Онлайн книга «Боевая машина Гизы»
|
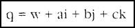
Обратите внимание, что пункты 5, 6 и 8 — это ключевые элементы, отсутствующие в лишенной напряжений и физических свойств среде. Поскольку для различных мультивекторных систем с нулевым результирующим вектором не предполагается никакой внутренней геометрии, вся наша электромагнитная теория и практика были принудительно сведены к универсальному фотоэлектрическому эффекту, то есть к взаимодействию между фотоном и электроном, а не к потенциальному эпектрогравитационному эффекту атомных ядер, где сосредоточена большая часть атомной массы и положительного электрического заряда. Мы наблюдаем и используем, если можно так выразиться, только оболочку. Другими словами, сам атом похож на очень маленькую клетку Фарадея. Большая часть электромагнитного взаимодействия приходится на фотоны и окружающие атомное ядро электроны, а не на ядра атомов. Ядра, подобно человеку в клетке Фарадея, экранируются от этого воздействия. Теперь сравним векторное произведение в стандартной линейной алгебре — математической модели, которую все знают как уравнения Максвелла — и реальной геометрии кватернионов, которую он на самом деле использовал. Мои извинения читателям, не обладающим способностями к математике! В трехмерном пространстве вектор v представляет собой сумму трех векторов, направление каждого из которых совпадает с направлением осей х, у и z прямоугольной системы координат: ![]() где i, j, k — единичные векторы, a, b, с — константы. Если единичные векторы i, j, к являются нулевыми, то v = 0. Теперь рассмотрим произведение двух идентичных векторов переноса, дающих нулевой результирующий вектор R, ![]() Обратите внимание, что это стандартное уравнение для нулевого вектора ничего не говорит о внутренних напряжениях частицы в результате воздействия двух векторов vxv.b сумме дающих ноль. Здесь возможны две интерпретации. Первая заключается в том. что ничего не происходит — ни переноса, ни чего-либо другого. Традиционная физика учит заменять результат нулевым вектором, тем самым неявно подразумевая. что никаких электромагнитных эффектов вообще не наблюдается — как будто единственным наблюдаемым эффектом является перенос, который только и может смоделировать векторный анализ! Другая интерпретация предполагает, что эффект переноса — это лишь один из целого ряда возможных эффектов и что могут иметь место не связанные с переносом нелинейные эффекты — электромагнитные или иные [252]. Теперь обратимся к кватерннонному анализу того же процесса. Кватернион, в сущности, представляет собой совокупность скаляра и вектора (для нематематиков скаляр — это просто чисто, подобно коэффициенту, константе или переменной): ![]() Подставляя предыдущее выражение вектора в системе прямоугольных координат, получаем, что кватернион состоит из скалярной компоненты и единичных векторов стандартной системы: ![]() Произведение кватернионов дает интересный результат. Произведение единичных векторов переноса по-прежнему дает нулевой результирующий вектор переноса, однако в нем присутствует и внутреннее взаимодействие коэффициентов, то есть остается скалярная компонента, описывающая чистую магнитуду силы, присутствующей в напряженной точке среды: ![]() где 0t — нулевой вектор переноса. Очень важно понимать, что именно подразумевает это гиперпространственное взаимодействие постоянных коэффициентов (а2 + Ь2 + с2 в приведенном выше выражении), когда речь идет о физических константах. Вместе с координатной, или векторной, составляющей исчез и стандартный метод размерного анализа, и осталось лишь взаимодействие скаляра — нелинейная компонента в гиперпространстве; это сильнейшее взаимодействие затем «стекает» в обычное пространство, подобно тому, как вода стекает вниз после запруды. Таким образом, остается лишь выяснить, как повернуть ключ, чтобы открыть водосброс. Более подробно это безразмерное взаимодействие констант будет рассмотрено в главе IX. Получается, что произведение кватернионов дает ненулевой скалярный результат, что можно интерпретировать как не связанное с переносом напряжение самой среды. Поскольку скалярная равнодействующая не предполагает электромагнитного переноса, то отсутствует взаимодействие с электронными оболочками атома. Эта равнодействующая проникает в клетку Фарадея из электронов и взаимодействует с ядрами, обладающими высокой степенью нелинейности. Теперь осциллятором становится электрический потенциал (заряд) самих ядер. Плотность энергии заряженных ядер — и, следовательно, его электромагнитный потенциал — осциллируется как периодическая функция времени. Осциллирующий потенциал тем не менее детерминированно структурирован (внутренне поляризован) внутренней электромагнитной мультивекторной системой [253]. Таким образом, современная электромагнитная и гравитационная теория совершают три главные ошибки: • Отрицают динамический эфир и принимают вариант векторного анализа электромагнетизма, не учитывая возможность взаимодействия между векторными системами и средой. • Из невозможности подобного взаимодействия следует невозможность локального напряжения среды. • Поэтому электромагнетизм имеет дело в основном с переносом как с главным типом физического действия. 2. Намеренное редактирование Хевисайдом?
________________________________________________________________________ Оливер Хевисайд отредактировал (правильнее было бы сказать обкромсал) исходные кватернионные уравнения Максвелла, упростив явно более громоздкие и сложные кватернионы до векторного анализа и отбросив то, что он считал метафизической скалярной компонентой. Отказавшись от скалярных потенциалов среды Максвелла, он практически сузил электромагнетизм до изучения переноса и полей. Остается лишь догадываться, почему теоретические работы, а также наблюдаемые и повторяемые эксперименты с эфирной средой многих известных ученых и инженеров, таких как Максвелл, Тесла и Мори, исчезли из учебников физики и исторических трудов. Правда, не составит большого труда догадаться, какую угрозу — не только военную, но и мировоззренческую — несет такая физика для всей геополитической и экономической структуры постиндустриального мира, основу которого составляет неэффективная энергия переноса. Хорошо известны случаи конфискации и редактирования патентов Теслы и Мори правительственными и другими организациями. Возникает подозрение, что Максвелл сам стал жертвой организованной кампании дезинформации и неверного толкования, направленной на то, чтобы отвлечь внимание широкой публики от самых сенсационных аспектов его теории. Максвелл занимался теорией, а Тесла проводил эксперименты. Можно лишь догадываться, что откроет кватернионный анализ опытов Теслы с импульсами. |
![Иллюстрация к книге — Боевая машина Гизы [i_031.jpg] Иллюстрация к книге — Боевая машина Гизы [i_031.jpg]](img/book_covers/075/75868/i_031.jpg)
![Иллюстрация к книге — Боевая машина Гизы [i_032.jpg] Иллюстрация к книге — Боевая машина Гизы [i_032.jpg]](img/book_covers/075/75868/i_032.jpg)
![Иллюстрация к книге — Боевая машина Гизы [i_033.jpg] Иллюстрация к книге — Боевая машина Гизы [i_033.jpg]](img/book_covers/075/75868/i_033.jpg)
![Иллюстрация к книге — Боевая машина Гизы [i_034.jpg] Иллюстрация к книге — Боевая машина Гизы [i_034.jpg]](img/book_covers/075/75868/i_034.jpg)
![Иллюстрация к книге — Боевая машина Гизы [i_035.jpg] Иллюстрация к книге — Боевая машина Гизы [i_035.jpg]](img/book_covers/075/75868/i_035.jpg)