Онлайн книга «Путеводитель для влюблённых в математику»
|
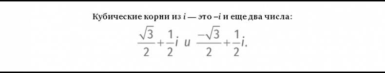
Поле действительных чисел незамкнуто, потому что среди действительных чисел не всегда можно найти решение полиномиального уравнения с действительными коэффициентами (например, среди действительных чисел нет такого числа a, что a × a + 1 = 0. Доказательство общей теоремы алгебры состоит в том, что решение приведенного выше полиномиального уравнение находят в общем виде. ![]() Глава 6
π Что такое π? Число π завораживает человечество на протяжении многих поколений. Оно проникло в массовую культуру (например, стало названием фильма [62] и маркой одеколона [63]). Школьники отмечают День π и соревнуются, кто запомнит больше знаков числа π после запятой [64]. Пи – шестнадцатая буква греческого алфавита. В математике ею обозначают отношение длины окружности к ее диаметру. Длина окружности в π раз длиннее диаметра, или C = πd. Можно записать иначе: C = 2πr, где r – радиус окружности. ![]() Площадь окружности можно вычислить по формуле S = πr². ![]() С помощью числа π можно определить и площадь сферы – 4πr², а также объем шара –
Эти геометрические формулы не сообщают нам величину числа π. Начнем с того, что π больше 3. Нарисуем круг с радиусом 1, впишем в него равносторонний шестиугольник, а затем поделим его на равносторонние треугольники. ![]() Очевидно, что стороны всех треугольников равны 1. Периметр шестиугольника равен 6. Длина окружности несколько больше, чем периметр шестиугольника. Таким образом, 2π > 6, следовательно, π > 3. На рисунке мы видим, что разница между периметрами двух фигур невелика. Значит, π немногим больше 3. Дальше мы можем поступить наоборот – описать правильный шестиугольник вокруг окружности радиусом 1. Вновь поделим шестиугольник на шесть равных треугольников. Длина любой стороны каждого треугольника будет равна
![]() Таким образом, периметр большого шестиугольника равен
![]() Дальше мы можем снова и снова вписывать в окружность и описывать вокруг нее правильные многоугольники со все бо́льшим количеством сторон. Когда мы дойдем до правильного 100-угольника, точность наших вычислений значительно повысится: 3,1410759… < π < 3,1426266… В пределе, увеличивая число сторон вписанных и описанных правильных многоугольников до бесконечности, мы будем получать все более точное значение интересующего нас числа: π = 3,141592653589793238462643383279502884… Так чему же в точности равно число π? В главе 4 мы уже выяснили, что число
Число π не так-то просто представить в виде ряда, но вот пара попыток: ![]() В обоих случаях необходимо вести счет до бесконечности, но это не в наших силах. Мы можем остановиться после некоторого количества шагов и найти приблизительное значение интересующего нас числа. Ни та ни другая формула на практике не используются. Когда мы доведем расчеты по формуле (A) до
Число π можно вычислить быстрее и точнее с помощью гораздо более изощренных алгоритмов. Для науки и инженерного дела достаточно знать где-то 30 знаков после запятой. Исключительно ради забавы и спортивного интереса математики и программисты вычислили число π с точностью больше триллиона знаков после запятой. |
![Иллюстрация к книге — Путеводитель для влюблённых в математику [i_073.jpg] Иллюстрация к книге — Путеводитель для влюблённых в математику [i_073.jpg]](img/book_covers/075/75623/i_073.jpg)
![Иллюстрация к книге — Путеводитель для влюблённых в математику [i_074.jpg] Иллюстрация к книге — Путеводитель для влюблённых в математику [i_074.jpg]](img/book_covers/075/75623/i_074.jpg)
![Иллюстрация к книге — Путеводитель для влюблённых в математику [i_075.jpg] Иллюстрация к книге — Путеводитель для влюблённых в математику [i_075.jpg]](img/book_covers/075/75623/i_075.jpg)
![Иллюстрация к книге — Путеводитель для влюблённых в математику [i_076.jpg] Иллюстрация к книге — Путеводитель для влюблённых в математику [i_076.jpg]](img/book_covers/075/75623/i_076.jpg)
![Иллюстрация к книге — Путеводитель для влюблённых в математику [i_077.jpg] Иллюстрация к книге — Путеводитель для влюблённых в математику [i_077.jpg]](img/book_covers/075/75623/i_077.jpg)
![Иллюстрация к книге — Путеводитель для влюблённых в математику [i_078.jpg] Иллюстрация к книге — Путеводитель для влюблённых в математику [i_078.jpg]](img/book_covers/075/75623/i_078.jpg)
![Иллюстрация к книге — Путеводитель для влюблённых в математику [i_079.jpg] Иллюстрация к книге — Путеводитель для влюблённых в математику [i_079.jpg]](img/book_covers/075/75623/i_079.jpg)
![Иллюстрация к книге — Путеводитель для влюблённых в математику [i_080.jpg] Иллюстрация к книге — Путеводитель для влюблённых в математику [i_080.jpg]](img/book_covers/075/75623/i_080.jpg)
![Иллюстрация к книге — Путеводитель для влюблённых в математику [i_081.jpg] Иллюстрация к книге — Путеводитель для влюблённых в математику [i_081.jpg]](img/book_covers/075/75623/i_081.jpg)
![Иллюстрация к книге — Путеводитель для влюблённых в математику [i_056.jpg] Иллюстрация к книге — Путеводитель для влюблённых в математику [i_056.jpg]](img/book_covers/075/75623/i_056.jpg)
![Иллюстрация к книге — Путеводитель для влюблённых в математику [i_036.jpg] Иллюстрация к книге — Путеводитель для влюблённых в математику [i_036.jpg]](img/book_covers/075/75623/i_036.jpg)
![Иллюстрация к книге — Путеводитель для влюблённых в математику [i_082.jpg] Иллюстрация к книге — Путеводитель для влюблённых в математику [i_082.jpg]](img/book_covers/075/75623/i_082.jpg)
![Иллюстрация к книге — Путеводитель для влюблённых в математику [i_083.jpg] Иллюстрация к книге — Путеводитель для влюблённых в математику [i_083.jpg]](img/book_covers/075/75623/i_083.jpg)
![Иллюстрация к книге — Путеводитель для влюблённых в математику [i_084.jpg] Иллюстрация к книге — Путеводитель для влюблённых в математику [i_084.jpg]](img/book_covers/075/75623/i_084.jpg)