Книга Психология страха, страница 46 – Евгений Ильин

Авторы: А Б В Г Д Е Ж З И Й К Л М Н О П Р С Т У Ф Х Ч Ш Ы Э Ю Я
Книги: А Б В Г Д Е Ж З И Й К Л М Н О П Р С Т У Ф Х Ц Ч Ш Щ Ы Э Ю Я
Бесплатная онлайн библиотека LoveRead.in

Онлайн книга «Психология страха»

📃 Cтраница 46
Шеффер Д. Дети и подростки. Психология развития. СПб.: Питер, 2003. С. 582–583

Что касается лицевой экспрессии страха и ее различения от других негативных эмоций, то у младенцев одни и те же индикаторы могут свидетельствовать как о страхе, так и о страдании. Отчетливые различия в мимике этих состояний появляются у более старших детей.

Страх перед необычностью объекта. У малышей фактором страха может быть необычность объекта, с которым они сталкиваются. Когда детям предъявляли объемные маски искаженных человеческих лиц, страх проявили 20 % семимесячных детей и около 35 % детей в возрасте четырнадцати месяцев.

11.2. Страхи и боязни дошкольников

После трех лет у детей обычно появляется боязнь животных и темноты [36], достигая пика в четыре года. Побывав в больнице, они начинают бояться уколов и людей в белых халатах, причиняющих боль. Дети боятся спать одни при выключенном свете. Обсуждая природу этого страха, К. Д. Ушинский [276] писал, что Рид и Руссо думают, что дети уже по природе боятся темноты, но что он скорее согласен с Бэном, отвергающим эту боязнь. Темнота, писал К. Д. Ушинский, скрывая от нас окружающее, может сильно способствовать развитию в нас всякого рода страхов, которые зависят уже от других причин, но сама по себе темнота едва ли может быть причиной страха.


Как и человек на ранних ступенях своего социального развития, ребенок первых лет жизни боится всего нового и неизвестного, одушевляет предметы и сказочные персонажи, опасается незнакомых животных и верит что он и его родители будут жить вечно. У маленьких детей все реально, следовательно, их страхи также носят реальный характер. Баба-яга – это живое существо, обитающее где-то рядом, а Дядя только и ждет, чтобы забрать их в мешок, если не будут слушаться родителей. Только постепенно складывается объективный характер представлений, когда учатся различать ощущения, справляться с чувствами и мыслить абстрактно-логически. Усложняется и психологическая структура страхов вместе с приходящим умением планировать свои действия и предвидеть действия других, появлением способности к сопереживанию, чувством стыда, вины, гордости и самолюбия. Эгоцентрические, основанные на инстинкте самосохранения, страхи дополняются социально опосредованными, затрагивающими жизнь и благополучие других, вначале родителей и ухаживающих за ребенком, а затем и людей вне сферы его непосредственного общения.

Захаров А. И.[110]

Между тем родители из индейского племени навахо считают, что детские страхи – нормальная и здоровая реакция; они полагают, что бесстрашным ребенком руководит невежество и безрассудство. Так, в одном из исследований [501] родители из племени навахо перечислили около двадцати двух источников страха своих детей, включая боязнь сверхъестественных существ. В противоположность этому англо-американские родители из сельских районов штата Монтана назвали в среднем по четыре причины страха своих детей.

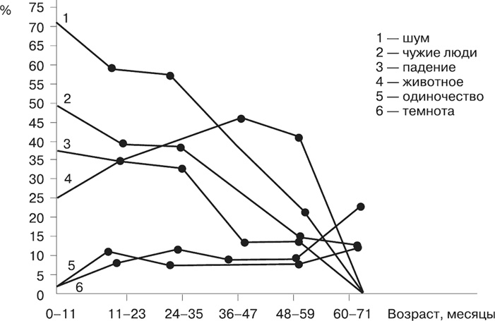
А. Джерсилд и Ф. Холмс [405] показали, что к шести годам боязнь звуков и незнакомых предметов постепенно уменьшается, а страх перед воображаемыми ситуациями в возрасте пяти-шести лет заметно усиливается (рис. 11.2). Через полвека было показано, что страх темноты, боязнь одиночества, чужих людей и незнакомых предметов стали появляться в более раннем возрасте [376].

По данным П. С. Зобова [116], в дошкольном возрасте преобладают мнимые (выдуманные, фантастические) страхи над реальными, в содержании которых фигурируют фантастические образы из прочитанных сказок, фильмов ужасов и т. п.; в последующие годы значимость мнимых опасностей снижается, а реальных – возрастает (табл. 11.1).

Обращает на себя внимание смена доминирующих боязней в каждой возрастной группе. У четырехлетних доминирует боязнь темноты, у пятилетних – боязнь животных, у шестилетних – боязнь смерти, у семилеток – боязнь опоздания в школу и боязнь ошибки.

Другая тенденция – уменьшение с возрастом частоты проявления одних видов боязней и появление новых видов боязней.

Иллюстрация к книге — Психология страха [i_015.jpg]

Рис. 11.2. Стимулы, вызывающие страх у детей до шести лет


Опрос А. И. Захаровым [ПО] младших дошкольников показал, что наиболее частые страхи перед Бабой-ягой, Кощеем и Бармалеем наблюдаются у мальчиков в три года, у девочек в четыре года (соответственно 34, 28 и 34 % мальчиков и 50, 42 и 47 % девочек).


Маша [три года два месяца]

Вечером зашла ко мне:

– Давай книгу читать.

– Какую?

– Много-много разных.

– Ну все-таки, какую? «Амба-Хамба» хочешь? – Нет.

– Почему?

– Я боюсь там хозяина, которого собака укусила.

‹…› Огорчительно, что не проходят ее страхи. Стоит ей остаться одной в комнате, как уже слышишь:

– Боюсь! Я боюсь!

Мама говорит, что Машка ей не один раз жаловалась, будто ей мерещатся какие-то глаза. И бабушке она говорила:

– Бабушка, ты видишь? ОН смотрит!

А сегодня под утро проснулась и разбудила мать:

– Мама, я боюсь. ОН там стоит… с глазами вот такими. ‹…›

Маша [четыре года один месяц]

Засыпает вечером хорошо. И не боится. Сама заметила это и похвалилась:

– Мамочка, я теперь не боюсь спать (одна).

Вообще, кажется, прошел, слава богу, этот период страхов, когда она на каждом шагу подвывала: «Бою-у-усь. Собаку боюсь! Машину боюсь! В коридоре боюсь. На кухне боюсь».

Пантелеев Л. Наша Маша. Книга для родителей. Л.: Детская литература, 1976. С. 144, 145,260.

Таблица 11.1. Выраженность боязней у дошкольников, % случаев

Иллюстрация к книге — Психология страха [i_016.jpg]

Среди реальных страхов в дошкольные годы первое место занимает боязнь воды; второе – страх, вызванный угрозой нападения животных, третье – боязнь падения с большой высоты и боязнь дорожно-транспортных происшествий.

По данным Е. М. Здесенко [111], в четыре года у детей доминирует страх темноты (41 % ответов), в пять лет – боязнь животных (53 % ответов), в шесть лет – страх собственной смерти и смерти родителей (47 % ответов).

Вход
Поиск по сайту
Ищем:
Календарь