Книга Математика в занимательных рассказах, страница 26 – Яков Перельман

Авторы: А Б В Г Д Е Ж З И Й К Л М Н О П Р С Т У Ф Х Ч Ш Ы Э Ю Я
Книги: А Б В Г Д Е Ж З И Й К Л М Н О П Р С Т У Ф Х Ц Ч Ш Щ Ы Э Ю Я
Бесплатная онлайн библиотека LoveRead.in

Онлайн книга «Математика в занимательных рассказах»

📃 Cтраница 26
Иллюстрация к книге — Математика в занимательных рассказах [i_024.jpg]

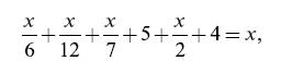
узнаем из его решения (х = 84), что Диофант умер 84 лет, женился 21 года, стал отцом на 38 году и потерял сына на 80 году.

Числовые анекдоты
Барри Пэн [38]
1

— Еще веревочку? — спросила мать, вытаскивая руки из лоханки с бельем. — Можно подумать, что я вся веревочная. Только и слышишь: веревочку да веревочку. Ведь я вчера дала тебе порядочный клубок. На что тебе такая уйма? Куда ты ее девал?

— Куда девал бечевку? — отвечал мальчуган. — Во-первых, половину ты сама же взяла обратно…

— А чем же прикажешь мне обвязывать пакеты с бельем?

— Половину того, что осталось, взял у меня Том, чтобы удить в канаве колюшек, хотя там и нет никаких колюшек.

— Старшему брату ты всегда должен уступать.

— Я и уступил. Осталось совсем немного, да из того еще папа взял половину для починки подтяжек, которые лопнули у него от смеха, когда случилась беда с автомобилем. А после понадобилось еще сестре взять две пятых оставшегося, чтобы завязать свои волосы узлом…

— Что же ты сделал с остальной бечевкой?

— С остальной? Остальной-то было всего-навсего 30 сантиметров. Вот и устраивай телефон из такого обрывка!

Какую же длину имела бечевка первоначально?

2

Снимая наколенники, спортсмен спросил веселого малого, считавшего очки:

— Сколько у меня, Билл?

— А вот сколько: часы только что пробили по одному разу на каждую пару ваших очков, — затараторил веселый малый. — А если бы у вас было вдвое более того, что у вас есть, то имелось бы у вас втрое против того, что пробьют часы при следующем бое.

Спрашивается: который был час в начале этого разговора?

3

В воскресенье был устроен в школе детский праздник под открытым небом. Пора было звать ребят к чаю. У палатки, где предполагалось устроить чаепитие, стоял пирожник и заведующий школой. Пирожник был полный мужчина, потому что, по роду своей профессии, питался главным образом остатками пирожных. Заведующий был высок и тонок.

— Да, — сказал пирожник, — будь у нас еще пяток стульев, я мог бы накормить всю компанию в три очереди, по равному числу ребят в каждой. Надо будет поискать, нельзя ли промыслить здесь пять стульев или табуретов.

— Не беспокойтесь, — ответил заведующий, — я распределю их на четыре очереди, в каждой поровну.

— О, тогда на каждую партию придется еще по три лишних стула.

Сколько было детей и сколько стульев?

4

— Зайдите ко мне завтра днем на чашку чая, — сказал старый доктор своему молодому знакомому.

— Благодарю вас. Я выйду в три часа. Может быть, и вы надумаете прогуляться, так выходите в то же время. Встретимся на полпути.

— Вы забываете, что я старик, шагаю в час всего только 3 километра, а вы, молодой человек, проходите, при самом медленном шаге, 4 километра в час. Не грешно бы дать мне немного вперед.

— Справедливо. Так как я прохожу больше вас на 1 километр в час, то, чтобы уравнять нас, я и дам вам этот километр, т. е. выйду на четверть часа раньше. Достаточно?

— Даже очень мило с вашей стороны, — поспешил согласиться старик.

Молодой человек так и сделал: вышел из дому в три четверти третьего и шел со скоростью 4 километра в час. А доктор вышел ровно в три и делал по

3 километра в час. Когда они встретились, старик повернул обратно и направился домой вместе с молодым другом.

Только за чаем сообразил молодой человек, что с льготной четвертью часа вышло не совсем ладно. Он сказал доктору, что из-за этого ему придется в общем итоге пройти вдвое больше, чем доктору.

— Не вдвое, а вчетверо, — возразил доктор, и был прав. Как далеко от дома доктора до дома его молодого знакомого?

5

Возвратившись из театра, где ставили «Фауста», молодой бакалейщик плотно поужинал и лег спать. Возбуждение и переполненный желудок вызвали у него кошмар.

Приснилось ему, что он стоит за прилавком. На прилавке жестянка с чаем, весы и несколько листов оберточной бумаги. Гирь не было.

«Нечем отвешивать, — подумал бакалейщик. — Если забредет покупатель, придется его как-нибудь сплавить».

В ту же минуту появился Мефистофель в красном плаще, застегнутом огромной пряжкой.

— Отвесьте килограмм чаю! — грозно сказал он.

— Слушаюсь, сию минуту пришлем вам на дом… Славная погода нынче, не правда ли? Тепло не по сезону.

— Нечего зубы заговаривать! — рявкнул Мефистофель. — Отвешивайте!

— Простите великодушно… Удивительное происшествие… никогда раньше не случалось… Все наши гири сейчас только отправлены в поверку.

— Вот оно что, — сказал Мефистофель. — А как чашки ваших весов: обе протекают или хоть одна может удержать воду?

— Правая сделана ковшиком, и в нее можно налить воды граммов триста или даже побольше. Левая — совсем плоская.

— Вот и отлично, — сказал Мефистофель, вынимая из-под плаща бутылочку с водой. — В этой бутылочке (сколько она сама весит, я не знаю) ровно 300 граммов воды. Пряжка моего плаща весит 650 граммов. Берите бутылочку и пряжку и отвесьте мне ровно килограмм чаю. Килограмм чистого веса; бумага не в счет.

— Этого никак невозможно сделать, — начал было бакалейщик.

— Нет, возможно! — крикнул Мефистофель так грозно, что бакалейщик проснулся.

Когда он обдумал свой сон, ему стало ясно, что Мефистофель-то был прав: с 300 граммов воды и пряжкой в 650 граммов совсем нетрудно отвесить в точности 1 килограмм чаю.

Каким образом?

6

Старый Осип явился на базар с арбузами и начал торговать. Арбузы были как на подбор все одинаковы.

Первый покупатель взял несколько арбузов, за которые торговец спросил по 36 копеек за штуку. Второй также купил несколько штук, за которые торговец взял по 32 копейки за штуку. Третьему покупка обошлась по 24 копейки штука.

Постовой милиционер, все время присматривавшийся к коммерческим оборотам торговца, также пожелал выступить в роли покупателя.

Вход
Поиск по сайту
Ищем:
Календарь