Онлайн книга «Либидо с кукушкой. Психоанализ для избранных»
![]() Рис. 6.8. Образование застоя либидо. Либидо движется из бессознательного в сознание значительно быстрее, чем обратно, поэтому потоки из u в b изображены тройными стрелками. За приятными разговорами о водопадах, океанах и омутах, мы нашли ответы к двум загадкам из трех. Творческий выхлоп – это очередной способ ассимиляции, удерживания и контроля над либидо. Кровопускание, чтобы снизить давление в сосудах замкнутого контура. Есть некоторое сходство с аффектом, когда либидо необратимо рассеивается. При творчестве психосексуальная энергия сохраняется, но переходит в особую форму: самую зловещую, самую чарующую, самую сложную для понимания – в форму застоя (Stau). Вытащить запас из загадочного темного хранилища просто так не получится (о причинах мы поговорим гораздо позже). При аффекте исчезает энергия, но сохраняются ее бывшие обладатели – представления. Творческий омут затягивает в себя и либидо, и куски психического содержания. Застой либидо играет главную роль и в творчестве, и в патогенезе психозов (глава 8). Представления, нагруженные «обычной» формой либидо (потенциалом), отражают наиболее важные для субъекта объекты реальности. Представления, втянутые в омут застоя, отражают иную, новую реальность, которую субъекту только предстоит создать. Неважно, где свершится акт созидания: на всемирном кинофестивале или в уютной комнате с мягкими стенами. Тот факт, что творческий выхлоп является особой формой либидо, позволяет ответить и на вторую загадку. Почему нельзя все время творить? Потому что причиной застоя явилась разная скорость потоков либидо. Застой образовался, скорость выровнялась – копать новые омуты не имеет смысла. Третья загадка о влечении к творчеству пока не поддается. Но почему мы заговорили о влечениях? Здесь нет ничего, напоминающего парную конструкцию из предыдущей главы. Тем не менее, творец испытывает экстатическую разрядку, завершая свой труд. Вплоть до дикого желания повеситься напротив еще не высохшего полотна. Или более жестко: опубликовать свой код на git-hub и выбросить ноутбук в озеро Хевиз [59]. Доверимся жизненным наблюдениям: локомотивом творческого процесса является некоторое влечение. Что это за влечение? И в чем именно заключается его удовлетворение: в создании застоя, в сбросе энергии из потока? А может, дело совершенно не в этом, и творческий шедевр является лишь побочным продуктом? Зная цинизм и бескомпромиссную дерзость психоанализа, это предположение не вызывает ни малейшего удивления. 6.4. Практикуй, не практикуй…
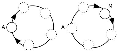
Вернемся на два шага назад, к вихрям либидо. Либидо, посланное Алисой, не находит своей цели, сбивается с курса и после долгих мытарств по сознанию возвращается к источнику (рис. 6.9). Для определенности предположим, что либидо не покидает сознания и даже не приближается к бессознательному. Чем этот случай отличается от разрастания амбивалентности (5.4), когда к пинг-понгу Алисы и Бэзила присоединялись все новые и новые представления? Правильно. Здесь нет Бэзила. Еще чем? Правильно. Нет дополнительных эффектов на границе сознания и бессознательного – все происходит в пределах одной структуры. Получается, мы вернулись не на два, а на три шага. Когда никакой амбивалентности нет и не может быть. Есть только влечение: с источником (Алисой) и вытесненной целью (Бэзилом). Встречного потока либидо нет. Есть то, что называется удачным вытеснением, хотя удача эта весьма сомнительная. Где замещение? Где новая цель? Новой целью стала сама Алиса. Алиса замещает сама себя. Она доставляет себе удовольствие, используя себя как мишень для разрядки. Аналогично, сама причиняет себе неудовольствие, потому что получает либидозную нагрузку от себя. По форме это знакомый вам вихрь либидо, не ищите здесь подвоха. Новизна в его происхождении. В прошлой главе было два встречных влечения, образующих устойчивую конструкцию. Сейчас влечение только одно, притом его источник и цель совпадают. Какое-то странное влечение. ![]() Рис. 6.9. Когда к замкнутому потоку подключается слишком много представлений, они все равны с точки зрения либидо. Может, дело в Алисе, и она неудачно выбирает деловых партнеров? Возьмем любое представление в замкнутом контуре – знакомого нам Мориса (рис. 6.9). Мы с удивлением обнаружим у него те же самые проблемы. Морис отправляет либидо саму себе. Вообще любое представление внутри вихря можно рассматривать в качестве источника-цели какого-то странного влечения. Поэтому не будем церемониться, воспользуемся правилом композиции и объединим весь хоровод в одно представление с многообещающим названием: Грабли (рис. 6.10). ![]() Рис. 6.10. а) Пользуясь правилом композиции, все представления из замкнутого контура можно заменить одним представлением. Диаграммы б), в), г) абсолютно эквивалентны. Они все изображают представление с запасом либидо в его вихревой форме. Диаграмма г) заимствована из атомной физики, где таким образом обозначают спин (собственное вращение частицы). Обратите внимание, что на диаграммах а) – в) вращение происходит по часовой стрелке, поэтому на диаграмме г) «спин» смотрит вниз. Может ли сейчас где-нибудь возникнуть застой либидо? Какое предположение в начале параграфа вы использовали? Пишите свои ответы в группу «Психоанализ для избранных». Самые внимательные получат в подарок книгу автора. Алиса могла посылать либидо сама себе безо всяких посредников. Диаграмма была бы та же (нам хотелось в очередной раз показать упрощающий композиционной фокус). Но сама картинка – стала бы более завораживающей: как кружащаяся на месте посреди поля, раскинув руки, девица, которая доводит концепцию хоровода до завершения. За визуальным подтверждением отсылаем читателя к клипу на песню Нейромонаха Феофана «Притоптать». Сделайте перерыв, зарядитесь энергией славянских архетипов и затем продолжайте чтение. Отдохнули? Продолжаем. Не будем повторно доказывать, почему подключение к хороводу выгодно всем его участникам (удлиняется путь, уменьшается плотность либидо, каждое представление получает передышку от либидозной нагрузки). И Алиса, и Морис, и другие решили проблему излишек либидо, но сами оказались пленниками вечного возвращения. Они поблекли, потерялись в круговороте энергии. Получается, разрядка уже произошла! Иными словами, перед нами не просто влечение, а удовлетворенное влечение. |
![Иллюстрация к книге — Либидо с кукушкой. Психоанализ для избранных [i_024.jpg] Иллюстрация к книге — Либидо с кукушкой. Психоанализ для избранных [i_024.jpg]](img/book_covers/074/74312/i_024.jpg)
![Иллюстрация к книге — Либидо с кукушкой. Психоанализ для избранных [i_025.jpg] Иллюстрация к книге — Либидо с кукушкой. Психоанализ для избранных [i_025.jpg]](img/book_covers/074/74312/i_025.jpg)
![Иллюстрация к книге — Либидо с кукушкой. Психоанализ для избранных [i_026.jpg] Иллюстрация к книге — Либидо с кукушкой. Психоанализ для избранных [i_026.jpg]](img/book_covers/074/74312/i_026.jpg)