Онлайн книга «Чердак. Только физика, только хардкор»
|
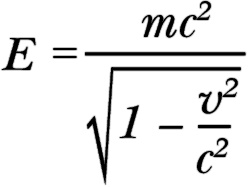
Четвертое. При движении масса тела увеличивается вплоть до бесконечности. Правда, сейчас считается моветоном так говорить, лучше считать, что увеличивается импульс, но это уже тонкости. И пятое. Согласно специальной теории относительности получается, что энергия рассчитывается так: ![]() Если скорости небольшие, то выражение можно разложить в ряд: ![]() Тут вы можете увидеть кинетическую энергию mv²/2. Остальные слагаемые крайне малы. И если тело покоится, то формула превращается в ту самую, которая является чуть ли не символом теории относительности: E = mc² Как видите, даже в покое у тела есть энергия мс²! Это энергия покоя, она есть в каждом теле. Можете даже посчитать, сколько в вас энергии. Проблема в том, что извлечь ее достаточно трудно, ведь для этого ваша масса должна куда-то исчезнуть. Но как раз-таки в ядерных реакциях масса продуктов совсем чуть-чуть отличается от массы реагентов. И эта разница превращается в колоссальную энергию! Например, если потеря массы всего 0,0006 грамма, то выделяется 54 000 000 000 000 Дж энергии! Это энергия ядерного взрыва бомбы, сброшенной на Хиросиму! Все эти следствия приводят к тому, что скорость света – максимально возможная скорость движения тел и распространения информации. Ведь если ее превысить, время и длина теряют смысл. А для тел, имеющих массу, она вообще недостижима, ведь при разгоне масса увеличивается до бесконечности, и никакой энергии не хватит, чтобы достичь скорости света. Так могут двигаться только безмассовые частицы, например фотоны. Вот так и получается, что у каждого движущегося объекта могут быть свое собственное время и свои размеры. И это поистине удивительно, ведь получается, что такие абсолютные величины, как время, длина и энергия, относительны. Теория относительности учитывается при движении электронов в крупных атомах, где их скорость может быть близка к скорости света. Она может объяснить притяжение к электромагнитам, ведь при пропускании электрического тока заряды определенного знака начинают двигаться, при этом сокращаясь и уплотняясь, и тем самым создавая силу электрического притяжения, хотя мы привыкли называть это магнетизмом. Теория относительности дала ключ к пониманию процессов в ядре и многому другому, всего не перечислить. Общая теория относительности До сих пор мы говорили о специальной теории относительности и ее эффектах. А сейчас перейдем к ее логическому продолжению, обобщению – ОТО. И чтобы лучше ее понять, нам необходимо объединить два факта. Первое. Мы живем в четырехмерном пространстве-времени. Испокон веков считалось, что такие фундаментальные понятия, как пространство и время, не зависят друг от друга. Но СТО нашла связь между ними, и она оказалось такой сильной, что стало понятно: это проявление одной сущности, которую назвали пространственно-временной континуум. Это и есть четырехмерное пространство-время. И все мы являемся четырехмерными объектами. Просто мы, жалкие создания в этой вселенной, не можем видеть все 4 измерения одновременно, а только лишь по частям: либо как пространство, либо как время. По сути, мы всегда воспринимаем проекцию четырехмерного объекта либо на пространство, либо на время, словно объекты отбрасывают тени на координатные оси. (Можно привести в пример следующую абстракцию: пространство-время – это словно цилиндр. Но мы видим либо его проекцию как круг, например время, либо как прямоугольник – пространство.) Примечательно, что теория относительности не утверждает, будто объекты меняются при движении. Заметьте, размеры теней/проекций не должны совпадать с размерами объекта. Четырехмерные объекты остаются неизменными, но при относительном движении их проекции меняются, и мы воспринимаем это как замедление времени, сокращение размеров и так далее. И второй факт: все тела падают с постоянной скоростью, а не разгоняются. Как это так? Давайте проведем мысленный страшный эксперимент. Представьте, что вы теряете сознание, потом приходите в себя и оказываетесь в непрозрачной кабине лифта. На вас наручники, рядом пила, в общем, ужас. Необычности добавляет то, что вы находитесь в невесомости. На экране телевизора появляется кукла и говорит: «Сейчас ты находишься в невесомости, и это могло произойти по двум причинам. Либо ты находишься в далеком-далеком космосе и просто летишь по инерции равномерно. Либо ты свободно падаешь на землю под действием гравитации (действительно, и вы, и лифт будете падать синхронно, поэтому относительно стенок лифта вы будете висеть в невесомости). Угадай, в какой ситуации ты находишься, иначе…» Проблема в том, что, не выглядывая из лифта, вы никак не сможете отличить эти два случая. Так что вы обречены. Ну да ладно! Это мысленный эксперимент, все остались живы. Интересно то, что отличить эти два случая друг от друга невозможно. Хотя в первом случае скорость постоянна, а во втором – увеличивается. Падение-то происходит в четырехмерном пространстве. Эйнштейн выдвинул дерзкую мысль: а что, если движение под действием гравитации – это и есть равномерное движение по инерции? Все удивились: как это может быть? Ведь по инерции движутся равномерно, с постоянной скоростью. Но равномерным это движение является в четырехмерном пространстве-времени. Массивные тела искривляют четырехмерное пространство, и равномерное движение объектов в нем проецируется в трехмерное в виде ускоренного под действием гравитации. Ну или вообще по окружности, параболе и т. д. ![]() Невероятно трудно представить, как искривляется четырехмерное пространство. Чтобы это воочию увидеть, нужно быть пятимерным существом. Давайте рассмотрим более простой, хоть и не очень корректный пример. Каждое массивное тело искривляет под собой пространство, создавая тем самым некую образную воронку. Другие тела, пролетающие мимо, не могут продолжить движение по прямой и изменяют свою траекторию согласно изгибам. Ну а если энергии у тела не очень много, его движение может стать даже замкнутым. Стоит отметить, что с точки зрения движущихся тел они перемещаются по прямой, по инерции, и не чувствуют ничего такого, что заставляет их повернуть. Просто они попали в плохую компанию, то есть в искривленное пространство, в котором, сами того не осознавая, скатываются по наклонной, то есть имеют непрямолинейную траекторию. Для них это равномерное движение. Конечно, не стоит забывать, что искривляется на самом деле четырехмерное пространство, в том числе и время, так что к этой аналогии нужно относиться очень осторожно. |
![Иллюстрация к книге — Чердак. Только физика, только хардкор [i_079.jpg] Иллюстрация к книге — Чердак. Только физика, только хардкор [i_079.jpg]](img/book_covers/076/76436/i_079.jpg)
![Иллюстрация к книге — Чердак. Только физика, только хардкор [i_080.jpg] Иллюстрация к книге — Чердак. Только физика, только хардкор [i_080.jpg]](img/book_covers/076/76436/i_080.jpg)
![Иллюстрация к книге — Чердак. Только физика, только хардкор [i_081.jpg] Иллюстрация к книге — Чердак. Только физика, только хардкор [i_081.jpg]](img/book_covers/076/76436/i_081.jpg)