Книга Психология воли, страница 59 – Евгений Ильин

Авторы: А Б В Г Д Е Ж З И Й К Л М Н О П Р С Т У Ф Х Ч Ш Ы Э Ю Я
Книги: А Б В Г Д Е Ж З И Й К Л М Н О П Р С Т У Ф Х Ц Ч Ш Щ Ы Э Ю Я
Бесплатная онлайн библиотека LoveRead.in

Онлайн книга «Психология воли»

📃 Cтраница 59

Все это ставит перед нами ряд вопросов. Первый: чем обусловлена выявляемая обобщенность оценок у себя различных волевых качеств субъектами? Ответ на него, очевидно, надо искать в том, что и силу воли в целом, и отдельные ее проявления как дети, так и взрослые представляют неадекватно и недифференцированно. В. А. Крутецкий [1957] приводил выдержки из высказываний старших школьников о волевых и безвольных людях. Один учащийся написал, что чуткость — это свойство слабовольных людей, а настоящий мужественный человек должен быть прямым, холодным, непреклонным, грубоватым и резким. Другой написал, что «мужество или смелость — это действие с риском для жизни, когда человек идет на самое опасное дело, все равно ради чего. Важно, что не боится. Глупая смелость лучше, чем умная трусость».

Д. Г. Ребизов [1973] отмечал, что у школьников 5-го класса имеются трудности в раскрытии большинства понятий, связанных с тем или иным волевым качеством. Многие 5-классники допускают грубые ошибки при раскрытии этих понятий, подменяют одно волевое качество другим. Лишь к 7–8-му классам возрастает количество правильных ответов (до 49–56 %).

По данным В. Е. Гурина [1970а], старшеклассники важнейшими волевыми качествами называли силу воли (34 %), мужество (32 %), настойчивость (30 %), целеустремленность (28 %), готовность к преодолению трудностей (14 %), т. е. обобщенные критерии силы воли. Конкретные же волевые качества — смелость, выдержку, решительность — называли только 2–10 % учащихся.

Второй вопрос: действительно ли корреляции между оценками разных волевых качеств у других или между оценками этих качеств у себя свидетельствуют об одинаковости оценивания субъектами разных волевых качеств?

Исходя из данных Е. К. Фещенко, на этот вопрос можно дать отрицательный ответ. Несмотря на наличие тесных корреляций между оценками своих волевых качеств, они оценивались школьниками по-разному. У школьников всех классов и у студентов среднегрупповая оценка своего упорства была выше, чем оценка терпеливости. В половине классов выше терпеливости оценивалась и настойчивость (только у юношей 10–11-го классов и у студентов терпеливость оценивалась выше, и, возможно, не случайно, так как все обследованные студенты были спортсменами, т. е. отчетливо представляли себе, что такое физическое утомление).

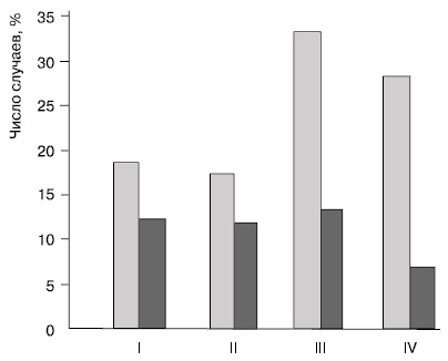
По данным Е. К. Фещенко, упорство чаще оценивалось выше, чем настойчивость. Причем чем старше были обследованные, тем отчетливее это проявлялось (рис. 7.6).


Иллюстрация к книге — Психология воли [autogen_ebook_id22.jpg]
Рис. 7.6. Соотношение случаев более высоких оценок выраженности своего упорства и более высоких оценок выраженности своей настойчивости в разных возрастных группах: I — школьники младших классов, II — школьники средних классов, III — школьники старших классов, IV — студенты

И это тоже нельзя считать случайностью. Проявить упорство легче, чем настойчивость, и по мере взросления понимание этого становится, очевидно, все отчетливее. Это, кстати, является основанием для разведения упорства и настойчивости как разных, хотя и «родственных» волевых качеств.

В другой работе (Е. П. Ильин, Нгуен Ки Тыонг [1999]) выявлено, что оценка уровня своих упорства и настойчивости связана со склонностью субъектов к тому или иному стилю руководства. «Автократами» то и другое волевое качество оценивается выше, чем «демократами», а последними — выше, чем «либералами». При этом если у «автократов» разницы между оценками уровня выраженности своего упорства и настойчивости практически не было, то у «демократов», и особенно у «либералов», оценка своего упорства оказалась выше, чем оценка своей настойчивости.

Эти данные тоже свидетельствуют о том, что упорство и настойчивость предстают в сознании субъектов как разные волевые проявления.

В пользу возможности дифференцированного оценивания субъектами своих волевых качеств говорит и факт отсутствия корреляции между оценкой своей физической смелости и оценками своих терпеливости, упорства и настойчивости. В то же время оценки своих настойчивости и упорства, в отличие от оценки своей терпеливости, оказались связанными с оценкой своей социальной смелости. И это тоже логично, так как и проявление настойчивости, и проявление упорства во многих ситуациях (например, при противодействии людей, стоящих выше рангом) требует проявления именно социальной смелости.

Отмечу, что достоверная связь между оценками своей физической и социальной смелости имела место, но она оказалась не столь высокой, как можно было ожидать.

Таким образом, создается впечатление, что хотя во многих случаях «родственные» волевые качества и дифференцируются внутри группы (например, в одной группе — терпеливость, упорство, настойчивость, а в другой группе — физическая и социальная смелость и, возможно, решительность, т. е. качества, характеризующие самообладание) по жизненным проявлениям этих качеств, однако в меньшей степени, чем дифференцируются группы волевых качеств между собой.

Обобщенность же оценивания в основном проявляется в отношении «родственных» волевых качеств за счет общей для них нейродинамической основы (комплекса типологических особенностей свойств нервной системы) и связи с одной и той же личностной особенностью (например, с мотивацией достижения). Отсюда и высокие корреляции между собственными оценками этих волевых качеств.

Этот вывод можно подкрепить и данными других авторов. Так, Е. С. Махлах и И. А. Раппопорт обнаружили высокие корреляции между взаимооценками целеустремленности, настойчивости, организованности, ответственности (все они зависимы друг от друга, а главным образом — от базового мотивационного фактора — целеустремленности). В исследовании Н. И. Александровой и Т. И. Шульги во всех возрастных группах школьников упорство оказалось связанным с дисциплинированностью, настойчивостью и организованностью, т. е. опять-таки со сходными волевыми проявлениями.

Подводя итог, можно констатировать, что в большинстве случаев оценки своих волевых проявлений «по жизненным показателям» (с помощью опросников) довольно объективны, хотя нельзя отрицать и вмешательство в них элемента субъективности и эффекта обобщенности. Это заключение в большей степени относится к школьникам старших классов и взрослым. Именно со старшего школьного возраста, когда начинает проявляться критичность в оценке собственных возможностей, обнаруживаются многие факты, которых не было в более раннем возрасте, в частности — совпадение у учащихся оценок своей настойчивости и упорства с оценкой этих волевых качеств, данной учителями, возникновение корреляции между успеваемостью и собственными оценками этих волевых качеств (Е. К. Фещенко; см. табл. 7.5).

Таблица 7.5. Связь оценок своих волевых качеств со среднегодовым баллом школьной успеваемости


Иллюстрация к книге — Психология воли [autogen_ebook_id23.jpg]

Полученные в исследованиях данные позволяют сделать заключение и о степени объективности оценки волевых качеств сторонними наблюдателями. Как видно из результатов исследования Е. С. Махлах и И. А. Раппопорт, взаимооценки различных волевых проявлений оказались у учащихся весьма обобщенными, так как между всеми оценивавшимися проявлениями воли обнаружились тесные корреляции. Не случайно оценка каждого волевого проявления, данная учащимися, имела тесную связь с суммарной оценкой волевых качеств учащихся, данной учителями.

Вход
Поиск по сайту
Ищем:
Календарь