Книга Новейший справочник медицинской сестры, страница 32 – Николай Савельев

Авторы: А Б В Г Д Е Ж З И Й К Л М Н О П Р С Т У Ф Х Ч Ш Ы Э Ю Я
Книги: А Б В Г Д Е Ж З И Й К Л М Н О П Р С Т У Ф Х Ц Ч Ш Щ Ы Э Ю Я
Бесплатная онлайн библиотека LoveRead.in

Онлайн книга «Новейший справочник медицинской сестры»

📃 Cтраница 32

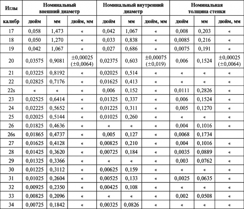
Окончание табл. 2

Иллюстрация к книге — Новейший справочник медицинской сестры [i_009.jpg]
Цветовая кодировка инъекционных игл
Иллюстрация к книге — Новейший справочник медицинской сестры [i_001.jpg]

Для удобства пользователя и быстрой визуальной идентификации диаметра одноразовых игл используется система цветового кодирования.

Причем производители подчеркивают, что возможность идентифицировать иглу по цвету пластикового основания не освобождает пользователя от ответственности за проверку указанного размера иглы.

Российские стандарты цветовой кодировки идентичны международным.

Регламентирует кодировку медицинских игл стандарт ISO 6009 (ИСО 6009).

Правила стандартизации устанавливают диапазоны цветовой зоны, единые для всех производителей медицинского оборудования и медицинской техники.

Это значит, что насыщенность темно-зеленого, желто-зеленого и бледно-зеленого цветов у разных производителей может быть различной, но любая «зеленая» игла будет толще «черной», «синей» или «желтой».


Таблица 3. Стандарт цветовой кодировки инъекционных игл

Иллюстрация к книге — Новейший справочник медицинской сестры [i_010.jpg]
Стандарт гигиенической обработки рук
Иллюстрация к книге — Новейший справочник медицинской сестры [i_001.jpg]

Существует три уровня деконтаминации рук: обычное (бытовое) мытье рук, гигиеническая дезинфекция и хирургическая антисептика.

Обычное мытье рук используется в бытовых условиях после посещения туалета, перед приемом пищи, перед обработкой пищевых продуктов и т. п., а также медработниками при незначительном загрязнении рук для удаления грязи и транзиторной флоры после контактов с инфицированными больными и после каждого осмотра пациентов.

Правила обработки рук медицинских работников регламентированы постановлением Главного государственного санитарного врача РФ от 18 мая 2010 г. № 58 «Об утверждении СанПиН 2.1.3.2630-10 «Санитарно-эпидемиологические требования к организациям, осуществляющим медицинскую деятельность».

Согласно СанПиН (Санитарные правила и нормы) 2.1.3.2630-10 гигиеническая обработка рук медработников заключается в удалении или уничтожении транзиторной микрофлоры и осуществляется с использованием таких антисептических средств, как мыло и кожный антисептик.

На уровне хирургической антисептики происходит удаление или уничтожение болезнетворных микроорганизмов независимо от их патогенности.

Гигиеническую обработку рук проводится:

– перед непосредственным контактом с пациентом;

– после контакта с неповрежденной кожей пациента (например, при измерении пульса или артериального давления);

– после контакта с секретами или экскретами организма, слизистыми оболочками, повязками;

– перед выполнением различных манипуляций по уходу за пациентом;

– после контакта с медицинским оборудованием и другими объектами, находящимися в непосредственной близости от пациента;

– после лечения пациентов с гнойными воспалительными процессами, после каждого контакта с загрязненными поверхностями и оборудованием.

Стандарт гигиенической обработки рук используется при выполнении любых инъекций. Гигиеническая обработка рук проводится двумя способами: мытье рук с антисептическим мылом и обработка рук кожным антисептиком.


1. Мытье рук с антисептическим мылом


Для гигиенического мытья рук используется жидкое антисептическое мыло из дозатора (диспенсера) или индивидуальное одноразовое.

Для промокания и вытирания рук применяются одноразовые бумажные салфетки (полотенца).

Использованной салфеткой можно закрутить кран хирургического умывальника, если он не оборудован медицинским локтевым смесителем.

Перед гигиенической дезинфекцией необходимо снять кольца, перстни, браслеты, часы и другие украшения, ношение которых повышает микробную нагрузку кожи, затрудняет удаление патогенной микрофлоры и препятствуют нормативной обработке рук.

Ногти должны быть чистыми и коротко подстриженными. Маникюр допустим, однако при классическом маникюре кожица у основания ногтевой пластины (кутикула) повреждается, а микротравмы инфицируются.

Поэтому рекомендуется делать европейский маникюр, при выполнении которого используется не механический способ обрезания кутикулы, а разнообразные гели, жидкости, кислотные и щелочные ремуверы для ее необрезного удаления. Использование искусственных ногтей запрещено.

Следует иметь в виду, что применение лака может провоцировать нежелательные дерматологические реакции, в некоторых случаях осложняющиеся развитием вторичных инфекций. Однако к повышенной контаминации рук лаковое покрытие ногтей не приводит.

Совершенно недопустим модный кракелюровый лак с эффектом растрескивания и просто неухоженные руки с потрескавшимся лаком, затрудняющим удаление и уничтожение патогенной микрофлоры. Под слоем темного лака нередко бывает затруднительно определить состояние подногтевого пространства, поэтому, если вы все же используете лак для ногтей, отдавайте предпочтение прозрачным лакам.


2. Обработка рук кожным антисептиком


Согласно СанПиН 2.1.3.2630-10, допускается гигиеническая обработка рук медработников без их предварительного мытья.

Алгоритмы (стандарты) всех эпидемиологически значимых лечебных и диагностических манипуляций должны включать в себя рекомендуемые средства и способы обработки рук при выполнении соответствующих манипуляций.

Для эффективного обеззараживания рук рекомендуется применять спиртосодержащие кожные антисептики.

Для обработки рук допустимо использование 0,5 %-ного раствора хлоргексидина биглюконата в 70 %-ном этиловом спирте, «АХД-2000 специаль», «Стериллиум» и др., а также 70°-ного этилового спирта.

Применение спиртов более высокой концентрации (95 %, 96 %) производит дубильный эффект, препятствующий проникновению препарата в более глубокие слои кожи и их дезинфекции.

Гигиеническую обработку рук кожным антисептиком проводят путем втирания его в кожу кистей рук в количестве, рекомендуемом инструкцией по применению, обращая особое внимание на обработку кончиков пальцев, кожу вокруг ногтей, между пальцами.

Непременным условием эффективного обеззараживания рук является поддержание их во влажном состоянии в течение рекомендуемого времени обработки.

Вход
Поиск по сайту
Ищем:
Календарь