Книга Психология индивидуальных различий, страница 43 – Евгений Ильин

Авторы: А Б В Г Д Е Ж З И Й К Л М Н О П Р С Т У Ф Х Ч Ш Ы Э Ю Я
Книги: А Б В Г Д Е Ж З И Й К Л М Н О П Р С Т У Ф Х Ц Ч Ш Щ Ы Э Ю Я
Бесплатная онлайн библиотека LoveRead.in

Онлайн книга «Психология индивидуальных различий»

📃 Cтраница 43

Но если сказанное выше – только предположение, то В. С. Горожаниным (1987) получены прямые доказательства связи свойств нервной системы с гормонами. Так, у лиц со слабой нервной системой найдена более высокая концентрация адреналина, адрено-кортикотропного гормона и кортизона в плазме крови с преобладанием продукции адреналина над норадреналином (в четыре с лишним раза). Для лиц с сильной нервной системой характерны умеренные величины АКТГ, кортизола и преобладание продукции норадреналина над адреналином. Заметим, что адреналин называют «гормоном тревоги», и не случайно личностная тревожность по многим данным выше у лиц со слабой нервной системой.

В нашей лаборатории тоже были выявлены связи силы – слабости нервной системы и баланса между возбуждением и торможением с рядом гормонов. В частности, обнаружено преобладание продукции адреналина над норадреналином у лиц со слабой нервной системой, что подтверждает данные В. С. Горожанина. Можно привести и свидетельства М. Каррутерса, который в течение 20 лет изучал гормональные уровни сотен мужчин и женщин, поставленных в стрессовые условия. Он обнаружил, что у одних, не владевших собой в этой ситуации, выделялся эпинефрин – гормон, вызывающий беспокойство. У тех же, кто владел собой, вырабатывался гормон норэпинефрин, вызывающий удовольствие, делающий стрессовые моменты приятными. А теперь вспомним, какая характеристика присуща лицам с сильной нервной системой: «А он, мятежный, просит бури, как будто в бурях есть покой» (М. Ю. Лермонтов). Возможно, что лица с сильной нервной системой – это те, у кого при стрессовых ситуациях вырабатывается норэпинефрин, а лица со слабой нервной системой – те, у кого вырабатывается в той же ситуации эпинефрин.

...

Чаще всего применяются характеристики, основанные на соотношении разных эндокринных систем, например адреналиновой и норадреналиновой. Однако биохимические индивидуальные свойства определяются не только эндокринной системой, но и индивидуальным строением белковых молекул клетки, метаболитами, выделяемыми клетками, тканями и органами. При этом в каждой биохимической реакции участвуют различные эндокринные железы, ткани и органы. Поэтому по биохимической реакции мы не в состоянии судить о каких-либо конкретных биохимических свойствах индивидуальности. К тому же некоторые органы, например гипоталамус, гипофиз, одновременно осуществляют и эндокринную и нервную функции, что еще в большей степени затрудняет сопоставление свойств нервной системы с биохимическими свойствами. При таком положении вещей для разрешения нашей проблемы (интегральной индивидуальности. – Е. И. ) малоэффективны имеющиеся в литературе сопоставления свойств нервной системы с функцией отдельных эндокринных желез (см.: Кортико-висцеральные взаимоотношения и гормональная регуляция, 1963).

Мы в состоянии достаточно обоснованно утверждать единственное – существование связи отдельных показателей и симптомокомплексов свойств нервной системы с отдельными проявлениями биохимической индивидуальности (В. С. Мерлин, 1986, с. 53—54).

5.5. Возрастно-половые особенности проявления свойств нервной системы

Вопреки бытующему мнению, что типологические особенности свойств нервной системы, как и темперамент, остаются в течение жизни неизменными, исследования показывают, что это далеко не так. В ряде работ выявлено, что они изменяются в различные возрастные периоды становления человека.

Изменение силы нервной системы. По данным А. П. Крючковой и И. М. Островской (1957), к концу первого года жизни ребенка сила нервной системы увеличивается. В. Э. Чудновский (1963) отмечает, что у дошкольников имеется слабость нервной системы, которая выражена тем меньше, чем меньше возраст детей. Таким образом, уже из этих данных следует: чем старше возраст детей, тем сильнее становится их нервная система. Исследование А. М. Сухаревой (1972) данного вопроса при обращении к школьникам подтвердило эту закономерность. Как видно на рис. 5.8, от 7 до 16—17 лет количество учащихся, имеющих слабую нервную систему, уменьшается, а имеющих сильную и среднюю нервную систему увеличивается. Эта закономерность выражена как у лиц мужского, так и женского пола, но у последних более ярко (девочек 7–8 лет со слабой нервной системой больше, чем их сверстников – мальчиков). Снижение среди девочек от 7 до 17 лет числа лиц со слабой нервной системой выявлено и Ж. Е. Фирилевой (1974). В возрасте 18—25 лет происходит некоторая стабилизация числа лиц с сильной и слабой нервной системой. При этом исчезают и различия в количестве людей с сильной и слабой нервной системой между мужчинами и женщинами.

Иллюстрация к книге — Психология индивидуальных различий [autogen_ebook_id34.jpg]

Рис. 5.8. Изменение с возрастом количества лиц с различной силой нервной системы. По горизонтали – возраст, годы; по вертикали – число случаев, %. Сплошная линия – сильная нервная система, пунктирная – средняя сила, штрихпунктирная – слабая нервная система. А – данные для лиц мужского пола, Б – данные для лиц женского пола.

Изменение подвижности нервных процессов. Существует ряд работ, в которых свойство подвижности изучалось у людей разного возраста. Однако сопоставить эти данные и вынести суждения о закономерностях возрастных изменений такого свойства нервной системы сложно потому, что в этих исследованиях использовались разные показатели, не являющиеся прямыми показателями подвижности и поэтому выделенные в послепавловский период в отдельные динамические характеристики. Например, Л. Н. Куркчи и Г. В. Попов (1968), Н. В. Кольченко (1967), С. И Молдавская (1965) использовали максимальный темп, который может усвоить испытуемый. По усвоению заданного темпа зрительных сигналов судил о подвижности и Р. Л. Рабинович (1965). Понятно тогда и различие в мнениях относительно того, как с возрастом изменяется свойство подвижности.

Вместе с тем быстроту исчезновения нервных процессов в качестве критерия подвижности – инертности изучали немногие авторы. А. И. Шлемин (1968) измерял реакцию последействия при предъявлении тормозного раздражителя детям 11—16 лет. Более высокая подвижность отмечена им в возрасте 13—14 лет. Уменьшение времени последействия в возрасте с 5 до 17 лет отмечена П. П. Балевским (1963). В то же время Н. И. Касаткин (1948) утверждал, что подвижность нервных процессов с возрастом ухудшается.

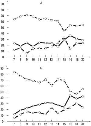
Более полная картина возрастных изменений подвижности возбуждения и торможения (по длительности реакции последействия) представлена в работах Н. Е. Высотской (1972б), А. Г. Пинчукова (1974а) и Ж. Е. Фирилевой (1974), обследовавших в общей сложности около 2500 человек. Этими авторами выявлена одна и та же закономерность: снижение подвижности возбуждения у детей в период от 6–7 лет к 8–9 годам, затем рост подвижности во время полового созревания (11—14 лет), новое, но менее выраженное снижение подвижности с 14 до 16 лет и некоторая стабилизация в возрасте 17—20 лет (см. рис. 5.9). Почти такая же динамика прослеживается и в отношении подвижности торможения.

Иллюстрация к книге — Психология индивидуальных различий [autogen_ebook_id35.jpg]
Вход
Поиск по сайту
Ищем:
Календарь