Онлайн книга «Простая одержимость. Бернхард Риман и величайшая нерешенная проблема в математике»
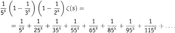
![]() Из бесконечной суммы исчезли все члены, содержащие числа, кратные тройке! Первое выжившее число — это теперь 5. Умножив теперь обе части полученной формулы на
![]() А теперь, вычитая это равенство из предыдущего и рассматривая на этот раз
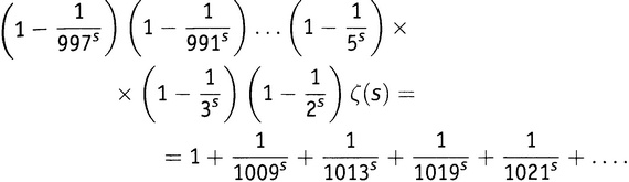
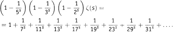
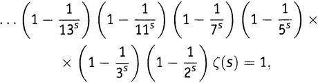
![]() Все слагаемые с числами, кратными 5, исчезли при вычитании, и первое выжившее число в правой части — это 7. Замечаете сходство с решетом Эратосфена? Но вы должны заметить и отличие. При работе с исходным решетом мы оставляли сами простые числа в неприкосновенности, удаляя только их кратные — числа, полученные из них умножением на 2, 3, 4, …. Здесь же при вычитании мы устраняем из правой части как само простое число, так и все его кратные. Если продолжать описанную процедуру до достаточно большого простого числа, скажем, до 997, мы получим ![]() Теперь заметим, что если s — любое число, большее единицы, то правая часть этой формулы совсем ненамного больше чем просто 1. Например, при s = 3 правая часть этой формулы равна 1,00000006731036081534… Поэтому выглядит довольно правдоподобным предположение, что если продолжать указанный процесс до бесконечности, то для любого числа s большего 1 получится следующий результат (7.1): ![]() где в левой части содержится ровно одно выражение в скобках для каждого простого числа, причем эти скобки продолжаются налево без конца. Теперь поделим обе части полученного выражения последовательно на каждую из этих скобок (7.2): ![]() IV. Это — Золотой Ключ. Чтобы он предстал перед нами во всей красе, давайте немного его почистим. Дроби с дробными знаменателями нравятся мне ничуть не больше, чем вам, а кроме того, есть еще полезные математические приемы, которые позволят нам сэкономить на наборе формул. Прежде всего вспомним 5-е правило действий со степенями: оно говорит, что a−N есть 1/aN и a−1 есть 1/a. Поэтому выражение (7.2) можно записать поаккуратнее: ζ(s) = (1 − 2−s)−1×(1 − 3−s)−1×(1 − 5−s)−1×(1 − 7−s)−1×(1 − 11−s)−1×….
Есть даже еще лучший способ. Вспомним про обозначение ∑, введенное в главе 5.viii. Когда мы складываем компанию слагаемых единообразной структуры, их сумму можно записать коротко, используя знак ∑; у этого имеется эквивалент для умножения, когда сомножители имеют единообразную структуру: тогда используется знак ∏. Это заглавная греческая буква «пи», используемая в этом качестве из-за слова «product» (произведение). Используя знак ∏, выражение (7.2) можно переписать таким образом: ![]() Читается это так: «Дзета от s равна взятому по всем простым числам произведению от величины, обратной единице минус p в степени минус s». Подразумевается, что маленькое p под знаком ∏ означает «по всем простым». [55] Вспоминая определение функции ζ(s) в виде бесконечной суммы, можно подставить эту сумму в левую часть и получить Золотой Ключ (7.3): |
![Иллюстрация к книге — Простая одержимость. Бернхард Риман и величайшая нерешенная проблема в математике [i_042.jpg] Иллюстрация к книге — Простая одержимость. Бернхард Риман и величайшая нерешенная проблема в математике [i_042.jpg]](img/book_covers/076/76259/i_042.jpg)
![Иллюстрация к книге — Простая одержимость. Бернхард Риман и величайшая нерешенная проблема в математике [i_043.jpg] Иллюстрация к книге — Простая одержимость. Бернхард Риман и величайшая нерешенная проблема в математике [i_043.jpg]](img/book_covers/076/76259/i_043.jpg)
![Иллюстрация к книге — Простая одержимость. Бернхард Риман и величайшая нерешенная проблема в математике [i_044.jpg] Иллюстрация к книге — Простая одержимость. Бернхард Риман и величайшая нерешенная проблема в математике [i_044.jpg]](img/book_covers/076/76259/i_044.jpg)
![Иллюстрация к книге — Простая одержимость. Бернхард Риман и величайшая нерешенная проблема в математике [i_045.jpg] Иллюстрация к книге — Простая одержимость. Бернхард Риман и величайшая нерешенная проблема в математике [i_045.jpg]](img/book_covers/076/76259/i_045.jpg)
![Иллюстрация к книге — Простая одержимость. Бернхард Риман и величайшая нерешенная проблема в математике [i_046.jpg] Иллюстрация к книге — Простая одержимость. Бернхард Риман и величайшая нерешенная проблема в математике [i_046.jpg]](img/book_covers/076/76259/i_046.jpg)
![Иллюстрация к книге — Простая одержимость. Бернхард Риман и величайшая нерешенная проблема в математике [i_047.jpg] Иллюстрация к книге — Простая одержимость. Бернхард Риман и величайшая нерешенная проблема в математике [i_047.jpg]](img/book_covers/076/76259/i_047.jpg)
![Иллюстрация к книге — Простая одержимость. Бернхард Риман и величайшая нерешенная проблема в математике [i_048.jpg] Иллюстрация к книге — Простая одержимость. Бернхард Риман и величайшая нерешенная проблема в математике [i_048.jpg]](img/book_covers/076/76259/i_048.jpg)
![Иллюстрация к книге — Простая одержимость. Бернхард Риман и величайшая нерешенная проблема в математике [i_049.jpg] Иллюстрация к книге — Простая одержимость. Бернхард Риман и величайшая нерешенная проблема в математике [i_049.jpg]](img/book_covers/076/76259/i_049.jpg)
![Иллюстрация к книге — Простая одержимость. Бернхард Риман и величайшая нерешенная проблема в математике [i_050.jpg] Иллюстрация к книге — Простая одержимость. Бернхард Риман и величайшая нерешенная проблема в математике [i_050.jpg]](img/book_covers/076/76259/i_050.jpg)