Книга От атомов к древу. Введение в современную науку о жизни, страница 32 – Сергей Ястребов

Авторы: А Б В Г Д Е Ж З И Й К Л М Н О П Р С Т У Ф Х Ч Ш Ы Э Ю Я
Книги: А Б В Г Д Е Ж З И Й К Л М Н О П Р С Т У Ф Х Ц Ч Ш Щ Ы Э Ю Я
Бесплатная онлайн библиотека LoveRead.in

Онлайн книга «От атомов к древу. Введение в современную науку о жизни»

📃 Cтраница 32

Кроме того, содержание глюкозы в крови контролируется специальными гормонами. Это инсулин, запускающий захват глюкозы клетками, и глюкагон, который, наоборот, стимулирует высвобождение глюкозы из клеток в кровь. Инсулин понижает концентрацию глюкозы в крови, а глюкагон повышает. И инсулин, и глюкагон — белки. Это самый что ни на есть классический пример сигнальной функции белков, о которой мы говорили в главе 3. И инсулин, и глюкагон синтезируются у человека в поджелудочной железе, уходя оттуда в кровь и распространяясь по всему телу. Недостаток инсулина — одна из главных возможных причин сахарного диабета.

Придумавший метод выделения инсулина и раскрывший тем самым механизм диабета сэр Фредерик Бантинг до сих пор остается самым молодым лауреатом Нобелевской премии по физиологии и медицине — он получил ее в 1923 году в возрасте 32 лет. Интересно, что в жизни самого Бантинга это открытие было лишь эпизодом. Врач по основной специальности, он в разные периоды жизни был неплохим художником и полярным путешественником, занимался ради собственного интереса самыми разными медицинскими проблемами вроде болезней легких и адаптации летчиков к высоте, а еще участвовал в обеих мировых войнах и погиб при крушении военного самолета в 1941 году.

Широко известно (и является чистой правдой), что главный потребитель глюкозы в нашем теле — это мозг. Интересно, что сердце, наоборот, один из самых “всеядных” органов, составляющий в этом плане полную противоположность мозгу. Клетки сердца охотно получают энергию и из жирных кислот, и из аминокислот, и даже из такого отхода, как молочная кислота. Мозг же требует глюкозы, причем в большом количестве и бесперебойно. Как ни парадоксально, именно поэтому работа мозга почти не зависит от режима питания. Дело в том, что энергетическое снабжение мозга — это константа. Оно всегда стоит на максимальной отметке и не может быть снижено ни при каких физиологических условиях: на мозге организм не экономит. Если снабжение мозга глюкозой все-таки падает, это приводит к опаснейшей для жизни ситуации, которая называется гипогликемической комой. Чаще всего она возникает из-за неаккуратного введения слишком большой дозы инсулина — тут уж, что называется, “против лома нет приема”. (В истории медицины бывало, что гипогликемическую кому вызывали специально: это называлось инсулиновым шоком, или инсулинотерапией, и использовалось в XX веке как способ лечения шизофрении — впрочем, с сомнительной эффективностью. В знаменитом фильме “Игры разума” показано, что этим варварским методом пытались лечить математика Джона Нэша.) Но никакой переменой питания столь впечатляющего эффекта добиться нельзя. В частности, это означает, что практически никакая диета для мозга не опасна. Но нельзя забывать, что при этом она вполне может быть опасна для других органов — здесь надо соблюдать осторожность.

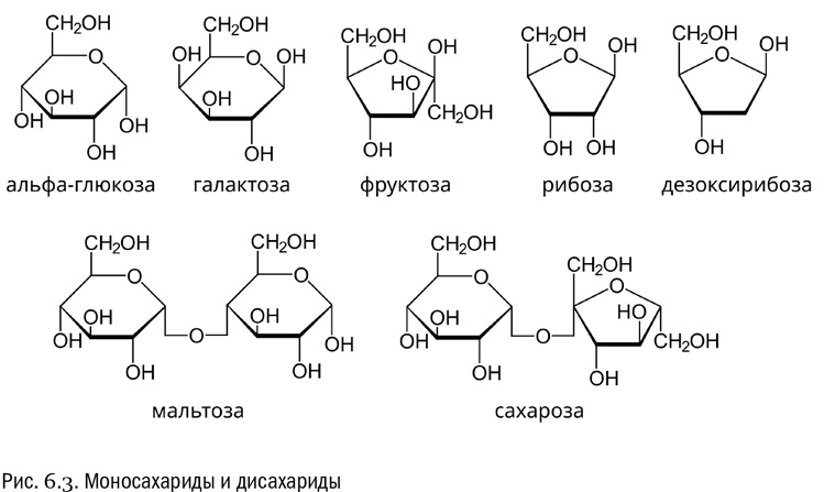
Фруктоза — питательный углевод, которого много в растениях, например в сладких ягодах и плодах. Это шестиуглеродный сахар, отличающийся от глюкозы тем, что содержит не альдегидную группу, а кетогруппу. В нашем организме фруктоза частично превращается в глюкозу, а частично усваивается самостоятельно (для этого есть специальные ферменты).

Галактоза — стереоизомер глюкозы, углевод, который человек получает, прежде всего, в составе молочных продуктов. При усвоении нашим организмом галактоза первым делом превращается в глюкозу. Сбой работы соответствующего фермента как раз и вызывает болезнь галактоземию. Впрочем, без внешнего источника галактозы взрослый человек в случае чего может обойтись.

Наконец, два важнейших пятиуглеродных сахара — рибоза (уже нам знакомая) и отличающаяся от нее на один атом кислорода 2-дезоксирибоза. У дезоксирибозы отсутствует одна из гидроксильных групп, вместо нее — просто атом водорода; цифра “2” — номер того атома углерода, при котором эта отсутствующая гидроксильная группа могла бы находиться. Полные названия обоих сахаров — D-рибоза и 2-D-дезоксирибоза, но приставки часто опускаются, если и так понятно, о чем идет речь. Заодно отметим, что атомы углерода в циклических формах рибозы и дезоксирибозы по некоторым историческим причинам принято обозначать не просто цифрами, а цифрами со штрихами — вот так: 2'-дезоксирибоза.

Рибоза и дезоксирибоза нужны живым организмам в первую очередь для того, чтобы строить из них более сложные молекулы, которые называются нуклеотидами и нуклеиновыми кислотами. О них мы поговорим в главах 7 и 8.

Дисахариды

Молекулы сахаров могут создавать друг с другом ковалентные связи. Для этого нужны две гидроксильные группы, принадлежащие двум сахарам. От одной из них отщепляется водород (–H–), другая отщепляется целиком (–OH), эти фрагменты образуют воду (H–O–H), а оставшиеся свободные валентности замыкаются друг на друга, и в результате между остатками сахаров остается мостик с атомом кислорода посредине (–О–). Такая связь называется гликозидной (см. рис. 6.3).

Сложный сахар, состоящий из двух углеводных остатков, соединенных гликозидной связью, называется дисахаридом. А простой сахар, не состоящий из нескольких углеводных остатков, в той же терминологии называют моносахаридом. На данный момент нам знакомо пять моносахаридов: глюкоза, фруктоза, рибоза, дезоксирибоза и галактоза (см. рис. 6.3).

Иллюстрация к книге — От атомов к древу. Введение в современную науку о жизни [img_32.jpg]

Самый известный дисахарид, с которым человек имеет дело буквально каждый день, — сахароза, состоящая из остатков глюкозы и фруктозы (см. рис. 6.3). Сахароза — это обычный столовый сахар. Получают ее из сахарного тростника, а в странах, где тростник не растет, — в основном из свеклы. Поскольку в сахарозе есть глюкоза, она категорически запрещена людям с сахарным диабетом и не рекомендуется людям с риском такового — в отличие от чистой фруктозы, для усвоения которой не нужен инсулин и которая в принципе допустима даже в диете диабетиков. Фруктоза, кстати, гораздо слаще сахарозы, а та, в свою очередь, слаще чистой глюкозы.

Если соединить гликозидной связью два остатка глюкозы, то получится еще один широко распространенный дисахарид, а именно мальтоза (см. рис. 6.3). Это обычнейшая составная часть любой растительной пищи. Иногда мальтозу называют солодовым сахаром, потому что ее много в зернах: солод — это и есть проросшее зерно. Кстати, слово “солод” родственно слову “сладкий”: например, в сербохорватском языке оно так и пишется “слад”, в чешском и словацком — slad, в польском — słód.

Еще один важный для человека дисахарид — лактоза, состоящая из остатков глюкозы и галактозы. Лактозу называют молочным сахаром, потому что ее действительно очень много в молоке. В отличие от большинства других сахаров, она почти не сладкая. Для усвоения лактозы нужен фермент лактаза, который рвет гликозидную связь, расщепляя лактозу на глюкозу и галактозу. Если этого фермента нет или его не хватает, возникает непереносимость лактозы. Ничего особенно опасного в этом состоянии нет, но таким людям приходится или ограничивать себя в молочной пище, или пить предназначенное специально для них безлактозное молоко (такое обычно есть в современных крупных магазинах).

Вход
Поиск по сайту
Ищем:
Календарь