Книга Психология страха, страница 65 – Евгений Ильин

Авторы: А Б В Г Д Е Ж З И Й К Л М Н О П Р С Т У Ф Х Ч Ш Ы Э Ю Я
Книги: А Б В Г Д Е Ж З И Й К Л М Н О П Р С Т У Ф Х Ц Ч Ш Щ Ы Э Ю Я
Бесплатная онлайн библиотека LoveRead.in

Онлайн книга «Психология страха»

📃 Cтраница 65

[282, с. 78–79]. Очевидно, что военный врач проявил, несмотря на наличие сильного страха, большее волевое усилие, чтобы не покинуть поле боя, чем полковник-аристократ.

Таким образом, смелость как волевое проявление состоит не в отсутствии страха, а в способности управлять собой, своими действиями и поступками при наличии страха.

При этом необходимо формировать волевые умения: приемы самоубеждения, самоободрения, самоприказа.


У нас у всех один якорь, с которого, если сам не захочешь, никогда не сорвешься: чувство долга.

И. С. Тургенев

При воспитании человека и при его морально-волевой подготовке в первую очередь необходимо заботиться о формировании целостной личности, у которой хорошо развиты те мотивы, которые имеют общественную направленность.

Установлено, что воспитание чувства коллективизма, ответственного отношения к общему делу создает хорошие предпосылки для волевого преодоления страха. Во многих исследованиях установлено, например, что групповой (командный) соревновательный мотив стимулирует проявление силы воли в большей мере, чем индивидуальный. Обращение педагогов, тренеров, товарищей к моральным и нравственным чувствам человека увеличивает его смелость и решительность.

В. Г. Темпераментова [267] разработала ряд приемов, помогающих снизить переживание страха при выполнении физических упражнений: 1) постепенное повышение сложности препятствия, которое нужно преодолеть; 2) расчленение упражнения на части и выполнение их в облегченных условиях; 3) разучивание специальных и подготовительных упражнений, создающих уверенность в выполнении и основного упражнения; 4) обеспечение страховки на первых шагах разучивания упражнения; 5) приведение в пример товарищей, легко и непринужденно справившихся с упражнением; 6) включение «опасных» элементов в эстафеты-соревнования; 7) исключение нетактичных замечаний с подчеркиванием боязни учащихся; 8) ободрение учащихся, внушение им уверенности в том, что они сумеют выполнить упражнение.

Последний прием очень важен для придания смелости маленьким детям при катании на коньках, на лыжах, при освоении езды на велосипеде. Когда я учил своего пятилетнего сына съезжать с горки на лыжах, произошел следующий эпизод. Несколько попыток спуститься без падений у него были неудачными. Тогда я сказал сыну: «Съезжай, я уверен, что сейчас ты не упадешь». Попытка оказалась успешной, сын удержался. И вот перед следующей попыткой он сам попросил: «Папа, скажи еще раз, что я не упаду».

Другим примером является обучение детей езде на двухколесном велосипеде. Сначала родители поддерживают сзади велосипед, а затем незаметно для ребенка его отпускают, и ребенок едет самостоятельно. Но стоит ему только обернуться и узнать, что его больше не страхуют, как он тут же заваливается. В этот момент очень важно убедить ребенка, что он с самого начала ехал без страховки. Если он в это поверит, то проблема обучения решена.

Уповать на то, что если школьники знают, что такое чувство долга, и поэтому они проявят смелость, нет никаких оснований. Поэтому в педагогике большое внимание уделяется формированию морально-волевых привычек, т. е. стереотипов поведения.

Формирование нравственного компонента воли служит необходимым, но в ряде случаев недостаточным условием преодоления страха и боязни. Поэтому необходимо прибегать и к другим способам борьбы с ними.

13.2. Привыкание к опасности

Житейская практика и пребывание людей на войне показывают, что, находясь постоянно в опасной ситуации, человек со временем может воспринимать эту опасность все менее и менее остро.

В эксперименте Н. Д. Скрябина [255] испытуемым предлагалось многократно (по десять раз за урок в течение восьми уроков) выполнять одно и то же упражнение, приводящее к появлению боязни. О процессе адаптации к этой ситуации исследователи судили по нормализации баланса нервных процессов и частоты сердечных сокращений, а также по качеству выполнения упражнения. При этом степень смелости вычислялась не по абсолютной оценке качества упражнения, а по разности оценок при выполнении упражнения со страховкой и без нее.

Исследование показало, что по мере многократного выполнения этого упражнения без страховки оценка его все больше приближалась к оценке выполнения упражнения со страховкой, т. е. самоконтроль за выполнением упражнения все больше усиливался, а переживание боязни проявлялось все меньше. Об этом свидетельствовало и уменьшение частоты пульса после выполнения упражнения, а также уменьшение числа случаев сдвига баланса нервных процессов в какую-либо сторону. Следовательно, можно сделать вывод, что испытуемые постепенно адаптировались к данной опасной ситуации.

Аналогичный сдвиг частоты сердечных сокращений при пятикратном выполнении «опасного» упражнения у смелых и робких наблюдали Б. Н. Смирнов, М. А. Брегман и В. И. Киселев [258]. Авторы отмечают, однако, что у робких, в отличие от смелых, за время, отведенное на попытки, процесс адаптации не успел закончиться.

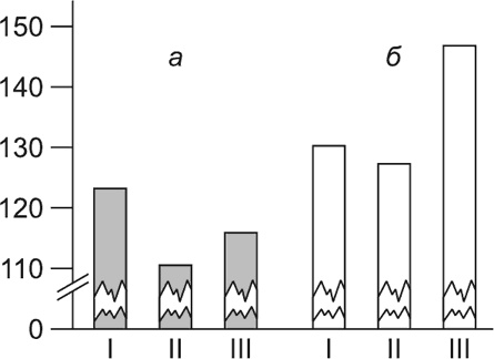
Но адаптация не означает, что у испытуемых возникла смелость как устойчивая черта личности. О ней можно было бы говорить в том случае, если бы и в других опасных ситуациях эти испытуемые проявили себя как смелые, т. е. без страховки выполняли бы упражнение так же качественно, как и со страховкой, и не обнаруживали бы повышение частоты сердечных сокращений. Но, как показано Н. Д. Скрябиным в том же исследовании, этого не произошло. Выполнение нового «опасного» упражнения привело у лиц с низким уровнем смелости к прежней реакции на опасность: к ухудшению качества выполнения упражнения без страховки и резкому повышению частоты сердечных сокращений (рис. 13.1 и 13.2).

Иллюстрация к книге — Психология страха [i_022.jpg]

Рис. 13.1. Влияние адаптации к «опасности» на частоту сердечных сокращений у смелых (а) и трусливых (б). По вертикали: частота сердечных сокращений перед выполнением упражнений (ударов в минуту); по горизонтали: I – выполнение «опасного» упражнения № 1 без тренировки (до адаптации), II – то же после адаптации. Ill – выполнение «опасного» упражнения № 2, к которому адаптация не проводилась


Значит, предположения психологов и педагогов о возможности развивать смелость оказались слишком оптимистичными. На основании исследования Н. Д. Скрябина можно сделать вывод о способности лиц с низким уровнем смелости адаптироваться к конкретной опасной ситуации, однако переноса этой адаптированности на другие опасные ситуации не происходит.

Привыкание к опасности может иметь и негативные последствия. Однажды ко мне обратился сотрудник отдела научной организации труда порохового завода с просьбой помочь в решении одной проблемы. Она состояла в том, что случаи травматизма в результате подрывов наблюдались чаще всего у работниц предпенсионного возраста. Дело в том, что по инструкции начинять порохом можно только одну гильзу, работницы же для повышения выработки брали в руки сразу две гильзы, в результате столкновения которых происходили взрывы. И нарушали инструкцию работницы по той причине, что хотели перед выходом на пенсию обеспечить себе большую среднегодовую зарплату. Очевидно, они рассуждали так: до сих пор с ними ничего не происходило и сейчас ничего не будет. То есть имела место адаптация к опасности и страху.

Вход
Поиск по сайту
Ищем:
Календарь