Онлайн книга «Математика для любознательных (сборник)»
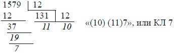
![]() Поверка: 10 x 144 + 11 x 12 + 7 = 1579. Задача № 13 Выразить число 1926 в двенадцатиричной системе [60]. Задача № 14 Выразить число 273 в двадцатиричной системе [61]. Простейшая система счисления
Вообще нетрудно сообразить, что в каждой системе высшая цифра, какая может понадобиться, равна основанию этой системы без единицы. Например, в 10-ичной системе высшая цифра 9, в 6-ричной - 5, в троичной - 2, в 15-ричной - 14, и т. д. Самая простая система счисления, конечно, та, для которой требуется меньше всего цифр. В десятичной системе нужны 10 цифр (считая и 0), в пятиричной - 5 цифр, в троичной - 3 цифры (1, 2 и 0), в двоичной - только 2 цифры (1 и 0). Существует ли и «единичная» система? Конечно: это система, в которой единицы высшего разряда в один раз больше единицы низшего, т е. равны ей; другими словами, «единичной» можно назвать такую систему, в которой единицы всех разрядов имеют одинаковое значение. Это самая примитивная «система»; ею пользуется первобытный человек, делая на дереве зарубки по числу сосчитываемых предметов. Но между нею и всеми другими системами счета есть громадная разница: она лишена главного преимущества нашей нумерации - так называемого поместного значения цифр. Действительно: в «единичной» системе знак, стоящий на 3-м или 5-м месте, имеет то же значение, что и стоящий на первом месте. Между тем даже в двоичной системе единица на 3-м месте (справа) уже в 4 раза (2 x 2) больше, чем на первом, а на 5-м - в 16 раз больше (2 x 2 x 2 x 2). Поэтому система «единичная» дает очень мало выгоды, так как для изображения какого-нибудь числа по этой системе нужно ровно столько же знаков, сколько было сосчитано предметов: чтобы записать сто предметов нужно сто знаков, в двоичной же - только семь («1100100»), а в пятиричной - всего три («400»). Вот почему «единичную» систему едва ли можно назвать «системой»; по крайней мере, ее нельзя поставить рядом с остальными, так как она принципиально от них отличается, не давая никакой экономии в изображении чисел. Если же ее откинуть, то простейшей системой счисления нужно признать систему двоичную, в которой употребляются всего две цифры: 1 и 0. При помощи 1-цы и 0 можно изобразить все бесконечное множество чисел! На практике система эта мало удобна - получаются слишком длинные числа [62]; но теоретически она имеет все права считаться простейшей. Она обладает некоторыми любопытными особенностями, присущими только ей одной; особенностями этими, между прочим, можно воспользоваться для выполнения ряда эффектных математических фокусов, о которых мы скоро побеседуем подробно в главе «Фокусы без обмана». Необычайная арифметика
Задача № 15 К арифметическим действиям мы привыкли настолько, что выполняем их автоматически, почти не думая о том, что мы делаем. Но те же действия потребуют от нас немалого напряжения, если мы пожелаем применить их к числам, написанным не по десятичной системе. Попробуйте, например, выполнить сложение следующих двух чисел, написанных по пятиричной системе: ![]() Решение Складываем по разрядам, начиная с единиц, т. е. справа: 3 + 2 равно пяти; но мы не можем записать 5, потому что такой цифры в пятиричной системе не существует: пять есть уже единица высшего разряда. Значит, в сумме вовсе нет единиц; пишем 0, а пять, т. е. 1-цу следующего разряда, удерживаем в уме. Далее, 0 + 3 = 3, да еще 1-ца, удержанная в уме, - всего 4 единицы второго разряда. В третьем разряде получаем 2 + 1 = 3. В четвертом 4 + 2 равно шести, т. е. 5 + 1; пишем 1, а 5, т. е. 1-цу высшего разряда, относим далее влево. Искомая сумма - 11340. ![]() Предоставляем читателю проверить это сложение, предварительно переведя изображенные в кавычках числа в 10-ичную систему и выполнив то же действие. Точно так же выполняются и другие действия. Для упражнения приводим далее ряд примеров, число которых читатель, при желании, может увеличить самостоятельно: Задача № 16 Задача № 17 Задача № 18 ![]() Задача № 19 Задача № 20 Задачи № 21 и № 22 ![]() Ответы: ![]() При выполнении этих действий мы сначала мысленно изображаем написанные числа в привычной нам десятичной системе, а получив результат, снова изображаем его в требуемой недесятичной системе. Но можно поступать и иначе: составить «таблицу сложения» и «таблицу умножения» в тех же системах, в которых даны нам числа, и пользоваться ими непосредственно. Например, таблица сложения в пятиричной системе такова: ![]() С помощью этой таблички мы могли бы сложить числа «4203» и «2132», написанные в пятиричной системе, гораздо менее напрягая внимание, чем при способе, примененном раньше. Упрощается, как легко понять, также выполнение вычитания. Задача № 23 Составим и таблицу умножения («Пифагорову») для пятиричной системы. Решение ![]() Имея эту табличку перед глазами, вы опять-таки можете облегчить себе труд умножения (и деления) чисел в пятиричной системе, - как легко убедиться, применив ее к приведенным выше примерам. Например, при умножении |
![Иллюстрация к книге — Математика для любознательных (сборник) [pic_91.jpg] Иллюстрация к книге — Математика для любознательных (сборник) [pic_91.jpg]](img/book_covers/076/76274/pic_91.jpg)
![Иллюстрация к книге — Математика для любознательных (сборник) [pic_92.jpg] Иллюстрация к книге — Математика для любознательных (сборник) [pic_92.jpg]](img/book_covers/076/76274/pic_92.jpg)
![Иллюстрация к книге — Математика для любознательных (сборник) [pic_93.jpg] Иллюстрация к книге — Математика для любознательных (сборник) [pic_93.jpg]](img/book_covers/076/76274/pic_93.jpg)
![Иллюстрация к книге — Математика для любознательных (сборник) [pic_94.jpg] Иллюстрация к книге — Математика для любознательных (сборник) [pic_94.jpg]](img/book_covers/076/76274/pic_94.jpg)
![Иллюстрация к книге — Математика для любознательных (сборник) [pic_95.jpg] Иллюстрация к книге — Математика для любознательных (сборник) [pic_95.jpg]](img/book_covers/076/76274/pic_95.jpg)
![Иллюстрация к книге — Математика для любознательных (сборник) [pic_96.jpg] Иллюстрация к книге — Математика для любознательных (сборник) [pic_96.jpg]](img/book_covers/076/76274/pic_96.jpg)
![Иллюстрация к книге — Математика для любознательных (сборник) [pic_97.jpg] Иллюстрация к книге — Математика для любознательных (сборник) [pic_97.jpg]](img/book_covers/076/76274/pic_97.jpg)
![Иллюстрация к книге — Математика для любознательных (сборник) [pic_98.jpg] Иллюстрация к книге — Математика для любознательных (сборник) [pic_98.jpg]](img/book_covers/076/76274/pic_98.jpg)