как показатель уровня проявления терпеливости, получены М. Н. Ильиной [1976]. Было выяснено, что, независимо от вида выполнявшихся физических упражнений, у конкретных субъектов время терпения, выраженное в процентах от общего времени выполнения упражнений, оставалось относительно постоянным. Это означает, что общее время выполнения упражнений, измеренное в секундах, при выполнении разных упражнений различно, а доля фазы компенсированного утомления (времени терпения) остается при этом постоянной (рис. 8.2).


Иллюстрация к книге — Психология воли [autogen_ebook_id26.jpg]
Рис. 8.2. Соотношение между показателями выносливости (с) и терпеливости (%) у двух групп испытуемых при выполнении физических упражнений: I — приседание, II — удержание в висе

У одних эта доля составляла 55–60 % от общего времени выполнения упражнений, у других — 35–40 %. Об относительном постоянстве данного показателя терпеливости свидетельствует и обнаруженная в том же исследовании достаточно высокая корреляция между значениями этого показателя при выполнении четырех различных физических упражнений. Стабильность проявления терпеливости получила подтверждение и в исследовании Г. И. Мызана, сравнивавшего время терпения в первой и второй попытках: коэффициент корреляции равнялся 0,771 — для спортсменов; и 0,842 — для спортсменок (во всех случаях р < 0,05–0,01).

Еще одним доказательством того, что время терпения является личностной волевой характеристикой, служат данные, полученные М. Н. Ильиной [1976] и В. Д. Гавриловым [1979] при исследовании корреляции между временем терпения при выполнении физической работы и временем терпения в пробе с задержкой дыхания (началом измерения времени терпения в последней пробе было появление у испытуемых желания сделать вдох). Коэффициенты корреляции оказались довольно высокими. Важно отметить, что желание сделать вдох, по данным А. И. Высоцкого, совпадает с моментом, когда в крови резко снижается содержание кислорода. Следовательно, терпение в данной пробе отражает борьбу человека с гипоксией, противоборство с помощью волевого напряжения рефлекторному акту вдоха.

Эти данные получили подтверждение и в исследовании Е. П. Щербакова [1986]. В процессе задержки дыхания у испытуемых с помощью оксигемографа и пневмографа регистрировались устойчивость оксигенации и сокращение диафрагмы и мышц грудной клетки. Волевой компонент, регистрация которого начиналась с момента падения содержания кислорода в крови, сокращения мышц грудной клетки и диафрагмы, обнаружил достаточно высокую и стабильную связь с общим временем задержки дыхания. Правда, из этих данных автор сделал довольно странные выводы, что, во-первых, по времени от начала задержки дыхания до сокращения мышц можно предсказать время окончания задержки, и во-вторых, поскольку это так, значит, волевой фактор проявляет себя не в процессе задержки, а до нее, в период подготовки к ней.

Доказательство правомочности таких заключений Е. П. Щербаков видит в следующих результатах. Испытуемые до задержки дыхания должны были оценить отношение к пробе и назвать время, в течение которого они смогут задерживать вдох. Было выявлено, что лица с положительным настроем на выполнение пробы имели более высокие показатели, чем лица с безразличным и отрицательным отношением (удивляться здесь нечему, вспомним рассуждения И. М. Сеченова о холодной и безличной воле: если не хочу терпеть, то и не буду). Поэтому и корреляция между ожидавшимся и показанным результатом оказалась положительной, правда, не очень высокой. Эти данные лишь подтвердили, что настрой, отношение к деятельности определяет степень мобилизации человека, приложения им волевых усилий (что отчетливо видно в ситуации соревнования).

Вход
Поиск по сайту
Ищем:
Календарь