Онлайн книга «Простая одержимость. Бернхард Риман и величайшая нерешенная проблема в математике»
|
Несчастный Риман должен был быть совершенно опустошен. Он набросился на работу и в 1857 году написал основополагающую статью о теории функций, упоминавшуюся в главе 1, — статью, принесшую ему известность. Но напряженная работа в соединении с горем повлекла за собой нервный срыв. У Дедекиндов был летний домик в горах Гарц в нескольких милях к западу от Геттингена. [74] Дедекинд смог уговорить Римана провести там несколько недель; он сам ненадолго приезжал туда и ходил с Риманом на прогулки. В ноябре, после возвращения Римана в Геттинген, его назначили доцентом в университете со скромным жалованьем в 300 талеров в год. Но беда не приходит одна. Его брат Вильгельм в тот же месяц скончался в Бремене, а затем, в начале следующего года, умерла его сестра Мария. Семья, которую Риман боготворил и в которой сосредотачивалась вся его эмоциональная жизнь, исчезала у него на глазах. Он перевез двух оставшихся сестер к себе в Геттинген. Летом 1858 года во время лекции в Швейцарии у Дирихле случился сердечный приступ, и в Геттинген его перевезли с немалым трудом. Пока он лежал тяжелобольным, его жена скоропостижно умерла от удара. Дирихле воссоединился с ней в мае следующего года. (Его мозг составил компанию мозгу Гаусса на факультете физиологии.) Должность Гаусса теперь освободилась. VIII. От смерти Гаусса до смерти Дирихле прошло четыре года, два месяца и двенадцать дней. За этот отрезок времени Риман потерял не только двух коллег, которых он ценил более всех других математиков, но и отца, брата, двух сестер и жилище викария в Квикборне — то единственное место на земле, которое было ему домом и прибежищем с самого детства. В то самое время, как эмоциональная жизнь Римана омрачалась одним ударом за другим, его звезда на математическом небосклоне восходила. К концу 1850-х годов блеск и оригинальность его работ стали известны математикам почти по всей Европе. Болезненно застенчивый молодой студент, лишь за десять лет до того приехавший в университет, чтобы начать работу над своей диссертацией, теперь стал заметным математиком, и о Геттингенском университете, который в начале 1850-х годов слыл прежде всего университетом Гаусса, начали говорить как об университете Гаусса, Дирихле и Римана. (Но не Дедекинда, которому еще предстояло создать свои лучшие работы. Дедекинд, кстати, уехал из Геттингена, получив должность в Цюрихе, осенью 1858 года.) Не слишком неожиданным поэтому был выбор руководства университета в пользу Римана как второго преемника Гаусса. 30 июля 1859 года он получил должность ординарного профессора, что означало обеспеченное существование, и — видимо, как признание за ним необходимости содержания двух оставшихся в живых сестер — апартаменты Гаусса в обсерватории. Скоро последовали и другие знаки отличия. Первый — 11 августа, когда он был произведен в члены-корреспонденты Берлинской академии наук. Риман вернулся в Берлин спустя немногим более 10 лет после того, как уехал оттуда, но вернулся со скромной коллекцией венков на своем челе и был встречен с почетом теми, чьи имена составляли славу немецкой математики: Куммером, Кронеккером, Вейерштрассом, Борхардом. Венцом триумфа Римана стало представление им на суд академии своей работы «О числе простых чисел, не превышающих данной величины». В ее первой фразе он благодарит двух людей, к этому моменту уже покойных, помощь которых (хотя и предоставившаяся намного более охотно со стороны Дирихле, чем со стороны Гаусса) позволила ему покорить высоты. Во второй фразе он демонстрирует Золотой Ключ. В третьей присваивает имя дзета-функции. Первые три предложения работы Римана 1859 года в действительности таковы: За внимание, которое Академия выказала в мой адрес, приняв меня в качестве одного из своих членов-корреспондентов, более всего, как мне представляется, я мог бы высказать благодарность, незамедлительно воспользовавшись таким образом полученными мною привилегиями представить сообщение об исследовании частоты появления простых чисел; несмотря на длительный интерес к этому предмету со стороны и Гаусса, и Дирихле, сообщение по этому поводу представляется не лишенным некоторого интереса. В качестве отправной точки моего исследования я исхожу из наблюдения Эйлера о выражении произведения ![]() где p — все простые, a n — все целые числа. Функцию комплексной переменной s, которая задается каждым из этих выражений, коль скоро они сходятся, я обозначу как ζ(s). Гипотеза Римана, появляющаяся на четвертой странице той работы, утверждает некий факт о дзета-функции. Чтобы продвинуться в понимании Гипотезы, нам предстоит теперь более серьезно углубиться в устройство дзета-функции. Глава 9. Расширение области определения
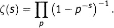
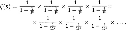
I. Итак, мы начинаем приближаться к Гипотезе Римана. Просто чтобы освежить память, сформулируем ее еще раз: Гипотеза Римана Все нетривиальные нули дзета-функции имеют вещественную часть, равную одной второй. И мы уже знаем, что такое дзета-функция! Если s — некоторое число, большее единицы, то дзета-функция определяется таким выражением (9.1): ![]() или же, несколько более изысканным образом, ![]() где слагаемые бесконечного ряда отвечают всем положительным целым числам. Мы видели, что если к этой сумме применить процедуру, напоминающую решето Эратосфена, то ее можно переписать как ![]() то есть ![]() где множители в бесконечном произведении отвечают всем простым числам. |
![Иллюстрация к книге — Простая одержимость. Бернхард Риман и величайшая нерешенная проблема в математике [i_065.jpg] Иллюстрация к книге — Простая одержимость. Бернхард Риман и величайшая нерешенная проблема в математике [i_065.jpg]](img/book_covers/076/76259/i_065.jpg)
![Иллюстрация к книге — Простая одержимость. Бернхард Риман и величайшая нерешенная проблема в математике [i_035.jpg] Иллюстрация к книге — Простая одержимость. Бернхард Риман и величайшая нерешенная проблема в математике [i_035.jpg]](img/book_covers/076/76259/i_035.jpg)
![Иллюстрация к книге — Простая одержимость. Бернхард Риман и величайшая нерешенная проблема в математике [i_030.jpg] Иллюстрация к книге — Простая одержимость. Бернхард Риман и величайшая нерешенная проблема в математике [i_030.jpg]](img/book_covers/076/76259/i_030.jpg)
![Иллюстрация к книге — Простая одержимость. Бернхард Риман и величайшая нерешенная проблема в математике [i_049.jpg] Иллюстрация к книге — Простая одержимость. Бернхард Риман и величайшая нерешенная проблема в математике [i_049.jpg]](img/book_covers/076/76259/i_049.jpg)
![Иллюстрация к книге — Простая одержимость. Бернхард Риман и величайшая нерешенная проблема в математике [i_050.jpg] Иллюстрация к книге — Простая одержимость. Бернхард Риман и величайшая нерешенная проблема в математике [i_050.jpg]](img/book_covers/076/76259/i_050.jpg)