Книга Инстаграм. Хочу likes и followers, страница 18 – Гогохия Инди

Авторы: А Б В Г Д Е Ж З И Й К Л М Н О П Р С Т У Ф Х Ч Ш Ы Э Ю Я
Книги: А Б В Г Д Е Ж З И Й К Л М Н О П Р С Т У Ф Х Ц Ч Ш Щ Ы Э Ю Я
Бесплатная онлайн библиотека LoveRead.in

Онлайн книга «Инстаграм. Хочу likes и followers»

📃 Cтраница 18

Сейчас Instagram движется по новой истории: у нас есть лента ранжирования, которая работает абсолютно по другим алгоритмам нежели ранее, и с каждым месяцем правила меняются. И, чтобы оставаться классным парнем, нужно, чтобы вас видело все время много людей.

Если у вас мало лайков, то это не из-за того, что вы выдаете плохой контент, а потому что вас видит мало людей. Чтобы такого не было, вашим подписчикам нужно совершать ключевые действия. И Instagram сам сделает свою аналитику по вашему аккаунту.

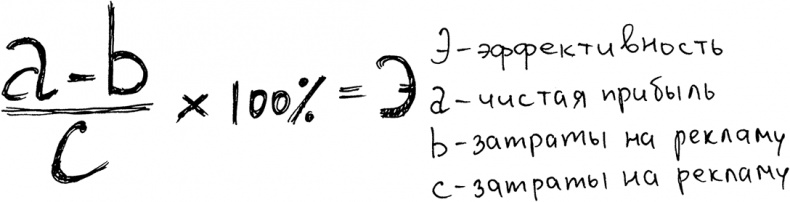
Если вы делаете рекламу, нужно высчитывать эффективность затраченных инвестиций на блогера, таргетинг и т. д.

Есть формула, которая упрощает нам жизнь в подсчетах эффективности (ROMI):

Иллюстрация к книге — Инстаграм. Хочу likes и followers [i_049.jpg]

Тем самым мы можем оценить, насколько эффективно прошла ваша рекламная кампания. Я призываю вас смотреть на цифры и анализировать всю статистику, она точно не врет!

Следующий индикатор успешной рекламной кампании – прямой приток подписчиков, увеличение лайков и комментариев.

Когда вы делаете рекламную компанию, вы должны выставить для себя цели:

• Подписчики, в случае если вы продвигаете свой личный бренд.

• Продажи, если у вас бизнес. В этом случае эффективность мы чекаем именно из продаж.

Глава 2: #Подготовка_к_трафику

Что нужно делать для рекламных кампаний? Некий хребет. Перед тем, как начать заливать свой Instagram рекламным трафиком, вы должны сделать несколько важных вещей:

Подготовить свой аккаунт.

Вы можете заказать рекламу у блогера, но к вам придет мало людей. Вся проблема будет не в том, что блогер плохой, а в том, что у вас не подготовлен профиль. Поэтому нужно подготовиться:

• Удалить всю хурму, которая не соответствует вашему позиционированию.

• Подготовить личное позиционирование.

• Залить полезный контент, пользователи в среднем анализируют последние 9 постов.

• Оформить грамотно БИО.


Вы должны:

• Быть максимально понятными и простыми. Не мешайте пользователю совершить ключевое действие.

• Быть готовы к приему трафика. Поэтому первые 9 постов уже в вашем аккаунте, написанные в контексте «идеальный пост».

• Сделать рекламный пост с четким оффером.

Глава 3: #Технология_конкурсной_активности

Во времена ранжированной ленты, когда люди постоянно борются за то, чтобы жить на волне, охваты с вовлеченностью постоянно падают и самое правильное – устраивать конкурсные активности. Но здесь немногие знают из каких факторов составляется конкурсная активность.

Сейчас мы с вами рассмотрим технологию конкурсной активности. Что обязательно должно быть, из каких составляющих состоит эта правильная активность. Начнем с самого первого пункта:


№ 1: Цель

Ваша задача – прописать цель вашего конкурса, марафона, эстафеты, Giveaway и т. д.

Например: цель – прирост подписчиков; либо цель – большое количество участников этого марафона, которые, возможно, не переходят потом в подписчики, но они покупают у вас услугу.


№ 2: Маяк

Это человек-блогер или звезда, присутствие и лояльную аудиторию которого мы используем в переливе трафика на данную активность.


№ 3: Действие

В любом конкурсе обязательно должно быть действие – конкретный call-to-action. То есть понятное и конкретное действие – то, что должен совершить участник.

Например, чтобы участвовать в марафоне, он должен подписаться на всех спонсоров.


№ 4: Польза

У каждой конкурсной механики обязательно должна быть заложена в основе польза. Она может выражаться в виде полезного контента, прямых эфиров, подарков на промежуточных этапах.


№ 5: Распространение

Это виральные действия или шеринг, то есть то, что позволяет узнавать о вашем конкурсе. Это могут быть ваши хештеги; либо вы участник конкурса и выкладываете в Stories какую-то картинку, где отмечаете организатора конкурса. Тем самым и об организаторе узнают ваши подписчики. Так и создается та самая вирусная активность.


№ 6: Понятная выгода

Это конечный приз, подарок: iPhone, машина, самолет и т. д.

Вот эти пункты вы можете комбинировать как вам будет удобно. Это идеальная модель любого конкурса, который точно будет успешен.

Схема:

Иллюстрация к книге — Инстаграм. Хочу likes и followers [i_050.jpg]
Глава 4: #Как выжить в Giveaway?

Giveaway – это коллективная история, когда группа людей скидывается деньгами, покупает призы и подтягивает блогеров или звезд к конкурсу для привлечения трафика. Как правило, блогер привлекает свою аудиторию и просит подписаться ее на конкурсные аккаунты. Мы понимаем, что для организации Give Away нужны:

• Призы.

• Спонсоры.

• Люди, привлекающие трафик.


Giveaway – это самый быстрый источник прироста новых подписчиков. Но есть и другая история, когда на вас льется ледяной трафик.

Ледяной трафик – это когда вам пишут гадости в Direct или в комментарии. Но вы не должны горевать по этому поводу.

Следующая проблема заключается в том, что люди быстро «умирают» из вашей ленты ранжирования и они просто становятся балластом; то есть они не видят ваши публикации и висят у вас будто накрученные подписчики.

Вы должны понимать, что 100 % аудитории с Giveaway вам никогда не сохранить, каким бы классным вы ни были. Ваша чувствительная психика должна быть готова к этому.

Следующая история – это большое количество отписок, что тоже очень печально. Есть некий алгоритм Instagram, и когда у вас идет прирост, вас тоже могут заблокировать, вы это должны понимать. Но сейчас все Giveaway дают не настолько мощный приток подписчиков, чтобы вас блокировать; это бывает крайне редко. Но при этом идет волна отписок.


Разыграли, допустим, айфоны:

• Всегда найдется недовольная Люся, которая скажет, что все обман.

• Будет волна отписок.

И именно поэтому алгоритмы Instagram очень негативно могут среагировать на происходящее с вашим аккаунтом. Программа подозревает, что вы, скорее всего, начали делать что-то незаконное (в ее понимании). Ведь просто так нормальные люди не отписываются.

Вход
Поиск по сайту
Ищем:
Календарь