Онлайн книга «Путеводитель для влюблённых в математику»
|
Легко заметить: 1,4 слишком мало для квадратного корня из двух, а 1,5 – слишком велико. Следовательно, √2 лежит между этими двумя величинами. Продолжим в том же духе. Будем возводить в квадрат числа между 1,4 и 1,5, двигаясь с шагом 0,01. Мы обнаружим, что 1,41² = 1,9881, а 1,42² = 2,0164. Из этого можно сделать умозаключение, что
![]() Мы можем двигаться таким образом все дальше и дальше, приближаясь к √2 Рано или поздно мы либо успокоимся (достигнув числа, фантастически близкого к
Но что означает это «точно»? За границами рационального Разумный способ определить точное значение числа – представить его в виде рационального числа, то есть отношения двух целых чисел. Если бы мы сумели представить √2 в виде дроби
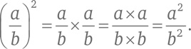
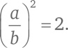
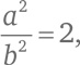
Увы, но такое невозможно. Однако это нужно доказать. Теорема. √2 не является рациональным числом. Будем идти от противного, как и в главе 1, где мы подсчитывали количество простых чисел. Предположим, что √2 – рациональное число. Если это допущение приведет к абсурдным выводам, значит, оно несостоятельно. Итак, приступим. Если √2 – рациональное число, его можно выразить в виде отношения двух целых чисел: ![]() Возведем обе части тождества в квадрат: ![]() Раскроем скобки: ![]() Таким образом: ![]() или: 2b² = a². (С) Если a – целое число, мы можем разложить его на простые множители, причем (согласно основной теореме арифметики) одним-единственным способом: a = p1 × p2 × … × pn. Проделаем аналогичную процедуру с b: b = q1 × q2 × … × qm. Следовательно, левую часть равенства (С) можно представить в таком виде: 2b² = 2 × (q1 × q2 × … × qm)² = 2 × (q1 × q1) × (q2 × q2) × … × (qm × qm). Несложно заметить, что 2b² раскладывается на нечетное число простых множителей. Аналогично поступаем с правой частью (С): a² = (p1 × p2 × … × pn) ² = (p1 × p1) × (p2 × p2) × … × (pn × pn). В отличие от 2b², выражение a² раскладывается на четное число простых множителей. Подытожим. В соответствии с нашим предположением 2b² = a². Это означает, что некоторое число одновременно можно разложить на четное и нечетное количество простых множителей. Но это противоречит основной теореме арифметики. Мы пришли к невозможному выводу. Таким образом, наша изначальная посылка была ошибочна. Следовательно, √2 не является рациональным числом. Такие числа, как √2 называют иррациональными. Рациональные числа хороши для операций с физическими величинами [43], но их недостаточно для всех математических величин. Длина диагонали квадрата 1 × 1 – иррациональное число. Конструктивные числа Начав с числа 1 и шаг за шагом проделывая операции сложения, вычитания и умножения, мы можем получить любое целое число, но и только. Если мы добавим операцию деления, нам откроются все рациональные числа, но ими же мы и будем ограничены. Если мы введем операцию извлечения квадратного корня [44], то получим числа, которые не являются отношением целых чисел. Например: ![]() Для удобства мы будем называть конструктивными такие числа, которые можно получить с помощью числа 1 и пяти операций – сложения, вычитания, умножения, деления и извлечения квадратного корня – с привычными оговорками: нельзя делить на ноль и извлекать корень из отрицательных величин. Разумеется, возникает вопрос: все ли числа конструктивные? Древние греки усматривали магическую внутреннюю связь между арифметикой и геометрией. Эта связь подтверждалась операциями с использованием двух инструментов: линейки без делений и циркуля. Возьмем отрезок единичной длины; какова может быть длина отрезков, построенных на его основе с помощью карандаша, линейки без делений и циркуля? |
![Иллюстрация к книге — Путеводитель для влюблённых в математику [i_034.jpg] Иллюстрация к книге — Путеводитель для влюблённых в математику [i_034.jpg]](img/book_covers/075/75623/i_034.jpg)
![Иллюстрация к книге — Путеводитель для влюблённых в математику [i_035.jpg] Иллюстрация к книге — Путеводитель для влюблённых в математику [i_035.jpg]](img/book_covers/075/75623/i_035.jpg)
![Иллюстрация к книге — Путеводитель для влюблённых в математику [i_036.jpg] Иллюстрация к книге — Путеводитель для влюблённых в математику [i_036.jpg]](img/book_covers/075/75623/i_036.jpg)
![Иллюстрация к книге — Путеводитель для влюблённых в математику [i_037.jpg] Иллюстрация к книге — Путеводитель для влюблённых в математику [i_037.jpg]](img/book_covers/075/75623/i_037.jpg)
![Иллюстрация к книге — Путеводитель для влюблённых в математику [i_038.jpg] Иллюстрация к книге — Путеводитель для влюблённых в математику [i_038.jpg]](img/book_covers/075/75623/i_038.jpg)
![Иллюстрация к книге — Путеводитель для влюблённых в математику [i_039.jpg] Иллюстрация к книге — Путеводитель для влюблённых в математику [i_039.jpg]](img/book_covers/075/75623/i_039.jpg)
![Иллюстрация к книге — Путеводитель для влюблённых в математику [i_040.jpg] Иллюстрация к книге — Путеводитель для влюблённых в математику [i_040.jpg]](img/book_covers/075/75623/i_040.jpg)
![Иллюстрация к книге — Путеводитель для влюблённых в математику [i_041.jpg] Иллюстрация к книге — Путеводитель для влюблённых в математику [i_041.jpg]](img/book_covers/075/75623/i_041.jpg)
![Иллюстрация к книге — Путеводитель для влюблённых в математику [i_042.jpg] Иллюстрация к книге — Путеводитель для влюблённых в математику [i_042.jpg]](img/book_covers/075/75623/i_042.jpg)