Книга Простая одержимость. Бернхард Риман и величайшая нерешенная проблема в математике, страница 78 – Джон Дербишир

Авторы: А Б В Г Д Е Ж З И Й К Л М Н О П Р С Т У Ф Х Ч Ш Ы Э Ю Я
Книги: А Б В Г Д Е Ж З И Й К Л М Н О П Р С Т У Ф Х Ц Ч Ш Щ Ы Э Ю Я
Бесплатная онлайн библиотека LoveRead.in

Онлайн книга «Простая одержимость. Бернхард Риман и величайшая нерешенная проблема в математике»

📃 Cтраница 78

Заметим, однако, что, делая эту подстановку, мы слегка ослабили результат фон Коха. Из того, что «остаточный член есть Ο(√x∙ln x)», следует, что «остаточный член есть Ο(x1/2+ε)», но обратное неверно. Эти два утверждения не являются точно эквивалентными. Такое происходит, потому что, как мы видели в главе 5.iv, не только ln x растет медленнее, чем любая степень x, но (ln x)N обладает тем же свойством при любом положительном N. Так что если бы результат фон Коха утверждал, что остаточный член есть Ο(√x∙(ln x)100), то мы все равно в качестве альтернативного вида вывели бы Ο(x1/2+ε)!

Однако запись результата фон Коха в этом слегка ослабленном виде Ο(x1/2+ε) хороша тем, что наводит на размышления. Риман был почти прав в том же смысле, в каком логарифмическая функция есть почти x0; порядок величины есть не х1/2, а x1/2+ε. Если учесть, какие средства имелись у него в наличии, каким было общее состояние знания в данной области и какие численные данные были доступны в то время, то риманово x1/2 все равно должно считаться прозрением потрясающей глубины. [136]

Вводя Ο большое, я начал с истории, так что сейчас, прощаясь с ним, расскажу еще одну. Суть ее в том, что математики, как и другие специалисты, иногда любят напустить туману, чтобы отпугнуть и смутить профанов.

На конференции в Курантовском институте летом 2002 года (см. главу 22) я разговаривал по поводу своей книги с Питером Сарнаком. Питер — профессор математики в Принстонском университете и специалист по теории чисел. Я упомянул, что пытаюсь придумать, как объяснить Ο большое тем читателям, кто с ним незнаком. «О, — сказал Питер, — вам надо бы поговорить с моим коллегой Ником (т.е. Николасом Кацем — он тоже профессор в Принстоне, но занимается в основном алгебраической геометрией). Ник ненавидит Ο большое. Никогда его не использует». Я это проглотил, но взял на заметку, рассчитывая, что смогу придумать, как это использовать в книге. В тот же вечер мне случилось разговаривать с Эндрю Уайлсом, который очень хорошо знает и Сарнака, и Каца. Я упомянул нелюбовь Каца к Ο большому. «Чепуха, — сказал Уайлс, — они просто над вами потешаются. Да Ник все время его использует». И будьте уверены, Кац использовал его в лекции на следующий же день. Своеобразное чувство юмора у математиков.


IV.

Оставим Ο большое. Теперь перед нами функция Мебиуса. Есть несколько способов ввести функцию Мебиуса. Подойдем к ней со стороны Золотого Ключа.

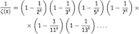
Возьмем Золотой Ключ и перевернем его вверх ногами, т.е. возьмем обратную величину к каждой стороне равенства в выражении (7.2). Очевидно, если A = B и при этом ни A, ни B не равны нулю, то 1/A = 1/B. Получаем (15.1)

Иллюстрация к книге — Простая одержимость. Бернхард Риман и величайшая нерешенная проблема в математике [i_108.jpg]

Теперь раскроем скобки в правой части. На первый взгляд, это сильно сказано: как-никак, сомножителей в скобках бесконечно много. На самом деле процедура требует несколько большего внимания и обоснования, чем мы можем здесь ей уделить, но в конце концов мы получим полезный и верный результат, так что в данном случае цель оправдывает средства.

Раскрытие скобок все мы изучали в курсе элементарной алгебры. Чтобы перемножить (а + b)(p + q), сначала умножаем a на (p + q), что дает ар + aq. Затем умножаем b на (p + q), что дает bp + bq. А потом, поскольку в скобках у нас a плюс b, мы складываем вместе то, что получилось, и окончательный ответ имеет вид ap + aq + bp + bq. Если надо перемножить три скобки (а + b)(p + q)(u + v), то повторение этих действий дает apu +aqu + bpu + bqu + apv + aqv + bpv + bqv. Перемножение четырех скобок (а + b)(p + q)(u + v)(x + у) дает

apux + aqux + bpux + bqux + apvx + aqvx + bpvx + bqvx + apuy + aquy + bpuy + bquy + apvy + aqvy + bpvy + bqvy. (15.2)

Грандиозность того, что получается, начинает внушать некоторые опасения. А ведь нам предстоит перемножить бесконечное число скобок! Фокус состоит в том, чтобы посмотреть на это дело глазами математика. Из чего составлено выражение (15.2)? Ну, это сумма некоторого числа членов. Как эти члены выглядят? Выберем наугад какой-нибудь один из них, скажем aqvy. Сюда входит a из первой скобки, q из второй, v из третьей и y из четвертой. Это произведение, составленное из чисел, выбранных по одному из каждой скобки. И все выражение целиком получается в результате всех возможных комбинаций того, как мы выбираем эти числа из скобок.

Как только вы смогли это увидеть, перемножение бесконечного числа скобок больше не проблема. В ответе будет сумма — разумеется, бесконечная — членов, каждый из которых получен путем выбора одного числа из каждой скобки и перемножения всего, что выбрали. Если сложить результаты всех таких возможных выборов, то и получится ответ. Однако в том виде, как эта процедура описана, она все еще выглядит несколько устрашающей. Согласно сказанному, каждый член в нашей бесконечной сумме есть бесконечное произведение. Да, так оно и есть, но, поскольку каждая скобка в правой части выражения (15.1) содержит 1, наша жизнь делается приятнее за счет того, что мы будем выбирать бесконечное число единиц и лишь конечное число не-единиц. В конце концов, поскольку каждый не-единичный член в каждой скобке есть число между −1/2 и 0, перемножение бесконечно большого числа таких членов дает результат, величина которого (я имею в виду — без учета знака) заведомо не больше, чем (1/2), а это равно нулю! Теперь смотрите, как я построю бесконечную сумму.

Вход
Поиск по сайту
Ищем:
Календарь