Книга Величайшие математические задачи, страница 36 – Йен Стюарт

Авторы: А Б В Г Д Е Ж З И Й К Л М Н О П Р С Т У Ф Х Ч Ш Ы Э Ю Я
Книги: А Б В Г Д Е Ж З И Й К Л М Н О П Р С Т У Ф Х Ц Ч Ш Щ Ы Э Ю Я
Бесплатная онлайн библиотека LoveRead.in

Онлайн книга «Величайшие математические задачи»

📃 Cтраница 36

Гипотеза Морделла относится к крупному отделу теории чисел — к диофантовым уравнениям. Они названы так в честь Диофанта Александрийского, написавшего где-то около 250 г. н. э. знаменитую книгу «Арифметика». Считается, что первоначально она включала в себя 13 книг, но до нас дошли лишь шесть, и все в позднейших копиях. Это не был арифметический текст в буквальном смысле, т. е. речь в нем не шла о сложении и умножении. По существу, это был первый текст по алгебре, в котором были собраны почти все познания греков о том, как нужно решать уравнения. В нем использовалась даже некая рудиментарная форма алгебраического языка: судя по всему, для обозначения неизвестного в ней использовался вариант ς греческой буквы «сигма» (мы для этого используем x), для квадрата неизвестного (вместо нашего x2) — ΔΥ, а для куба неизвестного (вместо нашего x3) — ΚΥ. Сложение обозначалось тем, что символы помещались рядом друг с другом, а вычитание имело собственный символ. Величина, обратная неизвестному (наше 1/x), выглядела как ςχ и т. д. Эти обозначения восстановлены на основании позднейших копий и переводов и могут быть не вполне точными. Классическая греческая математика требовала, чтобы решения уравнений были рациональными числами, т. е. дробями вроде 22/7, сформированными из целых чисел. Часто требовалось даже, чтобы они сами были целыми числами. Все задействованные числа были положительными: представление об отрицательных числах появилось несколькими столетиями позже в Китае и Индии. Сегодня мы называем подобные задачи диофантовыми уравнениями. В «Арифметике» можно обнаружить замечательно глубокие результаты. В частности, Диофант, судя по всему, знал, что любое целое число может быть представлено в виде суммы четырех полных квадратов целых чисел (включая нуль). Лагранж впервые доказал это в 1770 г. Но нас в данном случае интересует другой результат — формула для пифагоровых троек, в которых сумма двух полных квадратов дает третий полный квадрат. Название происходит от теоремы Пифагора: именно таким соотношением связаны стороны прямоугольного треугольника. Самый известный пример — знаменитый треугольник 3, 4, 5: (3² + 4² = 5²). Еще один пример — треугольник 5, 12, 13: (5² + 12² = 13²). Рецепт поиска пифагоровых троек сформулирован в виде двух лемм (вспомогательных утверждений), помещенных перед Предложениями 29 и 30 в Книге X «Начал» Евклида.

Приведенная у Евклида процедура позволяет получить бесконечно много пифагоровых троек. Морделл знал несколько других диофантовых уравнений, для которых существует формула с бесконечным числом решений. Он знал также, что существует другой тип диофантовых уравнений, имеющих бесконечно много решений, которые не описываются формулой. Существуют так называемые эллиптические кривые — достаточно глупое название, поскольку они не имеют практически никакого отношения к эллипсам, — где бесконечность числа решений возникает потому, что любые два решения можно скомбинировать так, чтобы получилось еще одно. Сам Морделл доказал одно из фундаментальных свойств таких уравнений: все бесконечное множество решений может быть получено при помощи этого процесса из конечного их числа.

Помимо этих двух известных типов уравнений, все остальные диофантовы уравнения, которые мог придумать Морделл, попадали в одну из двух категорий. Либо про уравнение было известно, что число его решений конечно (или их просто нет), либо никто не мог сказать наверняка, является ли число его решений конечным или бесконечным. В сущности, ничего нового в этом не было, но Морделлу показалось, что он видит в этом закономерность, которую до него никто не замечал. Закономерность эта относилась вовсе не к теории чисел — скорее, ее можно было отнести к топологии. Чтобы разобраться в этом, необходимо было рассматривать решения уравнений в комплексных числах, а не в рациональных или целых. А это, что ни говори, противоречило самому духу диофантовых уравнений.


Здесь стоит добавить несколько деталей, которые пригодятся нам позже. Не бойтесь формул: они нужны мне в основном для того, чтобы можно было ссылаться на что-то конкретное. Сосредоточьтесь на рассказе, который лежит за ними.

x² + y² = z².

Разделив обе части уравнения на z², получим

(x/z)² + (y/z)² = 1.

Согласно главе 3, это означает, что пара рациональных чисел (x/z, y/z) лежит на единичной окружности в плоскости. Далее пифагорово уравнение берет начало в геометрии и имеет геометрическую интерпретацию: связанный с ним треугольник является прямоугольным. Формула, которую я только что вывел, позволяет дать чуть другую геометрическую интерпретацию, причем не одной, а всех пифагоровых троек. Решения пифагорова уравнения непосредственно соответствуют всем рациональным точкам единичной окружности. Мы считаем точку рациональной, если рациональны обе ее координаты.

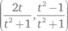
Из этого можно сделать немало интересных выводов. Если привлечь тригонометрию (но можно обойтись и одной алгеброй), обнаружится, что для любого числа t точка

Иллюстрация к книге — Величайшие математические задачи [i_031.jpg]

лежит на единичной окружности. Более того, если t рационально, то рациональна и эта точка. Все рациональные точки возникают подобным образом, так что мы получили исчерпывающую формулу для всех решений пифагорова уравнения. Она эквивалентна евклидовой формуле, которая, в свою очередь, совпадает с диофантовой. К примеру, если t = 22/7, формула даст результат

Иллюстрация к книге — Величайшие математические задачи [i_032.jpg]

Можно проверить: 308² + 435² = 533². Для нас точная формула не слишком важна, важно, что она существует.

Это не единственное диофантово уравнение, для всех решений которого существует единая формула, но таких уравнений относительно немного. Например уравнения Пелля, такие как x² = 2y² + 1. У этого уравнения бесконечно много решений (3² = 2 × 2² + 1, 17² = 2 × 12² + 1) и для них существует общая формула. Однако упорядоченность пифагоровых троек этим не ограничивается; геометрия подсказывает нам и другие закономерности. Предположим, мы имеем две пифагоровы тройки. Следственно, существует два соответствующих им решения пифагорова уравнения — две рациональные точки на окружности. Геометрия предлагает естественный способ «сложить» эти точки. Начнем с точки (1, 0), в которой окружность пересекает горизонтальную ось, и найдем углы между этой точкой и двумя точками-решениями. Сложим эти два угла (см. рис. 25) и посмотрим, что получится. Точка, разумеется, тоже лежит на окружности, и короткий расчет покажет, что она также рациональна. Таким образом, имея два любых решения, мы можем получить третье. Математики уже заметили множество подобных фактов, причем большинство из них обретает смысл сразу же, как только мы вспоминаем о рациональных точках на окружности.

Вход
Поиск по сайту
Ищем:
Календарь