Онлайн книга «Гейзенберг. Принцип неопределенности»
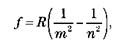
![]() Рис. 2 В 1860 году немецкие ученые Кирхгоф и Бунзен показали, что с помощью дискретных спектров можно обнаруживать различные химические элементы – как сегодня можно идентифицировать товар по его штрихкоду. Для этого достаточно составить подробный каталог частот, соответствующих каждому элементу. Кроме того, чтобы понять, откуда берутся лучи спектра, потребовалось определить отношения между наблюдаемыми частотами не только в видимой части спектра, но и в инфракрасной и ультрафиолетовой. Число лучей в подобном «штрихкоде» может быть огромным: так, число линий атомного спектра железа достигает нескольких тысяч. Простейшим атомным спектром является спектр атома водорода – он содержит всего четыре луча в видимой части. Длины волн этих лучей были измерены в 1884 году шведским ученым Андерсом Ангстремом. В следующем году в исследовании принял участие Иоганн Бальмер, швейцарский учитель математики, который преподавал в технических школах и женских учебных заведениях Базеля. Спустя более 20 лет после защиты докторской диссертации Бальмер получил хабилитацию, а с ней – право преподавать в университете. Ученый не раз говорил друзьям и коллегам, что если ему дадут любой ряд чисел, то он сможет найти формулу, связывающую их. Один из коллег предложил ему недавно полученные результаты измерений спектра водорода, и Бальмер справился с задачей. Его открытие вызвало еще больший интерес, когда другие ученые обобщили результат Бальмера и смогли полностью описать атомный спектр водорода. Спектральные «штрихкоды» постепенно начали упорядочиваться. Частоты спектральных линий пропорциональны обратным квадратам двух целых чисел. Описывающее их математическое выражение, известное как формула Ридберга, выглядит так: ![]() где m и n – два целых числа (m < n), R – постоянная Ридберга. Однако формула Бальмера не имела под собой никакой научной основы. Теперь расскажем, какую роль в зарождении квантовой физики сыграли целые числа. Нумерология Бальмера ![]() Каким образом Бальмер получил свою магическую формулу? Отправной точкой послужили четыре длины волны, выраженные в нанометрах: 656,21: 486,07 : 434,01: 410,12. Сначала разделим все числа на наименьшее из них. Не будем записывать все десятичные знаки после запятой и приведем округленные результаты деления: 1,6:1,185:1,058:1. Двоеточия означают, что речь идет об отношениях чисел. Теперь нужно как-то записать эти числа в виде рациональных дробей, то есть как частные двух целых. Предприняв несколько попыток, вы увидите, что если мы умножим все четыре числа на 9/8, то получим: 9/5:4/3:25/21:9/8. Было бы удобнее, если бы знаменатели располагались в порядке возрастания. Для этого умножим второе и четвертое число на 4/4, то есть на 1. Новый ряд чисел будет выглядеть так: 9/5; 16/12; 25/21; 36/32. Видите ли вы какую-либо закономерность, связывающую эти числа? От Бальмера не ускользнул тот факт, что их числители являются квадратами последовательных целых чисел (3,4,5,6), а знаменатели равны числителям, уменьшенным на 4, что можно записать как 2 в квадрате. Подведем итог: если каждой линии спектра поставить в соответствие целое число n, то длины волн будут пропорциональны дроби n²/(n² -2² ), где n принимает значения 3, 4 и так далее. Читатель может убедиться, что коэффициент пропорциональности равен 364,56 нм. Это выражение представляет собой всего лишь результат игры с числами, однако, как предположил Бальмер, его можно записать для других линий спектра, заменив 2² квадратами следующих целых чисел. Если рассмотреть частоты, которые, как известно, обратно пропорциональны длинам волн, то, с точностью до постоянного коэффициента, они будут описываться членами ряда 1/2² -1/n² . Квантовая дискретность С зарождением квантовой физики связана одна техническая задача. Во второй половине XIX века ученые и инженеры заинтересовались изучением абсолютно черного тела – идеального объекта, поглощающего все падающее на него излучение. На практике абсолютно черное тело представляет собой полость, внутреннее излучение которой можно наблюдать сквозь небольшое отверстие. Интерес к этому идеальному объекту возник, когда Густав Кирхгоф показал, что интенсивность излучения (точнее, энергия излучения на единицу объема и на единицу частоты внутри полости) не зависит от природы стенок тела, а определяется исключительно частотой излучения и температурой полости. Изучение абсолютно черного тела позволяло определить закономерности, описывающие излучение светящихся тел. Интенсивность излучения можно было измерить без особых проблем. Она определялась как функция частоты, ее графиком является кривая, выходящая из начала координат, следующая через точку максимума и приближающаяся к нулю по мере роста частоты. Эта кривая напоминает асимметричный колокол, высота и ширина которого зависят от температуры. Однако эту кривую нельзя было объяснить с помощью известных в то время теорий. К 1910 году немецкий ученый Макс Планк эмпирическим путем получил математическую формулу, описывавшую результаты наблюдений для любой частоты и температуры. Для теоретического подкрепления этой формулы Планку пришлось выдвинуть крайне специфическую гипотезу (по его словам, это было «актом отчаяния»): ученый предположил, что излучение с частотой ƒ не может передавать материи произвольную величину энергии; энергия должна быть кратной некой минимальной величине, пропорциональной частоте излучения. Энергообмен описывался дискретной величиной nhƒ, где коэффициент пропорциональности h вначале назывался квантом действия (действие в физике определяется как произведение энергии на время), однако вскоре стал называться постоянной Планка. Абсолютно черное тело Кривая излучения абсолютно черного тела напоминает асимметричный колокол, форма которого зависит от температуры. Значение физических терминов не всегда совпадает с обычным значением обозначающих их слов: звезды ведут себя как абсолютно черные тела, а анализ кривой излучения звезд позволяет определить температуру их поверхности. Так, известно, что температура поверхности Солнца составляет примерно 6000°С. Анализ фонового излучения Вселенной показал, что ее температура составляет примерно 3 К. Спектральная плотность мощности (в произвольных единицах) ![]() |
![Иллюстрация к книге — Гейзенберг. Принцип неопределенности [pic_2.jpg] Иллюстрация к книге — Гейзенберг. Принцип неопределенности [pic_2.jpg]](img/book_covers/076/76415/pic_2.jpg)
![Иллюстрация к книге — Гейзенберг. Принцип неопределенности [pic_3.jpg] Иллюстрация к книге — Гейзенберг. Принцип неопределенности [pic_3.jpg]](img/book_covers/076/76415/pic_3.jpg)
![Иллюстрация к книге — Гейзенберг. Принцип неопределенности [pic_4.jpg] Иллюстрация к книге — Гейзенберг. Принцип неопределенности [pic_4.jpg]](img/book_covers/076/76415/pic_4.jpg)
![Иллюстрация к книге — Гейзенберг. Принцип неопределенности [pic_5.jpg] Иллюстрация к книге — Гейзенберг. Принцип неопределенности [pic_5.jpg]](img/book_covers/076/76415/pic_5.jpg)