Книга Математика в занимательных рассказах, страница 17 – Яков Перельман

Авторы: А Б В Г Д Е Ж З И Й К Л М Н О П Р С Т У Ф Х Ч Ш Ы Э Ю Я
Книги: А Б В Г Д Е Ж З И Й К Л М Н О П Р С Т У Ф Х Ц Ч Ш Щ Ы Э Ю Я
Бесплатная онлайн библиотека LoveRead.in

Онлайн книга «Математика в занимательных рассказах»

📃 Cтраница 17

— О, это уж по моей части! — воскликнула племянница. — Такие тома я могла бы сочинить.

— Ну, в нашей библиотеке будут и твои сочинения, все, что ты когда-либо говорила, и все, что скажешь в будущем.

— Ах, тогда уж лучше не устраивай твоей библиотеки…

— Не бойся: эти сочинения твои появятся не за одной лишь твоей подписью, но и за подписью Гёте и вообще с обозначением всевозможных имен, какие только существуют на свете. А наш друг журналист найдет здесь за своей ответственной подписью статьи, которые нарушают все законы о печати, так что целой жизни не хватит, чтобы за них отсидеть. Здесь будет его книга, в которой после каждого предложения заявляется, что оно ложно, и другая его книга, в которой после тех же самых фраз следует клятвенное подтверждение их истинности.

— Ладно, — воскликнул Буркель со смехом. — Я так и знал, что ты меня подденешь. Нет, я не абонируюсь в библиотеке, где невозможно отличить истину от лжи, подлинное от фальшивого. Миллионы томов, притязающие на правдивое изложение истории Германии в XX веке, будут все противоречить один другому. Нет, благодарю покорно!

— А разве я говорил, что легко будет отыскивать в библиотеке все нужное? Я только утверждал, что можно в точности определить число томов нашей универсальной библиотеки, где наряду со всевозможными нелепостями будет также вся осмысленная литература, какая только может существовать.

— Ну, подсчитай же, наконец, сколько это составит томов, — сказала хозяйка. — Чистый листок бумаги, я вижу, скучает в твоих пальцах.

— Расчет так прост, что его можно выполнить и в уме. Как составляем мы нашу библиотеку? Помещаем сначала однократно каждую из сотни наших литер. Затем присоединяем к каждой из них каждую из ста литер, так что получаем сотню сотен групп из двух букв. Присоединив в третий раз каждую литеру, получаем 100 × 100 × 100 групп из трех знаков, и т. д. А так как мы должны заполнить миллион мест в томе, то будем иметь такое число томов, какое получится, если взять число 100 множителем миллион раз. Но 100 = 10 × 10; поэтому составится то же, что и от произведения двух миллионов десятков. Это, проще говоря, единица с двумя миллионами нулей. Записываю результат так: десять в двухмиллионной степени —

102 000 000

Профессор поднял руку с листком бумаги. [29]

— Да, вы, математики, умеете-таки упрощать свои записи, — сказала хозяйка. — Но напиши-ка это число полностью.

— О, лучше и не начинать; пришлось бы писать день и ночь две недели подряд, без передышки. Если бы его напечатать, оно заняло бы в длину четыре километра.

— Уф! — изумилась племянница. — Как же оно выговаривается?

— Для таких чисел и названий нет. Никакими средствами невозможно сделать его хоть сколько-нибудь наглядным, — настолько это множество огромно, хотя и безусловно конечно. Все, что мы могли бы назвать из области невообразимо больших чисел, исчезающе мало рядом с этим числовым чудовищем.

— А если бы мы выразили его в триллионах? — спросил Буркель.

— Триллион — число внушительное: единица с 18 нулями. Но если ты разделишь на него число наших томов, то от двух миллионов нулей отпадает 18. Останется единица с 1 999 982 нулями, — число столь же непостижимое, как и первое. Впрочем… — профессор сделал на листке бумаги какие-то выкладки.

— Я была права: без письменного вычисления не обойдется, — заметила его жена.

— Оно уже кончено. Могу теперь иллюстрировать наше число. Допустим, что каждый том имеет в толщину 2 сантиметра и все тома расставлены в один ряд. Какой длины, думаете вы, будет этот ряд?

Он с торжеством взирал на молчащих собеседников.

Последовало неожиданное заявление племянницы:

— Я знаю, какую длину займет ряд. Сказать?

— Конечно.

— Вдвое больше сантиметров, чем томов.

— Браво, браво! — подхватили кругом. — Точно и определенно.

— Да, — сказал профессор, — но попытаемся представить это наглядно. Вы знаете, что свет пробегает в секунду 300 000 километров, т. е. в год 10 биллионов километров, или триллион сантиметров. Если, значит, библиотекарь будет мчаться вдоль книжного ряда с быстротой света, то за два года он успеет миновать всего только один триллион томов. А чтобы обозреть таким манером всю библиотеку, понадобилось бы лет дважды единица с 1 999 982 нулями. Вы видите, что даже число лет, необходимое для обозрения библиотеки, столь же трудно себе представить, как и число самих томов. Здесь яснее всего сказывается полная бесполезность всяких попыток наглядно представить себе это число, хотя повторяю, оно и конечно.

Профессор хотел было уже отложить листок, когда Буркель сказал:

— Если собеседницы наши не запротестуют, я позволю себе задать еще только один вопрос. Мне кажется, что для придуманной тобою библиотеки не хватит места в целом мире.

— Это мы сейчас узнаем, — сказал профессор и снова взялся за карандаш. Сделав выкладки, он объявил:

— Если нашу библиотеку сложить так, чтобы каждые 1000 томов заняли один кубический метр, то целую Вселенную, до отдаленнейших туманностей, пришлось бы заполнить такое число раз, которое короче нашего числа томов всего лишь на 60 нулей. [30] Словом, я был прав: никакими средствами невозможно приблизиться к наглядному представлению этого исполинского числа.

Примечания редактора

Примечание 1. Что поражающее вычисление нередко фигурирует в книгах по теории вероятности. Французский математик Э. Борель в своей известной книге «Случай» придает ему следующую форму.

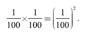
Предположим, что число знаков, употребляемых в письме, считая также знаки препинания и т. п., равняется 100; книга среднего размера содержит менее миллиона типографских знаков. Спрашивается: какова вероятность вынуть целую книгу, выбирая наудачу по одной букве?

Очевидно, вероятность того, чтобы вынутая буква была первой буквой книги, равна 1/100; она также равна 1/100 для того, чтобы вторая вынутая буква была второй буквой книги; а так как эти две вероятности независимы, то вероятность, что случатся оба события, равна

Иллюстрация к книге — Математика в занимательных рассказах [i_008.jpg]

То же самое рассуждение можно повторить и для третьей буквы, для четвертой и т. д. Если их миллион, то вероятность, что случай даст именно их, равна произведению миллиона множителей, из которых каждый равен одной сотой; оно равно

Иллюстрация к книге — Математика в занимательных рассказах [i_009.jpg]
Вход
Поиск по сайту
Ищем:
Календарь