Онлайн книга «Гейзенберг. Принцип неопределенности»
|
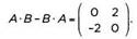
Новая модель выглядела непротиворечивой, однако ученый все еще не был в ней уверен – в этой модели предполагалось, что существует некое странное свойство, связанное с произведениями двух величин, x(t) и y(t). Как представить таблицу для произведения чисел через таблицы чисел для каждого множителя? Гейзенберг сделал это так: [x(t)y(t)]mn =xm1(t)y1n(t) +xm2(t)y2n(t) +xm3(t)y3n(t) +… Согласно его гипотезе, «в то время как в классической теории x(t)y(t) всегда равно y(t)x(t), это соотношение необязательно выполняется в квантовой теории». Несмотря на всю странность этого вывода, Гейзенберг решил изложить свои идеи, расчеты и результаты письменно. Он передал рукопись Борну и попросил опубликовать ее, если тот будет согласен с написанным. После этого молодой ученый сразу же отправился в далекий путь: его ждали конференции в Голландии и Англии, отпуск в Скандинавии в компании скаутов и продолжение работы в Копенгагене. Странное правило умножения, описанное Гейзенбергом, сбило Борна с толку. Он обдумывал новую модель несколько дней и наконец понял, что уже видел это правило, когда изучал математику в университете: таблицы Гейзенберга соответствовали матрицам, произведение которых не обладает коммутативностью. После того как Борн убедился в правильности рассуждений Гейзенберга, он отправил рукопись в «Физический журнал», где она была опубликована в сентябре 1925 года. Вместе с новым ассистентом Паскуалем Йорданом Борн изложил теорию Гейзенберга на языке матриц. В объемной статье исследователи объяснили матричные методы и адаптировали их к квантовой физике. Кроме того, они переопределили переменные и функции классической механики с помощью квантовых матриц и обнаружили матричные аналоги почти для всех уравнений механики. Взяв за основу абстрактные матричные выражения, Борн и Йордан получили формулы расчета энергии стационарных состояний. Все это позволило «ожидать, что на основе новой теории будут сформулированы четкие физические законы». Борн и Йордан обнаружили крайне любопытное соотношение между матрицами, обозначающими положение и импульс частицы. Напомним, что импульс равен произведению массы на скорость, и в классической механике высокого уровня использовать импульс удобнее, чем скорость. Как правило, положение частицы и ее импульс обозначаются буквами q (вместо х, которую мы использовали до этого) и р соответственно. Обозначив соответствующие матрицы заглавными буквами, Борн и Йордан записали найденное ими соотношение следующим образом: Q•P-P•Q = ihI, где i = sqrt(-1) – мнимая единица, h = h/2π – редуцированная постоянная Планка, I- единичная матрица. Элементы единичной матрицы, расположенные на главной диагонали, равны единице, все прочие – нулю. Это соотношение любопытно тем, что в нем присутствует число i. Оно было описано в XIX веке Коши и Гауссом и иногда используется в физике для упрощения некоторых формальных расчетов, однако в этой формуле мнимая единица появилась совершенно неожиданно, и в этом – еще одна особенность квантовой механики. Матрицы Матрица – это таблица с числами, которые обозначаются двумя индексами: первый указывает строку, в которой находится число, второй – столбец. К примеру, квадратная матрица из двух строк и двух столбцов выглядит так: ![]() ![]() Сложение и вычитание матриц интуитивно понятны: для этого нужно почленно сложить или вычесть элементы исходных матриц. Произведение матриц рассчитывается по особому правилу: При умножении матриц порядок множителей, в общем случае, влияет на конечный результат. К примеру, произведения матриц ![]() равны ![]() Эти матрицы различаются между собой. Разностью этих произведений будет матрица ![]() В общем случае, в квантовой механике используются квадратные матрицы бесконечной размерности, то есть имеющие бесконечное число строк и столбцов. В сентябре Борн и Йордан отправили копию своей работы Гейзенбергу, который к тому времени уже находился в Копенгагене. Молодой ученый показал работу Бору со словами: «Здесь полно матриц, и я не представляю, что они означают». В результате Гейзенбергу пришлось срочно изучить матричную алгебру. Стремясь сформулировать новую механику, он переписывался с Борном и Йорданом. Результатом совместной работы стала статья под названием «О квантовой механике, часть II», законченная в ноябре 1925 года и подписанная Борном, Гейзенбергом и Йорданом в алфавитном порядке. Это была знаменитая Dreimannerarbeit («работа трех») с изложением основ новой теории на языке математических выкладок. В статье были по-новому сформулированы начальные постулаты квантовой теории: в ней описывалось существование стационарных энергетических состояний атомов и квантовые скачки между состояниями, сопровождающиеся излучением или поглощением света. Авторы называли свою теорию «истинной теорией дискретного». Она позволяла провести все необходимые расчеты для любой системы с периодическим движением и описать свойства атомов с помощью новой матричной механики. Многие физики отнеслись к матричной механике прохладно; собственно, большинство из них даже не знали, что такое матрица. Эйнштейн писал своему другу Мишелю Бессо: «Самым интересным из недавних теоретических результатов является теория квантовых состояний Гейзенберга, Борна и Йордана. Это по-настоящему волшебная таблица умножения, где на смену декартовым координатам пришли бесконечные матрицы. Она крайне любопытна и ввиду огромной сложности в достаточной мере защищена от опровержений». Матричная теория была слишком абстрактной, и большинство ученых с облегчением приняли более доступную волновую механику, описанную Шрёдингером несколько месяцев спустя. Иные формулировки квантовой механики Напомним, что в 1923 году Луи де Бройль предположил, что электрону свойственен корпускулярно-волновой дуализм, то есть он ведет себя и как частица, и как волна, и разрешить этот дуализм можно с помощью законов оптики. При описании интерференции и дифракции света необходимо использовать волновые уравнения физической оптики. Однако при описании движения света в различных средах достаточно рассмотреть прямолинейные траектории, как если бы речь шла о движении частиц с разной скоростью в зависимости от среды. Задачи этого типа решаются в геометрической оптике. С XIX века было известно, каковы геометрические пределы физической оптики и когда следует рассматривать лучи света вместо волн. Де Бройль предположил, что в этом математическом формализме классической физики можно найти аналогию с квантовым дуализмом. Австрийский физик Эрвин Шрёдингер решил тщательно рассмотреть эту аналогию для квантовых частиц, в частности электрона. В 1926 году он опубликовал шесть статей, в которых описал основы иной формулировки квантовой механики – волновую механику. В ее первом абзаце было сказано: |
![Иллюстрация к книге — Гейзенберг. Принцип неопределенности [pic_24.jpg] Иллюстрация к книге — Гейзенберг. Принцип неопределенности [pic_24.jpg]](img/book_covers/076/76415/pic_24.jpg)
![Иллюстрация к книге — Гейзенберг. Принцип неопределенности [pic_25.jpg] Иллюстрация к книге — Гейзенберг. Принцип неопределенности [pic_25.jpg]](img/book_covers/076/76415/pic_25.jpg)
![Иллюстрация к книге — Гейзенберг. Принцип неопределенности [pic_26.jpg] Иллюстрация к книге — Гейзенберг. Принцип неопределенности [pic_26.jpg]](img/book_covers/076/76415/pic_26.jpg)
![Иллюстрация к книге — Гейзенберг. Принцип неопределенности [pic_27.jpg] Иллюстрация к книге — Гейзенберг. Принцип неопределенности [pic_27.jpg]](img/book_covers/076/76415/pic_27.jpg)
![Иллюстрация к книге — Гейзенберг. Принцип неопределенности [pic_28.jpg] Иллюстрация к книге — Гейзенберг. Принцип неопределенности [pic_28.jpg]](img/book_covers/076/76415/pic_28.jpg)