Онлайн книга «Лорд Кельвин. Классическая термодинамика»
|
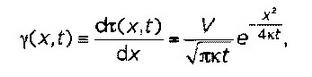
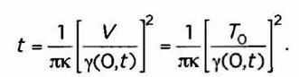
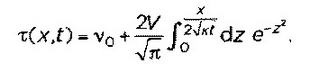
«В течение 18 лет меня беспокоила мысль о том, что основные принципы термодинамики игнорируются этими геологами, которым они упорно противопоставляют всяческие безумные гипотезы. Они утверждают не только то, что сейчас перед нами на Земле происходят примеры всевозможных действий, из-за которых ее оболочка менялась на протяжении геологической истории, но и что эти действия в целом никогда не были более интенсивными, чем сейчас». Другой пример едкой дискуссии мы видим в разговоре Томсона с шотландским геологом Эндрю Рамзаем в 1867 году. На его утверждение - «Я не могу оценить и понять причин, по которым вы, физики, ограничиваете геологическое время, так как вы не способны понять геологических причин наших ограничительных оценок» — Томсон ответил: «Ты сможешь понять рассуждение физиков, если начнешь над этим думать». Согласно модели Томсона, Земля образовалась в результате застывания некоторого количества расплавленного материала. После застывания у системы должна была быть однородная начальная температура, и она должна была находиться в среде, поддерживавшей на поверхности Земли постоянную температуру. Томсон предположил, что дополнительные источники тепла отсутствовали, и рассмотрел систему, используя уравнение распространения тепла в твердых телах, которое за несколько лет до этого разработал Фурье и с которым Томсон был хорошо знаком с молодых лет. При таких обстоятельствах температура в любой точке земного объема зависела только от расстояния от этой точки до поверхности и от времени, пройденного от начального состояния. Решая уравнение Фурье, ученый нашел отношение между временем, пройденным от начала, начальной температурой системы, температурным градиентом на поверхности и константой, которая называется термодиффузией. Этих величин было достаточно, чтобы оценить возраст Земли. На тот момент Томсон не располагал достаточным количеством экспериментальных данных для проведения необходимых расчетов и определения возраста Земли, так что он начал измерять температурный градиент на земной поверхности, проводимость различных пород и так далее. Через несколько лет, когда ученый представил Эдинбургскому королевскому обществу свою работу «О вековом охлаждении Земли», у него уже была информация, необходимая для таких расчетов. Он рассматривал средний температурный градиент земной поверхности около 35 °с/км; для термодиффузии он предложил значение порядка 10-6 м2 с-1 и оценил начальную температуру Земли примерно в 4000 °С, что было равно температуре плавления некоторых пород. При таких значениях было установлено, что возраст Земли равен 130 миллионам лет. ![]() Томсон (в центре) с физиком Николсом и дипломатом Шурманом в Корнелльском университете, США. ![]() Томсон с супругой в день обретения ученым дворянского титула. Фотография 1892 года. ![]() Томсон и его супруга на железнодорожном заводе. РАСЧЕТ ТОМСОНА Условия, взятые Томсоном за основу для осуществления расчетов о возрасте Земли, позволили ему рассматривать очень простую модель, схематически представленную на рисунке. Земля после образования имела однородную температуру Т0 и взаимодействовала со средой с постоянной температурой Тсреда. Первым шагом был расчет температуры τ(х, t) в любой точке земного объема, расположенной на расстоянии х от поверхности по истечении времени t от начального момента. Для этого Томсону нужно было только решить уравнение теплопроводности Фурье ∂τ(x,t)/∂t = κ · ∂2τ(x,t)/∂x2, где κ — термодиффузия. Томсон предложил в качестве решения этого уравнения функцию ![]() Здесь ν0 = (T0 + Тсреда)/2, а V = (Т0 - Тсреда)/2. Простой расчет позволяет проверить, что это решение действительно удовлетворяет дифференциальному уравнению. Кроме того, видно, что при начальном состоянии, t = 0, все внутренние точки земного объема (то есть при х > 0, справа от земной поверхности на рисунке) имеют температуру T0, а все внешние относительно Земли точки (то есть при х < 0, слева от земной поверхности на рисунке) имеют температуру Тсреда. Таким образом, можно вычислить температурный градиент, γ(x, t), в любой точке, то есть коэффициент изменения температуры в этой точке на единицу длины, перпендикулярной плоскости поверхности, который будет равен ![]() а на земной поверхности, то есть для х = 0, он равен γ(0,t) = V/√(πκt) Если выделить t в этом уравнении и учитывать, что поскольку T0 (порядка нескольких тысяч °С) намного больше Tсреда (порядка нескольких десятков °С), V ~ Т0, то получается ![]() Теперь достаточно подставить значения, указанные в тексте (κ = 10-6 м2 с-1, T0 = 4000 °С и γ(0, t) = 35 °С/км), чтобы получить для t 130 миллионов лет, предложенные Томсоном. ![]() На самом деле Томсон определил диапазон от нескольких десятков до нескольких сотен миллионов лет, поскольку учел возможные погрешности экспериментальных данных, использованных для расчета. Через некоторое время он пересмотрел свои вычисления и свел оценку к 20 миллионам лет. ...НО ОШИБСЯ Томсон доверял своей оценке возраста Земли в свете другого результата, который он сам получил немного ранее. Это очень важно для науки, поскольку если один и тот же результат можно найти двумя различными способами, не связанными между собой, достоверность этого результата растет. Воспроизводимость научных результатов - один из столпов, на которых основывается наука, и обязательный элемент ее развития. |
![Иллюстрация к книге — Лорд Кельвин. Классическая термодинамика [img_58.jpg] Иллюстрация к книге — Лорд Кельвин. Классическая термодинамика [img_58.jpg]](img/book_covers/076/76391/img_58.jpg)
![Иллюстрация к книге — Лорд Кельвин. Классическая термодинамика [img_59.jpg] Иллюстрация к книге — Лорд Кельвин. Классическая термодинамика [img_59.jpg]](img/book_covers/076/76391/img_59.jpg)
![Иллюстрация к книге — Лорд Кельвин. Классическая термодинамика [img_60.jpg] Иллюстрация к книге — Лорд Кельвин. Классическая термодинамика [img_60.jpg]](img/book_covers/076/76391/img_60.jpg)
![Иллюстрация к книге — Лорд Кельвин. Классическая термодинамика [img_61.jpg] Иллюстрация к книге — Лорд Кельвин. Классическая термодинамика [img_61.jpg]](img/book_covers/076/76391/img_61.jpg)
![Иллюстрация к книге — Лорд Кельвин. Классическая термодинамика [img_62.jpg] Иллюстрация к книге — Лорд Кельвин. Классическая термодинамика [img_62.jpg]](img/book_covers/076/76391/img_62.jpg)
![Иллюстрация к книге — Лорд Кельвин. Классическая термодинамика [img_63.jpg] Иллюстрация к книге — Лорд Кельвин. Классическая термодинамика [img_63.jpg]](img/book_covers/076/76391/img_63.jpg)
![Иллюстрация к книге — Лорд Кельвин. Классическая термодинамика [img_64.jpg] Иллюстрация к книге — Лорд Кельвин. Классическая термодинамика [img_64.jpg]](img/book_covers/076/76391/img_64.jpg)