Книга Простая одержимость. Бернхард Риман и величайшая нерешенная проблема в математике, страница 22 – Джон Дербишир

Авторы: А Б В Г Д Е Ж З И Й К Л М Н О П Р С Т У Ф Х Ч Ш Ы Э Ю Я
Книги: А Б В Г Д Е Ж З И Й К Л М Н О П Р С Т У Ф Х Ц Ч Ш Щ Ы Э Ю Я
Бесплатная онлайн библиотека LoveRead.in

Онлайн книга «Простая одержимость. Бернхард Риман и величайшая нерешенная проблема в математике»

📃 Cтраница 22

Он любил детей и, говорят, мог заниматься серьезными вычислениями в то время, как дети играли у его ног. (На меня как писателя, работающего дома в окружении двух маленьких детей, это производит действительно немалое впечатление.) По-видимому, он был не способен к интригам, никогда не терял друзей иначе как по причине смерти и был честен во всех своих начинаниях — хотя, если верить Стрэчи, готов был слегка поступиться принципами ради спокойной жизни! [33] Он написал один из первых научно-популярных бестселлеров «Письма к немецкой принцессе», где объяснял обычным читателям, почему небо голубое, почему луна кажется больше, когда она восходит, а также рассматривал другие подобные вопросы, занимающие умы. [34]

В основе всего этого лежала твердая как гранит религиозная вера. Эйлер рос кальвинистом и всегда был привержен этой вере. Его отец, как и отец Римана, был пастором в деревенской церкви, и Эйлеру, как и Риману, изначально предназначалась церковная карьера. Сообщают, что во время жизни в Берлине «он каждый вечер собирал всю семью целиком и читал главу из Библии, сопровождая чтение проповедью». И это происходило ровно тогда, когда при дворе, согласно Маколею, «главнейшие темы разговоров вертелись вокруг нелепости религиозных убеждений любого толка». Трудолюбивый, благочестивый, стоический, преданный своей семье, живущий в простоте и просто изъясняющийся — неудивительно, что Фридрих его недолюбливал. Но настало время перейти от дней к трудам и взглянуть на первый великий триумф Эйлера — базельскую задачу.

Глава 5. Дзета-функция Римана

I.

Базельская задача

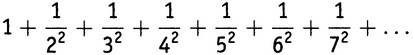
Выразить в замкнутом виде бесконечный ряд

Иллюстрация к книге — Простая одержимость. Бернхард Риман и величайшая нерешенная проблема в математике [i_016.jpg]

Базельская задача [35] названа в честь швейцарского города, в университете которого профессорами математики один за другим были двое братьев Бернулли — Якоб (с 1687 по 1705 год) и Иоганн (с 1705 по 1748 год). Мы упоминали в главе 1.iii, что оба брата Бернулли нашли доказательства расходимости гармонического ряда. В книге, где он опубликовал сначала доказательство брата, а потом и свое, Якоб Бернулли сформулировал приведенную выше задачу и обратился ко всем, кто знает, как с ней разобраться, с просьбой сообщить ему ответ. (Я очень скоро объясню, что значит «выразить в замкнутом виде».)

Заметим, что ряд, фигурирующий в этой задаче, — будем называть его «базельским рядом» — не слишком далек от гармонического ряда. Каждый член в нем, собственно говоря, равен квадрату соответствующего члена в гармоническом ряде. А возведение в квадрат числа, меньшего единицы, дает число еще меньшее: квадрат одной второй уменьшает ее до одной четвертой. И чем меньшее число возводится в квадрат, тем сильнее выражен этот эффект: одна четвертая лишь немного меньше одной второй, но квадрат одной десятой дает одну сотую, которая намного меньше, чем одна десятая.

Каждый член в базельском ряду, таким образом, меньше соответствующего члена в гармоническом ряду, и по мере продвижения вперед они делаются все меньше и меньше. Поскольку гармонический ряд лишь «едва-едва» расходится, вполне реальны надежды на то, что базельский ряд, составленный из меньших и даже много меньших величин, сойдется. Вычисление подсказывает, что на самом деле так и есть. Сумма первых десяти членов равна 1,5497677…, сумма ста членов составляет 1,6349839…, тысячи — 1,6439345…, а десяти тысяч — 1,6448340…. Действительно, впечатление такое, что ряд сходится к какому-то числу в окрестности 1,644 или 1,645. Но к какому?

В подобных ситуациях математиков не устраивает просто найти приближение, особенно когда рассматриваемый ряд сходится медленно, как в данном случае. (Сумма 10 000 членов все еще на 0,006 процента отличается от значения полной, бесконечной суммы, которая равна 1,6449340668….) Выражается ли ответ дробным числом, скажем, 9108/5537 или 560 837 199/340 948 133? Или он имеет более сложный вид, может быть, в него входят корни, например, √46/17, или же корень пятой степени из 11 983/995, или же корень восемнадцатой степени из 7776 [36]? Чему равен ответ? Неспециалист решил бы, что вполне достаточно знать это число с точностью до нескольких знаков после запятой. Но нет, математики желают знать его точно, если только это возможно. Не просто потому, что они одержимы навязчивой идеей, но и потому, что по опыту знают: получение точного ответа нередко открывает ранее запертые двери и проливает свет на более глубокие математические вопросы. Математический профессиональный термин для такого точного представления — это «замкнутый вид». А десятичное приближение, неважно, насколько точное, — «незамкнутый вид». Число 1,6449340668… — это незамкнутый вид. Сами видите, что многоточие сообщает нам, что правая часть не завершена и при желании можно проделать вычисление, чтобы добавить туда еще цифры.

Базельская задача была поставлена так: найти замкнутый вид ряда из обратных квадратов. Задача была в конце концов побеждена в 1735 году, через 46 лет после своей постановки, и сделал это молодой Леонард Эйлер, трудившийся в далеком Санкт-Петербурге. Потрясающий ответ имеет вид π2/6. Да, это «то самое» π, магическое число, равное 3,14159265…, — отношение длины окружности к ее диаметру. Что же оно делает в задаче, которая не имеет ни малейшего отношения не только к окружностям, но и вообще к геометрии?! Современных математиков это не так уж изумляет, они привыкли, что π можно встретить в математике где угодно, но в 1735 году этот ответ произвел сильное впечатление.

Вход
Поиск по сайту
Ищем:
Календарь