Книга Волновой принцип Эллиотта: Ключ к пониманию рынка, страница 24 – Альфред Фрост, Роберт Р. Пректер

Авторы: А Б В Г Д Е Ж З И Й К Л М Н О П Р С Т У Ф Х Ч Ш Ы Э Ю Я
Книги: А Б В Г Д Е Ж З И Й К Л М Н О П Р С Т У Ф Х Ц Ч Ш Щ Ы Э Ю Я
Бесплатная онлайн библиотека LoveRead.in

Онлайн книга «Волновой принцип Эллиотта: Ключ к пониманию рынка»

📃 Cтраница 24

Постоянное возникновение чисел Фибоначчи и золотой спирали в природе точно объясняет, почему отношение 0,618034 к 1 настолько приятно в произведениях искусства. Человек видит в искусстве отражение жизни, которая имеет в основании золотую середину».

Природа использует золотое отношение в своих наиболее совершенных творениях – от таких мелких, как микроизвилины мозга и молекулы ДНК (см. рис. 3–9), до таких крупных, как галактики. Оно проявляется в таких различных явлениях, как рост кристаллов, преломление светового луча в стекле, строение мозга и нервной системы, музыкальные построения, структура растений и животных. Наука предоставляет все больше свидетельств того, что у природы действительно есть главный пропорциональный принцип. Кстати, вы держите эту книгу двумя из своих пяти пальцев, причем каждый палец состоит из трех частей. Итого: пять единиц, каждая из которых делится на три – прогрессия 5–3–5–3, подобная той, что лежит в основе волнового принципа.

Золотое сечение

Любой отрезок может быть поделен таким образом, что отношение его меньшей части к большей окажется таким же, как и отношение большей части ко всему отрезку (см. рис. 3–3). Это отношение равно 0,618.

Иллюстрация к книге — Волновой принцип Эллиотта: Ключ к пониманию рынка [i_084.jpg]

Золотое сечение встречается в природе повсеместно. Человеческое тело соответствует принципу золотого сечения (см. рис. 3–9) фактически во всем, начиная от внешних размеров и заканчивая чертами лица. «Платон в своем «Тимее» пошел так далеко, – говорит Питер Томпкинс, – что рассмотрел число φ и вывел пропорции золотого сечения – всеобъемлющее математическое соотношение и увидел в нем ключ ко всей природе космоса». В XVI столетии Иоганн Кеплер, говоря о золотом, или «Божественном», сечении, написал, что фактически оно описывает все созданное и символизирует Божественное творение «по своему подобию». Пупок делит человеческое тело по принципу золотого сечения. Для статистического усреднения используется число, примерно равное 0,618. Отношение остается верным отдельно для мужчин и отдельно для женщин, что есть символ творения «по своему подобию». Является ли и прогресс человечества творением «по своему подобию»?

Золотой прямоугольник

Стороны золотого прямоугольника имеют отношение 1,618 к 1. Чтобы построить золотой прямоугольник, начните с квадрата со сторонами, равными двум единицам, потом проведите линию от середины одной стороны квадрата к одной из его вершин, образующих противоположную сторону, как показано на рис. 3–4.

Иллюстрация к книге — Волновой принцип Эллиотта: Ключ к пониманию рынка [i_085.jpg]

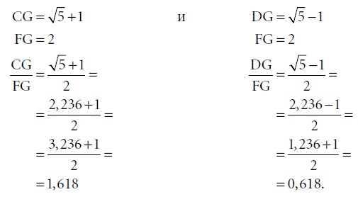
Треугольник EDB прямоугольный. Около 550 г. до Р.Х. Пифагор доказал, что квадрат гипотенузы (X) прямоугольного треугольника равен сумме квадратов двух других его сторон. В данном случае Х2 = 22 + 12, или Х2 = 5. Длина стороны ЕВ, таким образом, должна быть квадратным корнем из 5. Строя золотой прямоугольник, следующим шагом продлите отрезок СD и постройте на нем отрезок EG, равный квадратному корню из 5, или 2,236 единицы длины, как показано на рис. 3–5. В построенных таким образом прямоугольниках стороны связаны золотым коэффициентом. Таким образом, и прямоугольник AFGC, и прямоугольник BFGD золотые. Доказательство этого факта следующее:

Иллюстрация к книге — Волновой принцип Эллиотта: Ключ к пониманию рынка [i_086.jpg]
Иллюстрация к книге — Волновой принцип Эллиотта: Ключ к пониманию рынка [i_087.jpg]

Поскольку стороны прямоугольников связаны золотым отношением, следовательно, эти прямоугольники, по определению, золотые прямоугольники.

Использование золотого прямоугольника в произведениях искусства чрезвычайно усиливает их привлекательность. Особенно сильно были очарованы золотым прямоугольником древние египтяне и греки, использовавшие его весьма часто. Не забывали о нем и художники Ренессанса, как, впрочем, и всех других наивысших моментов развития цивилизации. Большое значение золотому отношению придавал и Леонардо да Винчи. Он находил красивыми задаваемые им пропорции и говорил, что «если вещь выглядит неправильно, она не работает». Многие из его картин выглядели прекрасно, потому что он сознательно использовал золотой прямоугольник для усиления их привлекательности. Античные и современные архитекторы, и в особенности строители Парфенона в Афинах, неизменно придерживались правила золотого прямоугольника.

Очевидно, на человека, созерцающего форму, пропорции, связанные с числом φ, оказывают воздействие. Исследователи обнаружили, что люди находят такие формы эстетически привлекательными. Например, при проведении эксперимента людей просили выбрать из группы различных прямоугольников один. В общем случае выбор склонялся к прямоугольникам, форма которых была близка к золотому. Когда испытуемых просили произвольно разделить отрезок, они были склонны делить его в отношении φ. Окна, картинные рамы, здания, книги и кладбищенские кресты часто являются приближениями к золотому прямоугольнику.

Как и в случае золотого сечения, значение золотого прямоугольника не исчерпывается его красотой, но, по-видимому, обслуживает и функциональные задачи. Среди множества примеров наиболее удивительный состоит в том, что двойная спираль ДНК сама создает точные золотые прямоугольники, изгибаясь с правильными интервалами (см. рис. 3–9).

В то время как золотое сечение и золотой прямоугольник представляют собой статичные формы природной или рукотворной красоты и функциональности, наиболее ярким представлением эстетически приятного динамизма, упорядоченного роста или прогресса является одна из наиболее замечательных форм во Вселенной – золотая спираль.

Золотая спираль

Для построения золотой спирали может быть использован золотой прямоугольник. Каждый золотой прямоугольник может быть поделен на квадрат и меньший золотой прямоугольник, как показано на рис. 3–6. Процесс такого деления теоретически может продолжаться бесконечно. Нарисованные в результате квадраты закручиваются внутрь, мы их пометили как A, B, C, D, E, F и С

Пунктирные отрезки, которые сами имеют золотое отношение друг к другу, делят прямоугольник по диагоналям и указывают теоретический центр закручивающихся квадратов. Начав рядом с этой точкой, мы можем нарисовать спираль, показанную на рис. 3–7, соединив кривой точки пересечения закручивающихся квадратов в направлении их увеличения. По мере того как квадраты закручиваются внутрь и наружу, точки их соединения указывают путь золотой спирали.

В любой точке золотой спирали отношение длины дуги к ее диаметру равно 1,618. Отношение диаметров и радиусов, отстоящих друг от друга на 90°, в свою очередь, равно 1,618, что и показано на рис. 3–8.

Вход
Поиск по сайту
Ищем:
Календарь