Онлайн книга «Мистер Эго. Как жить в обществе и быть свободным от общества»
|
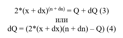
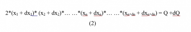
Для того, чтобы обрести независимость от конкретики, уловив общую закономерность, проделаем нехитрые математические вычисления. Для этого введем условные обозначения. Количество детализаций обозначим буквой n, количество вариаций в детализации – буквой х. Общее число возможных вариантов примем равным Q. Соответственно, изменения числа детализаций, вариаций и возможных вариантов – dn, dx и dQ. Тогда число возможных вариантов действий вычисляется по формуле: ![]() Подставляя в нее значения, получаем результат (см. как пример вышеприведенный расчет). Для анализа влияния изменений числа детализаций и количества вариаций в детализации на число возможных поступков, из которых мы будем выбирать, инкорпорируем эти параметры в полученное выражение. Тогда формула (1 ) приобретает вид: ![]() С целью упрощения выражения (2), сделаем допущение, что число вариаций, содержащихся в детализации, однопорядково, признав тем самым детализации количественно эквивалентными. С учетом этого формула (2) приобретает вид: ![]() Теперь, используя формулы (3) и (4), покажем, каким может быть число возможных событий в случае, когда вы берете с лотка уличного торгаша юмористическую книгу, на которой написано: «Что вы смотрите? Либо берите, либо положите на место, либо одно из восемнадцати!» Для иллюстрации выберем следующие исходные данные: Вариант 1: количество детализаций составляет 5 (например: что сделать /ударить/, как это сделать /как ударить/, в отношении кого это сделать /кого именно ударить/, с какой эффективностью это сделать /как сильно ударить/, куда будет направлено действие /в какую часть тела ударить/); количество вариаций в каждой детализации – 15. Вариант 2: наоборот – количество детализаций составляет 15, вариаций в детализациях по 5. Результаты вычислений приведены в таблице: ![]() Признаться, не слабо! Начиная с одного миллиона пятисот восемнадцати тысяч семисот пятидесяти (1 518 750) в исходном случае первого варианта и заканчивая одиннадцатью триллионами двухстами двадцатью тремя миллиардами четырехстами четырьмя миллионами четырехстами семьюдесятью тремя тысячами пятистами семьюдесятью шестью (11 223 404 473 576) в последнем случае последнего варианта. Вот вам и одно из восемнадцати! Приведенные рассуждения, в которых намеренно использован прием доведения до абсурда, позволяют заключить, что теоретически, по-видимому, количество возможных вариантов в той или иной ситуации почти безгранично. Неизвестно, поддаются ли они исчислению. Но, с нашей точки зрения, такие результаты не усиливают позицию, утверждающую, что из бесконечности возможностей следует бесконечность свободы. Даже на уровне простого здравого смысла, не прибегая к глубоким умствованиям, ясно, что от столь большого числа вариантов поступков толку мало. Нас интересуют лишь те поступки, которые способствуют достижению наших целей, не препятствуя при этом рациональному вершению бытия. Это и будет критерием диверсификации, отсекающим все ненужное, вредящее и опасное. В противном случае, увидев непотребные сцены (взяв книгу, некто стал с рычанием рвать ее зубами или, встав на четвереньки, обнюхивать, похрюкивая), мы будем вынуждены признать их гордым проявлением свободы человеческой личности, а вовсе не сумасбродством. Кроме того, отметим и еще одну деталь. Все посчитанные миллиарды событий все равно определяются содержанием ситуации. Так, например, удар книгой ситуация предполагает, а удар самоваром – вовсе нет, он невозможен ввиду отсутствия последнего. Так что, взяв книгу у торговца, либо купите ее, либо положите обратно, другого не дано, возможности вашего выбора расписаны вашей ситуацией. Кроме того, обратим внимание, что кроме ограничений со стороны ситуации (ранее мы назвали такие ограничения внешним радиусом свободы), актуальны и наши внутренние ограничения (внутренний радиус). Если оставить, наконец, обсуждение покупки книги и рассуждать в общем, то будет справедливо, что потенциальные возможности, одну из которых мы выбираем, по сути – для нас – всего лишь представления, наши представления о том или ином варианте. Как следствие, эти представления могут быть неточны, неполны, ошибочны, вредны и т.п. Даже если они полезны, непоколебим тезис: нередко границы свободы нашего выбора являются границами нашего знания. Если мы не знаем о каком-то дополнительном варианте, то мы его и не выберем. Это существенное ограничение. Вот что можно сказать очень коротко о первых двух аспектах выбора. Не будем уделять им чрезмерно много места, поскольку для нас важнее последний, третий аспект. Но прежде чем перейти к нему, подчеркнем еще раз основное: – свобода нашего действия в первую очередь определяется не нами, а той ситуацией, в которой мы находимся; – именно ограниченность свободы делает возможным выбор, который возникает тогда, когда наше желание иметь или сделать одновременно что-либо наталкивается на невозможность его реализации; – свобода выбора, зародившегося вследствие ограниченности наших возможностей, в свою очередь, с двух сторон лимитируется следующим: исчислимостью количества вариантов, генереруемых ситуацией, в которую мы попали, и ограниченностью нашей информированности об их наличии и исполнимости (внутренний и внешний радиусы свободы). Не следует понимать изложенное выше как отказ человеку в осуществлении высокой потенции самоопределения. Отметим также, что описанные моменты ограниченности в материальных действиях и свободе выбора можно квалифицировать как затруднения технического характера, их претензии на обладание сущностными характеристиками неубедительны. Есть более значимое, что, как ни странно, нередко упускается из виду в эпатажных верхоглядных рассуждениях. Если идти в обратном направлении, от реальности к субъекту выбора (человеку), прослеживается такая цепочка. Материальная данность ответственна за возможность воплощения действия и за предоставление соответствующих вариантов для выбора; субъективное знание индивида ответственно за его информированность в отношении существования и реализуемости того или иного набора альтернатив. Но что стоит за теми мотивами, которые побуждают человека к выбору? Что обуславливает выбор какого-либо одного конкретного варианта, а не равноценного ему иного? Почему человек хочет именно то, что он хочет? Изначально причиной наших поступков являются наши желания. Но откуда они возникают? Действительно ли они наши? Способны ли мы выбирать, чего нам желать? Чем мы здесь ограничены? Попытаемся ответить на эти вопросы, рассматривая третий аспект свободы выбора – свободу желания. |
![Иллюстрация к книге — Мистер Эго. Как жить в обществе и быть свободным от общества [_2.jpg] Иллюстрация к книге — Мистер Эго. Как жить в обществе и быть свободным от общества [_2.jpg]](img/book_covers/075/75924/_2.jpg)
![Иллюстрация к книге — Мистер Эго. Как жить в обществе и быть свободным от общества [_3.jpg] Иллюстрация к книге — Мистер Эго. Как жить в обществе и быть свободным от общества [_3.jpg]](img/book_covers/075/75924/_3.jpg)
![Иллюстрация к книге — Мистер Эго. Как жить в обществе и быть свободным от общества [_4.jpg] Иллюстрация к книге — Мистер Эго. Как жить в обществе и быть свободным от общества [_4.jpg]](img/book_covers/075/75924/_4.jpg)
![Иллюстрация к книге — Мистер Эго. Как жить в обществе и быть свободным от общества [_5.jpg] Иллюстрация к книге — Мистер Эго. Как жить в обществе и быть свободным от общества [_5.jpg]](img/book_covers/075/75924/_5.jpg)