Книга Квантовая вселенная. Как устроено то, что мы не можем увидеть, страница 19 – Брайан Кокс, Джефф Форшоу

Авторы: А Б В Г Д Е Ж З И Й К Л М Н О П Р С Т У Ф Х Ч Ш Ы Э Ю Я
Книги: А Б В Г Д Е Ж З И Й К Л М Н О П Р С Т У Ф Х Ц Ч Ш Щ Ы Э Ю Я
Бесплатная онлайн библиотека LoveRead.in

Онлайн книга «Квантовая вселенная. Как устроено то, что мы не можем увидеть»

📃 Cтраница 19

Мы, разумеется, особенно интересуемся теми случаями, когда циферблаты не отменяют друг друга. Как мы уже видели, это происходит, если стрелка проходит не более одного оборота. В этом случае неконтролируемой интерференции не будет. Посмотрим, что это значит с количественной точки зрения.

Возвращаемся к группе циферблатов, заново нарисовав ее на рис. 4.4, но на этот раз вместо работы с точными числами будем рассуждать более абстрактно. Предположим, что область, в которой расположена группа циферблатов, имеет размер Δx, а расстояние до ближайшей точки области от точки Х равно x. В этом случае размер области Δx соответствует неопределенности нашего знания о начальном положении частицы; она стартует откуда-то из области размера Δx. Начиная с точки 1, которая находится в исходной области и ближе всего к точке Х, мы должны поворачивать часы соответственно прыжку из этой точки в точку Х на величину

Иллюстрация к книге — Квантовая вселенная. Как устроено то, что мы не можем увидеть [i_016.jpg]

Рис. 4.4. Он изображает то же самое, что и рис. 4.3, с тем исключением, что нет ограничения конкретной величиной размера группы циферблатов или расстоянием до точки X

Иллюстрация к книге — Квантовая вселенная. Как устроено то, что мы не можем увидеть [i_017.jpg]

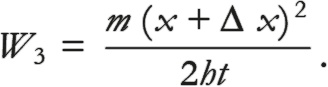
Теперь перейдем к самой удаленной точке – точке 3. Когда мы переносим циферблат из этой точки в точку Х, стрелка поворачивается на большую величину, а именно

Иллюстрация к книге — Квантовая вселенная. Как устроено то, что мы не можем увидеть [i_018.jpg]

Теперь мы можем точно сформулировать условие, при котором циферблаты, прибывающие в точку Х из всех точек исходного поля, не аннулировали бы друг друга: разница между циферблатами, прибывшими из точек 1 и 3, должна быть меньше одного полного оборота, то есть

W3 W1 < один оборот.

Если записать это полностью, мы получим

Иллюстрация к книге — Квантовая вселенная. Как устроено то, что мы не можем увидеть [i_019.jpg]

Рассмотрим конкретный случай, в котором размер области Δx будет много меньше расстояния x. Это значит, что мы исследуем условия, при которых частица совершит скачок значительно больший, чем диаметр ее исходной области. В этом случае условие, при котором циферблаты не отменяют друг друга, выводится непосредственно из предыдущего неравенства и выглядит как

Иллюстрация к книге — Квантовая вселенная. Как устроено то, что мы не можем увидеть [i_020.jpg]

Если вы немного знаете математику, то поймете, как это получается – с помощью перемножения членов в скобках и пренебрежения той частью, которая включает в себя (Δx)². Это можно сделать, потому что по условиям Δx по сравнению с x – величина очень малая, а малая величина в квадрате – это очень малая величина.

Это уравнение заключает в себе условие, при котором циферблаты в точке Х не отменяют друг друга. Мы знаем, что если циферблаты не аннулируются взаимно в определенной точке, то существуют хорошие шансы обнаружить в этой точке частицу. Итак, мы выяснили, что если частица изначально расположена внутри области размером Δx, то через время t существуют хорошие шансы найти ее на значительном расстоянии x от поля, если неравенство выше будет выполнено. Более того, это расстояние увеличивается со временем, потому что в формуле мы на время t делим. Иными словами, чем больше времени проходит, тем выше вероятность нахождения частицы довольно далеко от ее исходного положения. Тут мы начинаем подозревать, что частица все-таки двигается. Заметьте также, что шансы нахождения частицы вдалеке от исходной точки увеличиваются, если Δx уменьшается – то есть если неопределенность исходного положения частицы становится меньше. Иными словами, чем более точно мы улавливаем частицу, тем быстрее она удаляется от исходного положения. Теперь это уже очень напоминает принцип неопределенности Гейзенберга.

Напоследок давайте немного переформулируем наше неравенство. Заметьте: чтобы частица проделала путь из любой точки исходной области до точки Х за время t, она должна пройти расстояние x. Если вы действительно зарегистрировали частицу в точке X, то, разумеется, пришли к выводу, что частица передвигалась со скоростью x / t. Кроме того, напомним, что масса, умноженная на скорость частицы, есть ее импульс, поэтому величина mx / t – это измеренный нами импульс частицы. Теперь можно продвинуться еще дальше и вновь упростить неравенство, записав

Иллюстрация к книге — Квантовая вселенная. Как устроено то, что мы не можем увидеть [i_021.jpg]

где p – импульс. Можно переформулировать уравнение так, что оно примет вид

pΔx < h,

и это действительно заслуживает дальнейшего обсуждения, потому что данное уравнение уже очень сильно напоминает принцип неопределенности Гейзенберга.

Итак, наши математические расчеты пока окончены, и, если вы не очень пристально следили за ними, вам следует ухватить нить рассуждений с этого момента.

Если начать с частицы, находящейся внутри связной области размером Δx, то, как мы установили, с течением времени она может оказаться где угодно внутри более крупной области размером x.

Эта ситуация показана на рис. 4.5. Точнее говоря, это значит, что, если бы мы искали частицу в начальный момент, были бы шансы найти ее где-то во внутренней области. Если бы мы не стали проводить измерения, а решили подождать, высоки были бы шансы найти ее где-то во внешней, более крупной связной области. Это значит, что частица могла перейти из точки внутри малой начальной области в точку внутри более крупной. Однако она не обязана была двигаться, так что до сих пор есть вероятность нахождения ее в меньшей области Δx. Но вполне возможно, что измерения покажут, что частица дошла как раз до края большой области [14]. Если бы этот предельный случай был реализован при измерении, то мы заключили бы, что частица движется с импульсом, который задается только что выведенным нами уравнением (если вы не следовали за нашими математическими рассуждениями, просто примите это на веру), то есть p = h / Δx.

Вход
Поиск по сайту
Ищем:
Календарь