Книга Научные фокусы и загадки, страница 15 – Яков Перельман

Авторы: А Б В Г Д Е Ж З И Й К Л М Н О П Р С Т У Ф Х Ч Ш Ы Э Ю Я
Книги: А Б В Г Д Е Ж З И Й К Л М Н О П Р С Т У Ф Х Ц Ч Ш Щ Ы Э Ю Я
Бесплатная онлайн библиотека LoveRead.in

Онлайн книга «Научные фокусы и загадки»

📃 Cтраница 15

Сколько же волос у двести тысяч первого школьника? Конечно, одно из тех чисел, какое уже насчитывалось у кого-нибудь из первых двухсот тысяч школьников.

98. Сколько стаканов?

Сравнивая первую и третью полку, мы замечаем, что они отличаются друг от друга следующим: на третьей полке один лишний сосуд среднего размера, зато нет трех малых сосудов. А так как общая вместимость сосудов каждой полки одинакова, то, очевидно, вместимость одного среднего сосуда равна вместимости трех малых. Итак, средний сосуд вмещает три стакана.

Теперь остается определить вместимость большого сосуда. Заменив на первой полке средние сосуды соответствующим числом стаканов, мы получаем один большой сосуд и двенадцать стаканов. Сравнив это со второй полкой, соображаем, что один большой сосуд вмещает шесть стаканов.

99. Сколько квадратов
Иллюстрация к книге — Научные фокусы и загадки [i_093.jpg]

Значит, фигура заключает 55 различно расположенных квадратов пяти различных размеров.

100. Квадратный метр

В тот же день Алеша убедиться в этом никак не мог. Даже если бы он считал круглые сутки беспрерывно, то и тогда насчитал бы в одни сутки только 86 400 клеточек. Ведь в 24 часах всего 86 400 секунд. Ему надо было бы считать без перерывов более десяти дней, а по восемь часов в сутки — целый месяц, чтобы досчитать до миллиона.

101. Как поделить яблоки?

Яблоки были разделены таким образом. Три яблока разрезаны были каждое пополам; получилось шесть половинок, которые и роздали ребятам. Остальные два яблока разрезали каждое на три равные доли; получилось шесть третьих долей, которые тоже роздали ребятам. Каждому мальчику было дано, значит, по одной половине и по одной третьей доли яблока, т. е. все получили поровну.

Как видите, ни одно яблоко не было разрезано больше, чем на три равные части.

102. Бочки меду

Задача решается довольно легко, если сообразить, что в 21 купленной бочке было меду 7 + З1/2, т. е. 101/2 бочки. Значит, каждый магазин должен получить 81/2 бочки меду и 7 бочек тары. Выполнить дележ можно двояко. По одному способу магазины получают:

Иллюстрация к книге — Научные фокусы и загадки [i_094.jpg]

По другому способу магазины получают:

Иллюстрация к книге — Научные фокусы и загадки [i_095.jpg]
103. Почтовые марки

Эта задача имеет только одно решение.

Гражданин купил:


50-копеечных марок……1 штуку

10-копеечных марок……..39 штук

1-копеечных»……..60»


Действительно:


всех марок 1 + 39 + 60 = 100 штук.


А стоят они:


50 + 390 + 60 = 500 копеек.

104. Как уплачено?

Задача имеет четыре решения. Вот они:

Иллюстрация к книге — Научные фокусы и загадки [i_096.jpg]
105. Мишины котята

Нетрудно понять, что 3/4 котенка есть четвертая доля всех котят. Значит, всех котят было вчетверо больше, чем 3/4, т. е. три. Действительно, 3/4 от трех составляет 21/4, и остается 3/4 котенка.

106. Продажа яиц

Очевидно, крестьянка принесла на базар нечетное количество яиц: тогда половина всех яиц состояла из нецелого числа, а прибавка 1/2 яйца превращала число в целое. Что же это было за число? Начнем с конца. После того как вторая покупательница взяла половину оставшихся яиц и еще половину яйца, у крестьянки оказалось только одно яйцо. Значит, одно яйцо и еще 1/2 яйца составляют вторую половину того, что осталось после первой покупательницы. Отсюда узнаем, что после первой покупательницы осталось 11/2 + 11/2, т. е. 3 яйца. Прибавив 1/2 яйца, получаем половину всего числа яиц, бывших у крестьянки. Итак, крестьянка принесла на базар З1/2 + З1/2 = 7 яиц.

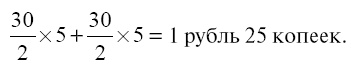
107. В чем обман

Прохожий подсчитал выручку неверно. Он принимал, что первая крестьянка продала столько же пар яиц, сколько вторая — троек: тогда средняя цена действительно была бы 10 копеек за пять штук, или две копейки штука. Но на самом деле первая продала 15 пар, вторая же — всего 10 троек. Дорогих яиц продано было больше, чем дешевых, и средняя цена была выше двух копеек за штуку. Истинная выручка равна:

Иллюстрация к книге — Научные фокусы и загадки [i_097.jpg]
108. Бой часов

Если часы делают в три секунды три удара, т. е. если два промежутка между ударами длятся три секунды, то продолжительность одного промежутка — 1/2 секунды. При семи ударах имеется шесть промежутков. Считая по 1/2 секунды на каждый промежуток, имеем, что семь ударов часы должны делать за 6 × 11/2 = 9 секунд.

109. Кошки

Соображаем:

четыре кошки и три котенка весят 15 килограммов,

три кошки и четыре котенка весят 13 килограммов.

Значит, семь кошек и семь котят весят 28 килограммов. Отсюда узнаем вес одной взрослой кошки вместе с одним котенком — 4 килограмма. Теперь узнаем, сколько весят 4 кошки и четыре котенка: умножив четыре килограмма на четыре, получаем 16 килограммов.

Сопоставляем:

четыре кошки и три котенка весят 15 килограммов,

четыре кошки и четыре котенка весят 16 килограммов.

Ясно, что котенок весит 1 килограмм, а вес взрослой кошки — 3 килограмма.

Отгадывание
111. В какой руке?

Возьмите в одну руку монету в два рубля, в другую — в пять рублей. Не показывайте и не говорите мне, в какой руке какая монета. Я отгадаю это сам, если вы проделаете следующее: утройте то, что в правой, удвойте то, что в левой, сложите оба полученных числа и скажите мне только, какой получился результат, четный или нечетный.

Вход
Поиск по сайту
Ищем:
Календарь