Книга Рискуя собственной шкурой. Скрытая асимметрия повседневной жизни, страница 65 – Нассим Николас Талеб

Авторы: А Б В Г Д Е Ж З И Й К Л М Н О П Р С Т У Ф Х Ч Ш Ы Э Ю Я
Книги: А Б В Г Д Е Ж З И Й К Л М Н О П Р С Т У Ф Х Ц Ч Ш Щ Ы Э Ю Я
Бесплатная онлайн библиотека LoveRead.in

Онлайн книга «Рискуя собственной шкурой. Скрытая асимметрия повседневной жизни»

📃 Cтраница 65

Масштабируемость. Свойства феномена меняются, часто внезапно, когда он уменьшается или увеличивается в размерах. Города отличаются от больших государств, континенты очень сильно разнятся с островами. Когда растет размер групп, поведение коллектива резко меняется; это довод в пользу развития местной экономики и против необузданного глобализма.

Интеллектуальная монокультура. Журналисты, карьерные ученые и другие рабы без шкуры на кону в конкретной области сливаются в «благомыслии», которое поддается манипуляциям и игнорирует факты. Причина проста: отклонения от монокультуры часто караются ярлыками вроде «путинист», «убийца детей», «расист» (шарлатаны всегда используют детей как сенсационалистский аргумент). Почти так же с увеличением территории острова уменьшается экологическое разнообразие (см. «Черный лебедь»).

Торговля добродетелью. Девальвация добродетели путем превращения ее в маркетинговую стратегию. Античные авторы предписывали хранить добродетель в тайне, но это противоречит современным сигналам типа «спасем окружающую среду». Торговцы добродетелью зачастую лицемерны. Далее, добродетель, лишенная храбрости, самопожертвования и шкуры на кону, – не добродетель. Торговля добродетелью схожа с симонией (в Средние века – торговля церковными постами) и индульгенциями (покупка прощения грехов за деньги).

Золотое правило (симметрия). Поступайте с другими так же, как вы хотите, чтобы поступали с вами.

Серебряное правило (негатив золотого правила). Не поступайте с другими так, как не хотите, чтобы поступали с вами. Отметим отличие от золотого правила: серебряное останавливает назойливых людей, которые пытаются указывать вам, как жить.

Принцип доброжелательности. В интеллектуальных дебатах придерживайтесь симметрии; представляйте доводы оппонента так же, как вы хотите, чтобы кто-то другой представлял ваши. Противоположность – аргумент типа «чучело».

Специальное приложение
А. Шкура на кону и хвостовые вероятности

В этом разделе мы проанализируем вероятностную нестыковку хвостовых рисков и отдачи в присутствии проблемы принципала – агента.

Перенос ущерба. Если агент получает прибыль от положительной отдачи в форме случайной величины, но не терпит убытков от отрицательной и оценивается исключительно на базе прошлых результатов, он мотивирован скрывать риски в левом хвосте, используя отрицательно скошенное (или, в более общем виде, асимметричное) распределение результатов. Ситуацию можно обобщить на любую отдачу, в отношении которой агент не несет полные риски и огражден от отрицательных последствий своих действий.

Иллюстрация к книге — Рискуя собственной шкурой. Скрытая асимметрия повседневной жизни [i_010.jpg]

Рис. 7. Бизнес Боба Рубина. Отдача в скошенной ситуации, когда выгода видима (и таит в себе вознаграждение), а ущерб возникает редко (и тот, кто его нанес, не страдает благодаря тому, что не ставит шкуру на кон). Может наблюдаться в политике и везде, где штраф за ущерб мал


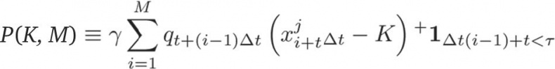
Пусть P(K, M) – отдача (выплаты) для оператора над М периодами мотивации:

Иллюстрация к книге — Рискуя собственной шкурой. Скрытая асимметрия повседневной жизни [i_011.jpg]

где

Иллюстрация к книге — Рискуя собственной шкурой. Скрытая асимметрия повседневной жизни [i_025.jpg]
– независимые, одинаково распределенные случайные величины, представляющие распределение прибыли в определенный период
Иллюстрация к книге — Рискуя собственной шкурой. Скрытая асимметрия повседневной жизни [i_026.jpg]
,
Иллюстрация к книге — Рискуя собственной шкурой. Скрытая асимметрия повседневной жизни [i_027.jpg]
и К – «перегородка»:
Иллюстрация к книге — Рискуя собственной шкурой. Скрытая асимметрия повседневной жизни [i_028.jpg]
– характеристическая функция момента остановки, в который условия прошлых результатов не удовлетворяются (а именно – условие достижения определенных результатов за некое число лет; при невыполнении условия отдача прекращается, игра завершается, количество положительных мотиваторов обнуляется). Константа
Иллюстрация к книге — Рискуя собственной шкурой. Скрытая асимметрия повседневной жизни [i_029.jpg]
– «агентская выплата», ставка вознаграждения за результаты, не обязательно выраженная в деньгах (при условии, что ее можно определить как «выгоду»). Величина
Иллюстрация к книге — Рискуя собственной шкурой. Скрытая асимметрия повседневной жизни [i_030.jpg]
определяет меру риска в момент
Иллюстрация к книге — Рискуя собственной шкурой. Скрытая асимметрия повседневной жизни [i_031.jpg]
(вследствие сдвига Ито: результат в период s определяется через q в определенный более ранний период < s).

Пусть

Иллюстрация к книге — Рискуя собственной шкурой. Скрытая асимметрия повседневной жизни [i_032.jpg]
– семейство вероятностных мер
Иллюстрация к книге — Рискуя собственной шкурой. Скрытая асимметрия повседневной жизни [i_033.jpg]
на
Иллюстрация к книге — Рискуя собственной шкурой. Скрытая асимметрия повседневной жизни [i_034.jpg]
Иллюстрация к книге — Рискуя собственной шкурой. Скрытая асимметрия повседневной жизни [i_035.jpg]
. Каждой мере соответствует характеристика среднего/скошенности, так что мы можем разделить их свойства на две части по обе стороны параметра «центральности» К на «верхнее» и «нижнее» распределение. Запишем
Иллюстрация к книге — Рискуя собственной шкурой. Скрытая асимметрия повседневной жизни [i_036.jpg]
как
Иллюстрация к книге — Рискуя собственной шкурой. Скрытая асимметрия повседневной жизни [i_037.jpg]
, тогда
Иллюстрация к книге — Рискуя собственной шкурой. Скрытая асимметрия повседневной жизни [i_038.jpg]
и
Иллюстрация к книге — Рискуя собственной шкурой. Скрытая асимметрия повседневной жизни [i_039.jpg]
– «верхнее» и «нижнее» распределение, каждое соответствует определенному условному ожиданию
Иллюстрация к книге — Рискуя собственной шкурой. Скрытая асимметрия повседневной жизни [i_040.jpg]
и
Иллюстрация к книге — Рискуя собственной шкурой. Скрытая асимметрия повседневной жизни [i_041.jpg]
.

Вход
Поиск по сайту
Ищем:
Календарь