Книга Жизнь замечательных веществ, страница 30 – Аркадий Курамшин

Авторы: А Б В Г Д Е Ж З И Й К Л М Н О П Р С Т У Ф Х Ч Ш Ы Э Ю Я
Книги: А Б В Г Д Е Ж З И Й К Л М Н О П Р С Т У Ф Х Ц Ч Ш Щ Ы Э Ю Я
Бесплатная онлайн библиотека LoveRead.in

Онлайн книга «Жизнь замечательных веществ»

📃 Cтраница 30
Иллюстрация к книге — Жизнь замечательных веществ [i_156.jpg]

Отец-основатель французской психиатрии Жак-Жозеф-Валантен Маньян (1835–1916) не сомневался в том, что абсент представляет дистиллированную и концентрированную форму зла. Он отличал пристрастие к абсенту от банального простого алкоголизма, вводя в медицинскую терминологию зависимостей слово «абсентизм». Маньян посчитал, что главным корнем зла являются полынь и содержащиеся в ней вещества. Маньян выяснил, что чистое масло полыни вызывает конвульсии, и перенес эти наблюдения на абсент, хотя содержание компонентов эфирного масла полыни в нём было чрезвычайно мало. Влияние масла полыни на подопытных мышей и собак было экстраполировано на людей, токсичность веществ, присутствующих в других растениях, была проигнорирована. Было известно, что горькая полынь ядовита, монотерпеноид туйон, входящий в состав масла полыни, был первым после спирта и воды веществом, идентифицированным в абсенте, что в итоге и привело к тому, что его сделали козлом отпущения.

Иллюстрация к книге — Жизнь замечательных веществ [i_157.jpg]

К концу XIX века абсент нажил двух могущественных врагов, которые в любой другой ситуации никогда не нашли бы общий язык, но общая ненависть их сплотила. Во-первых, запрета абсента требовало появившееся и набирающее силу движение за трезвый образ жизни, а во-вторых – французские виноделы, виноградники которых уже успели прийти в себя после нашествия тли, хотели вернуть себе потерянный рынок. Гвоздь в крышку гроба абсента был забит после трагического события, произошедшего 28 августа 1905 года, когда швейцарский крестьянин Жан Ланфрэй убил свою жену и двух дочерей. Расследование показало, что Ланфрей был хроническим алкоголиком и выпивал в сутки 5 литров вина или такое же количество крепких напитков (в пересчете на содержание спирта), однако поскольку он совершил убийство, находясь под воздействием не вина, а стакана абсента, этого оказалось достаточным для законодательного введения запрета. В Швейцарии абсент запретили в 1908 году, затем он был запрещен и в других странах, последней наступила очередь Франции, где «зелёную фею» объявили вне закона в 1915 году. Запрет оставался в силе до 1988 года, когда Евросоюз снова разрешил его производство, единственное место, где до этого разрешения не было запрещено производить абсент, – Великобритания, впрочем, там он не пользовался популярностью.

В конце 1970-х – начале 1980-х годов некоторые исследователи считали, что туйон действует на каннабиоидные рецепторы сходным образом, как и тетрагидроканнабинол, из-за чего туйон (а следовательно и абсент) психоактивен, правда, эта теория была опровергнута в 1999 году. Разрешение производства абсента в 1988 году произошло на условии того, что производителей обязали соблюдать ограничения, введённые Европейским союзом, согласно которым количество туйона в абсенте не должно превышать 10 мг/кг (35 мг/кг с 2008 года). Естественно, тут же нашлись люди, которые стали утверждать, что в начале ХХ века зеленее была не только трава, но и абсент, но это не подтвердилось.

Иллюстрация к книге — Жизнь замечательных веществ [i_158.jpg]

Международная исследовательская группа под руководством специалиста по пищевой химии Дирка Лахенмайера из Исследовательской лаборатории химических и ветеринарных исследований правительства Германии в Карлсруэ предоставила убедительные свидетельства в пользу того, что туйон едва ли мог быть причиной приступов творческого делирия любителей абсента.

Иллюстрация к книге — Жизнь замечательных веществ [i_159.jpg]

Исследователи нашли подлинные бутыли абсента, произведенные до 1910 года. Они разработали метод анализа, с помощью которого впервые удалось продемонстрировать, что содержание туйона в абсенте начала XX века сравнимо с его содержанием в современном абсенте. Оказалось, что среднее содержание туйона в образцах абсента, выпущенных до запрета, составляет 25,4 мг/л. Такая концентрация практически не отличается от концентрации туйона в образцах абсента, выпущенных сразу после запрета и в начале XXI века, которые составляют соответственно около 7,6 мг/л и 26,9 мг/л. По словам Лахенмайера, содержание других потенциально опасных компонентов в абсенте также незначительно, а это, в свою очередь, позволяет говорить о том, что Маньян погорячился с «абсентизмом», а причиной появления «зелёных фей» было обычное алкогольное отравление, вызванное неуёмным потреблением спиртного.

Бензальдегид

Бензальдегид (C7H6O) – распространенный ароматический альдегид, который можно обнаружить в масле горького миндаля.

Иллюстрация к книге — Жизнь замечательных веществ [i_160.jpg]

Впервые он и был обнаружен в результате выделения из горьких эфирных масел – в 1803 году его описал французский фармацевт Метре, а первый синтез бензальдегида в 1832 году провели Вёлер и Либих. Бензальдегид представляет собой бесцветную (или слегка жёлтую) жидкость, не смешивающуюся с водой. Из-за аромата и вкуса миндаля его применяют в том числе и в парфюмерно-косметических композициях, и как пищевой ароматизатор там, где надо имитировать миндаль.

Иллюстрация к книге — Жизнь замечательных веществ [i_161.jpg]

Главный способ промышленного получения – либо хлорирование толуола до бензилхлорида с последующим окислением в водной среде, либо хлорированием того же толуола до бензальхлорида (дихлорметилбензола) и его гидролизом.

В лаборатории бензальдегид можно получить, окисляя бензиловый спирт, или с помощью ретроальдольной конденсации коричного альдегида (в результате последнего процесса бензальдегид скорее образуется как побочный продукт). Веществом, исходным для биосинтеза бензальдегида, является аминокислота фенилаланин.

В миндальных орехах, косточках абрикосов и персиков, а также в яблочных зернах бензальдегид образует гликозид, известный как амидгалин.

Ферментативное расщепление амидгалина в кишечнике приводит к его разрушению с образованием бензальдегида, глюкозы и цианида водорода (водный раствор – синильная кислота). Так как токсический эффект определяется дозой, небольшое количество продуктов распада амидгалина фактически безопасно для организма, но опасность растёт с увеличением дозировки, и, в принципе, при определённых условиях продуктами распада амидгалина можно отравиться.

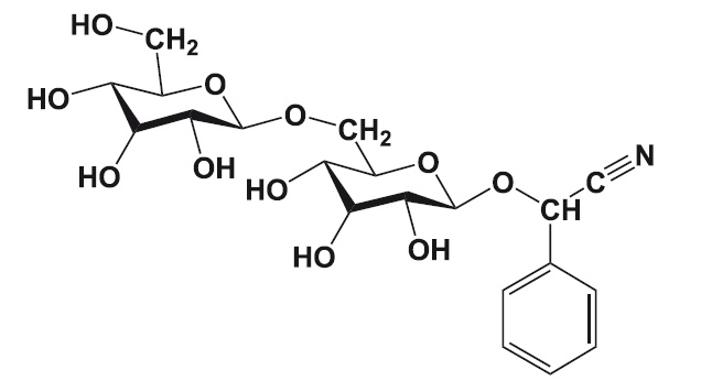
Иллюстрация к книге — Жизнь замечательных веществ [i_162.jpg]

Aмидгалин


В мякоти персиков, слив, абрикосов и яблок амидгалина нет, поэтому мякоть этих фруктов не может быть источником цианидов. Заметим, что сами растения накапливают в семечках амидгалин именно как средство для отравления того, кто их ест, но не человека, а разного рода насекомых-плодожорок, которым до летального исхода цианида нужно много меньше (можно сравнить массу человека и массу сливовой плодожорки и оценить, во сколько раз меньше потребуется плодожорке цианида; оценка всё же будет грубой, поскольку обмены веществ насекомого и человека различаются). Увеличение содержание сахара в настойке или, скажем, в разных сортах миндальных орехов снижает риск отравления циановодородом, который взаимодействует с углеводами, понижая при этом свою концентрацию.

Вход
Поиск по сайту
Ищем:
Календарь