Книга Квантовая вселенная. Как устроено то, что мы не можем увидеть, страница 57 – Брайан Кокс, Джефф Форшоу

Авторы: А Б В Г Д Е Ж З И Й К Л М Н О П Р С Т У Ф Х Ч Ш Ы Э Ю Я
Книги: А Б В Г Д Е Ж З И Й К Л М Н О П Р С Т У Ф Х Ц Ч Ш Щ Ы Э Ю Я
Бесплатная онлайн библиотека LoveRead.in

Онлайн книга «Квантовая вселенная. Как устроено то, что мы не можем увидеть»

📃 Cтраница 57

Когда мы только обдумывали эту книгу, некоторое время спорили, чем ее закончить. Хотелось найти отражение интеллектуальной и практической мощи квантовой теории, которое убедило бы даже самого скептичного читателя, что наука действительно во всех подробностях отражает происходящее в мире. Мы оба согласились, что такое отражение существует, хотя и требует некоторого понимания алгебры. Мы изо всех сил старались рассуждать без тщательного рассмотрения уравнений, но здесь избежать этого никак нельзя, так что мы хотя бы предупреждаем. Итак, наша книга заканчивается здесь, даже если вам хотелось бы большего. В эпилоге – самая убедительная, на наш взгляд, демонстрация мощи квантовой теории. Удачи – и доброго пути.

Эпилог: смерть звезд

Умирая, многие звезды заканчивают свой путь в качестве сверхплотных шаров ядерной материи, переплетенной с множеством электронов. Это так называемые белые карлики. Такой будет и судьба нашего Солнца, когда оно примерно через 5 миллиардов лет исчерпает запасы ядерного топлива, и судьба еще более 95 % звезд нашей Галактики. Пользуясь только ручкой, бумагой и немного головой, можно вычислить наибольшую возможную массу таких звезд. Эти вычисления, впервые предпринятые в 1930 году Субраманьяном Чандрасекаром, с помощью квантовой теории и теории относительности позволили сделать два ясных прогноза. Во-первых, это было предсказание самого существования белых карликов – шариков материи, которые, по принципу Паули, спасает от разрушения сила собственной гравитации. Во-вторых – если мы отвлечемся от листка бумаги со всякими теоретическими каракулями и посмотрим в ночное небо, мы никогда не увидим белый карлик с массой, которая бы более чем в 1,4 раза превосходила массу нашего Солнца. Оба этих предположения отличаются невероятной дерзостью.

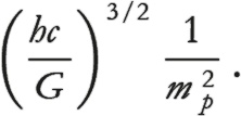
Сегодня астрономы уже занесли в каталоги около 10 000 белых карликов. У большинства из них масса составляет примерно 0,6 массы Солнца, а самая большая зафиксированная – немногим менее 1,4 массы Солнца. Это число – 1,4 – свидетельство триумфа научного метода. Оно опирается на понимание ядерной физики, квантовой физики и специальной теории относительности Эйнштейна – трех китов физики XX века. При его вычислении требуются также фундаментальные константы природы, с которыми мы уже встречались в этой книге. К концу эпилога мы выясним, что максимальная масса определяется отношением

Иллюстрация к книге — Квантовая вселенная. Как устроено то, что мы не можем увидеть [i_073.jpg]

Смотрите внимательно на то, что мы записали: результат зависит от постоянной Планка, скорости света, гравитационной постоянной Ньютона и массы протона. Удивительно, что мы можем предсказать наибольшую массу умирающей звезды с помощью сочетания фундаментальных констант. Трехстороннее сочетание гравитации, относительности и кванта действия, появляющееся в уравнении (hc / G)½, называется планковской массой, и при подстановке цифр оказывается, что она равна примерно 55 мкг, то есть массе песчинки. Поэтому, как ни странно, предел Чандрасекара вычисляется с помощью двух масс – песчинки и протона. Из таких ничтожных величин образуется новая фундаментальная единица массы Вселенной – масса умирающей звезды. Мы можем довольно долго объяснять, как получается предел Чандрасекара, но вместо этого пойдем немного дальше: мы опишем собственно вычисления, потому что они и есть самая интригующая часть процесса. У нас не получится точного результата (1,4 массы Солнца), но мы приблизимся к нему и увидим, как профессиональные физики делают глубокие выводы с помощью последовательности тщательно продуманных логических ходов, постоянно обращаясь при этом к хорошо известным физическим принципам. Ни в один из моментов вам не придется верить нам на слово. Сохраняя холодную голову, мы будем медленно и неотвратимо приближаться к совершенно поразительным заключениям.

Начнем с вопроса: что такое звезда? Можно почти без ошибки сказать, что видимая Вселенная состоит из водорода и гелия – двух самых простых элементов, сформированных в первые несколько минут после Большого взрыва. После примерно полумиллиарда лет расширения Вселенная стала достаточно холодной, чтобы более плотные области в газовых облаках под действием собственной гравитации стали собираться вместе. Это были первые зачатки галактик, и внутри них, вокруг более мелких «комков», начали формироваться первые звезды.

Газ в этих прототипах звезд, по мере того как они коллапсировали, становился все горячее, что известно любому обладателю велосипедного насоса: при сжатии газ нагревается. Когда газ достигает температуры около 100 000 ℃, электроны больше не могут удерживаться на орбитах вокруг ядер водорода и гелия, и атомы распадаются, образуя горячую плазму, состоящую из ядер и электронов. Горячий газ пытается расшириться, противодействуя дальнейшему схлопыванию, но при достаточной массе гравитация одерживает верх.

Так как протоны имеют положительный электрический заряд, они будут взаимно отталкиваться. Но гравитационный коллапс набирает силу, температура продолжает повышаться, и протоны начинают двигаться все быстрее. Со временем при температуре в несколько миллионов градусов протоны будут двигаться максимально быстро и приблизятся друг к другу так, что слабое ядерное взаимодействие возобладает. Когда это произойдет, два протона смогут вступить в реакцию друг с другом: один из них спонтанно становится нейтроном, одновременно испуская позитрон и нейтрино (точно так, как показано на рис. 11.3). Освободившись от силы электрического отталкивания, протон и нейтрон сливаются в результате сильного ядерного взаимодействия, образуя дейтрон. При этом высвобождается огромное количество энергии, поскольку, как и в случае с образованием молекулы водорода, связывание чего-то вместе высвобождает энергию.

При одном слиянии протонов высвобождается совсем мало энергии по повседневным стандартам. Один миллион слияний пар протонов дает энергию, равную кинетической энергии комара в полете или энергии излучения 100-ваттной лампочки за наносекунду. Но в атомарном масштабе это гигантское количество; кроме того, помните, что мы говорим о плотном ядре сжимающегося газового облака, в котором количество протонов на 1 см³ достигает 1026. Если все протоны в кубическом сантиметре сольются в дейтроны, освободится 10¹³ джоулей энергии – достаточно для обеспечения годовой потребности небольшого города.

Слияние двух протонов в дейтрон – начало самого разнузданного синтеза. Сам этот дейтрон ищет возможности слиться с третьим протоном, образуя более легкий изотоп гелия (гелий-3) и испуская фотон, а эти ядра гелия затем порождают пару и сливаются в обычный гелий (гелий-4) с испусканием двух протонов. На каждой стадии синтеза высвобождается все больше энергии. Кроме того, позитрон, появившийся в самом начале цепочки превращений, тоже быстро сливается в окружающей плазме с электроном, образуя пару фотонов. Вся эта освобожденная энергия направляется в горячий газ, состоящий из фотонов, электронов и ядер, который противостоит сжатию материи и останавливает гравитационный коллапс. Такова звезда: ядерный синтез сжигает находящееся внутри ядерное топливо, образуя внешнее давление, которое стабилизирует звезду, не давая осуществиться гравитационному коллапсу.

Вход
Поиск по сайту
Ищем:
Календарь