Книга Статистика и котики, страница 2 – Владимир Савельев

Авторы: А Б В Г Д Е Ж З И Й К Л М Н О П Р С Т У Ф Х Ч Ш Ы Э Ю Я
Книги: А Б В Г Д Е Ж З И Й К Л М Н О П Р С Т У Ф Х Ц Ч Ш Щ Ы Э Ю Я
Бесплатная онлайн библиотека LoveRead.in

Онлайн книга «Статистика и котики»

📃 Cтраница 2

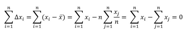
Логично было бы предположить, что чем больше у нас будет котиков с сильным отклонением, тем более разнообразными будут наши котики по размеру. И, чтобы понять, какое отклонение является для наших котиков наиболее типичным, мы можем просто найти среднее значение по этим отклонениям (т. е. сложить все отклонения и поделить их на количество котиков).

Иллюстрация к книге — Статистика и котики [image9_580a0e2c3c2f89bf3b452b8e_jpg.jpg]

Однако если мы это сделаем, то получим 0. Для недоверчивых привожу доказательство:

Иллюстрация к книге — Статистика и котики [image10_580a0e2a3c2f89bf3b452b8b_jpg.jpg]

Это происходит, поскольку одни отклонения являются положительными (когда Барсик больше среднего), а другие — отрицательными (когда Барсик меньше среднего). Поэтому необходимо избавиться от знака. Сделать это можно двумя способами: либо взять модуль от отклонений, либо возвести их в квадрат, который, как мы помним, всегда положителен. Последнее применяется чаще.

Иллюстрация к книге — Статистика и котики [image11_580a0e263c2f89bf3b452b88_jpg.jpg]

И, если мы найдем среднее от квадратов отклонений, мы получим то, что называется дисперсией. Однако, к большому сожалению, квадрат в этой формуле делает дисперсию очень неудобной для оценки разнообразия котиков: если мы измеряли размер в сантиметрах, то дисперсия имеет размерность в квадратных сантиметрах. Поэтому для удобства использования дисперсию берут под корень, получая по итогу показатель, называемый среднеквадратическим отклонением.

Иллюстрация к книге — Статистика и котики [image12_580a0e223c2f89bf3b452b85_jpg.jpg]

К несчастью, дисперсия и среднеквадратическое отклонение так же неустойчивы к выбросам, как и среднее арифметическое.

Среднее значение и среднеквадратическое отклонение очень часто совместно используются для описания той или иной группы котиков. Дело в том, что, как правило, большинство (а именно около 68%) котиков находится в пределе одного среднеквадратического отклонения от среднего. Эти котики обладают так называемым нормальным размером. Оставшиеся 32% либо очень большие, либо очень маленькие. В целом же для большинства котиковых признаков картина выглядит вот так.

Иллюстрация к книге — Статистика и котики [image13_580a0e1d3c2f89bf3b452b82_jpg.jpg]

Такой график называется нормальным распределением признака.

Таким образом, зная всего два показателя, вы можете с достаточной долей уверенности сказать, как выглядит типичный котик, насколько разнообразными являются котики в целом и в каком диапазоне лежит норма по тому или иному признаку.


НЕМАЛОВАЖНО ЗНАТЬ!

Выборка, генеральная совокупность и два вида дисперсии


Чаще всего нас, как исследователей, интересуют все котики без исключения. Статистики называют этих котиков генеральной совокупностью. Однако на практике мы не можем замерить всю генеральную совокупность — как правило, мы работаем только с небольшим количеством котиков, называемым выборкой.

Иллюстрация к книге — Статистика и котики [image14_580a0e193c2f89bf3b452b7f_jpg.jpg]

Очень важно, чтобы выборка была максимально похожа на генеральную совокупность. Степень такой похожести называется репрезентативностью.

Необходимо запомнить, что существует две формулы дисперсии: одна для генеральной совокупности, другая — для выборки. В знаменателе первой всегда стоит точное количество котиков, а у второй — ровно на одного котика меньше.

Иллюстрация к книге — Статистика и котики [image15_580a0e103c2f89bf3b452b7c_jpg.jpg]

Корень из дисперсии генеральной совокупности, как уже было сказано, называется среднеквадратическим отклонением. А вот корень из дисперсии по выборке называется стандартным отклонением.

Однако не будет большой ошибкой, если вы будете пользоваться терминами стандартное отклонение генеральной совокупности и стандартное отклонение выборки. Чаще всего именно последнее и рассчитывается для реальных исследований.

Глава 2.
Картинки с котиками
или средства визуализации данных

В предыдущей главе мы говорили про показатели, которые помогают определить, какой размер является для котиков типичным и насколько он бывает разнообразным. Но когда нам требуется получить более полные и зрительно осязаемые представления о котиках, мы можем прибегнуть к так называемым средствам визуализации данных.

Первая группа средств показывает, сколько котиков обладает тем или иным размером. Для их использования необходимо предварительно построить так называемые таблицы частот. В этих таблицах есть два столбика: в первом указывается размер (или любое другое котиковое свойство), а во втором — количество котиков при данном размере.

Иллюстрация к книге — Статистика и котики [image16_580a0e0bdb36b7c9059fd40f_jpg.jpg]

Это количество, кстати, и называется частотой. Эти частоты бывают абсолютными (в котиках) и относительными (в процентах).

С таблицами частот можно делать много интересных вещей. Например, построить столбиковую диаграмму. Для этого мы откладываем две перпендикулярных линии: горизонтальная будет обозначать размер, а вертикальная — частоту. А затем — рисуем столбики, высота которых будет соответствовать количеству котиков того или иного размера.

Иллюстрация к книге — Статистика и котики [image17_580a0e3ddb36b7c9059fd430_jpg.jpg]

А еще мы можем вместо столбиков нарисовать точки и соединить их линиями. Результат называется полигоном распределения. Он довольно удобен, если котиковых размеров действительно много.

Иллюстрация к книге — Статистика и котики [image18_580a0e3adb36b7c9059fd42d_jpg.jpg]

Наконец, мы можем построить круговую диаграмму. Величина каждого сектора такой диаграммы будет соответствовать проценту котиков определенного размера.

Иллюстрация к книге — Статистика и котики [image19_580a0e36db36b7c9059fd42a_jpg.jpg]
Вход
Поиск по сайту
Ищем:
Календарь