Онлайн книга «Путеводитель для влюблённых в математику»
![]() Чем больше становятся числа Фибоначчи, тем ближе соотношение
Это число – вы будете удивлены – достаточно известное, и если вы введете его в поисковую систему, вывалится уйма страниц о золотом сечении. Что это такое? Соотношение соседних чисел Фибоначчи не одинаково. Однако оно почти одинаково, если числа достаточно велики. Давайте найдем формулу для числа 1,61803 и для этого на время будем считать, что все соотношения одинаковы. Введем обозначение x: ![]() Это значит, что Fk + 1 = xFk, Fk + 2 = xFk + 1 и т. д. Можно переформулировать: Fk + 2 = xFk + 1 = x²Fk. Но мы же знаем, что Fk + 2 = Fk + 1 + Fk. Таким образом, x²Fk = xFk + Fk. Если мы поделим обе части на Fk и перегруппируем слагаемые, то получим квадратное уравнение: x² – x – 1 = 0. Оно имеет два решения: ![]() Соотношение должно быть положительным. И вот мы получили знакомое нам число. Обычно для обозначения золотого сечения используют греческую букву ϕ (фи): ![]() Мы уже приметили, что соотношение соседних чисел Фибоначчи приближается (стремится) к ϕ. Это замечательно. Это дает нам еще один способ вычислять приблизительные значения чисел Фибоначчи. Последовательность чисел Фибоначчи – это ряд F0, F1, F2, F3, F4, F5… Если все соотношения
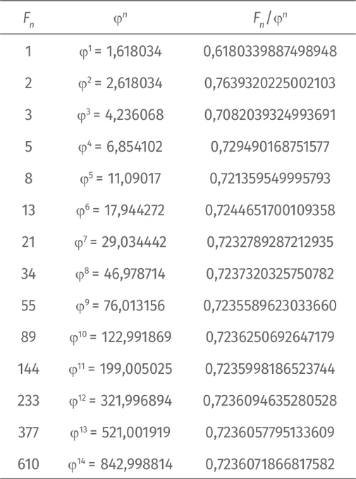
Fn = cϕⁿ. Здесь с – еще одна константа. Сравним округленные значения Fn и ϕⁿ для разных n: ![]() Для больших значений n соотношение
![]() Насколько хороша эта формула? Настало время новых подсчетов! ![]() Обратите внимание: если округлить
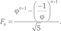
Если вы не хотите утруждать себя округлениями до целого числа, то формула, названная в честь Жака Бине [100], даст вам точное значение: ![]() ![]() Глава 10
Факториал! Книги на полке Сколькими способами можно расставить ваши книги на полке? Разумеется, это зависит от того, сколько у вас книг. Начнем с простейшего примера. Допустим, ваша библиотека насчитывает всего три книги с незамысловатыми названиями A, B и C. Вначале решим, какую книгу поставить с левого края. Пусть это будет A. В таком случае остается всего два варианта расположения книг на полке: ABC и ACB. То есть, когда A стоит слева, существует две комбинации. Если поставить на левую позицию книгу B, тогда снова возможны два варианта: BAC и BCA. Если слева стоит книга C, появляются еще две комбинации: CAB и CBA. В общей сложности есть шесть вариантов расстановки книг: ABC, ACB, BAC, BCA, CAB, CBA. Теперь представим, что у нас появилась четвертая книга: D. Сколькими способами можно расставить книги теперь? Используем тот же метод. Для начала решим, какую книгу поставить слева; пусть на первый раз снова будет A. Оставшиеся три книги, как мы знаем, можно расставить шестью способами – только что мы обосновали, почему это так. Точно так же есть шесть способов расположить оставшиеся книги, если слева будет B, C или D. В общей сложности получается 6 × 4 = 24 способа. Вот они: ![]() Прежде чем мы перейдем к вопросу о произвольном количестве книг, давайте проанализируем вариант с пятью книгами: A, B, C, D и E. Как и раньше, вначале решаем, какую книгу поставить на крайнюю левую позицию. Если это A, у нас остается четыре книги. Сколькими способами можно их расставить? Мы уже выяснили, что таких способов 24. Еще 24 способа появляется, если на крайней левой позиции стоит B. То же самое для C, D и E. Итого в совокупности 24 + 24 + 24 + 24 + 24 = 120. |
![Иллюстрация к книге — Путеводитель для влюблённых в математику [i_161.jpg] Иллюстрация к книге — Путеводитель для влюблённых в математику [i_161.jpg]](img/book_covers/075/75623/i_161.jpg)
![Иллюстрация к книге — Путеводитель для влюблённых в математику [i_162.jpg] Иллюстрация к книге — Путеводитель для влюблённых в математику [i_162.jpg]](img/book_covers/075/75623/i_162.jpg)
![Иллюстрация к книге — Путеводитель для влюблённых в математику [i_163.jpg] Иллюстрация к книге — Путеводитель для влюблённых в математику [i_163.jpg]](img/book_covers/075/75623/i_163.jpg)
![Иллюстрация к книге — Путеводитель для влюблённых в математику [i_164.jpg] Иллюстрация к книге — Путеводитель для влюблённых в математику [i_164.jpg]](img/book_covers/075/75623/i_164.jpg)
![Иллюстрация к книге — Путеводитель для влюблённых в математику [i_165.jpg] Иллюстрация к книге — Путеводитель для влюблённых в математику [i_165.jpg]](img/book_covers/075/75623/i_165.jpg)
![Иллюстрация к книге — Путеводитель для влюблённых в математику [i_166.jpg] Иллюстрация к книге — Путеводитель для влюблённых в математику [i_166.jpg]](img/book_covers/075/75623/i_166.jpg)
![Иллюстрация к книге — Путеводитель для влюблённых в математику [i_167.jpg] Иллюстрация к книге — Путеводитель для влюблённых в математику [i_167.jpg]](img/book_covers/075/75623/i_167.jpg)
![Иллюстрация к книге — Путеводитель для влюблённых в математику [i_168.jpg] Иллюстрация к книге — Путеводитель для влюблённых в математику [i_168.jpg]](img/book_covers/075/75623/i_168.jpg)
![Иллюстрация к книге — Путеводитель для влюблённых в математику [i_169.jpg] Иллюстрация к книге — Путеводитель для влюблённых в математику [i_169.jpg]](img/book_covers/075/75623/i_169.jpg)
![Иллюстрация к книге — Путеводитель для влюблённых в математику [i_170.jpg] Иллюстрация к книге — Путеводитель для влюблённых в математику [i_170.jpg]](img/book_covers/075/75623/i_170.jpg)
![Иллюстрация к книге — Путеводитель для влюблённых в математику [i_171.jpg] Иллюстрация к книге — Путеводитель для влюблённых в математику [i_171.jpg]](img/book_covers/075/75623/i_171.jpg)
![Иллюстрация к книге — Путеводитель для влюблённых в математику [i_172.jpg] Иллюстрация к книге — Путеводитель для влюблённых в математику [i_172.jpg]](img/book_covers/075/75623/i_172.jpg)
![Иллюстрация к книге — Путеводитель для влюблённых в математику [i_173.jpg] Иллюстрация к книге — Путеводитель для влюблённых в математику [i_173.jpg]](img/book_covers/075/75623/i_173.jpg)
![Иллюстрация к книге — Путеводитель для влюблённых в математику [i_174.jpg] Иллюстрация к книге — Путеводитель для влюблённых в математику [i_174.jpg]](img/book_covers/075/75623/i_174.jpg)