Книга Пуговицы Наполеона. Семнадцать молекул, которые изменили мир, страница 56 – Пенни Лекутер, Джей Берресон

Авторы: А Б В Г Д Е Ж З И Й К Л М Н О П Р С Т У Ф Х Ч Ш Ы Э Ю Я
Книги: А Б В Г Д Е Ж З И Й К Л М Н О П Р С Т У Ф Х Ц Ч Ш Щ Ы Э Ю Я
Бесплатная онлайн библиотека LoveRead.in

Онлайн книга «Пуговицы Наполеона. Семнадцать молекул, которые изменили мир»

📃 Cтраница 56

Это преступление считалось настолько ужасным, что к середине XV века ведьм перестали судить по обычным законам. Наличие обвинения само по себе считалось доказательством вины. Пытки не только допускались, но были совершенно обычным делом: признание без пыток считалось ненадежным (сегодня такая точка зрения кажется странной).

Злодеяния, которые приписывали ведьмам (оргии, секс с демонами, полеты на метле, убийство и поедание детей), в большинстве своем выходили за рамки рационального, однако люди верили в них. Около 90 % обвиненных в колдовстве составляли женщины, а в роли обвинителей выступали и женщины, и мужчины. До сих пор обсуждается вопрос о том, не являлось ли причиной охоты на ведьм параноидальное стремление наказать женщин за их сексуальность. Какое бы несчастье ни случилось (наводнение, засуха, недород), не было недостатка в очевидцах, которые утверждали, что видели некую женщину (или женщин), участвовавшую в шабаше с демонами или летавшую по округе в сопровождении своего домашнего животного (злобный дух в обличье, например, кота).

Мания охватила в равной степени как католические, так и протестантские страны. В апогее истерической погони за ведьмами (1500-е — 1650-е годы) в некоторых швейцарских деревнях почти не осталось женщин. В нескольких деревеньках в Германии почти все жители были сожжены на кострах. Только в Англии и в Голландии эта маниакальная охота не приобрела таких широких масштабов. Английские законы не допускали применения пыток, поэтому женщин, обвиненных в колдовстве, подвергали испытанию водой. Их связывали и бросали в пруд: колдуньи выплывали, и их вешали. Если же женщина тонула, ее объявляли невиновной. Для семьи это служило утешением, для самой утопленницы — разумеется, нет.

Мания угасала медленно, а между тем повсеместное истребление людей начинало грозить экономическому благосостоянию Европы. Феодализм уходил в прошлое, приближалась эпоха Просвещения, и голоса отважных мужчин и женщин, которые, не убоявшись дыбы или костра, выступали против сумасшествия, охватившего на несколько столетий практически всю Европу, стали раздаваться все чаще. В последний раз в Голландии ведьму казнили в 1610 году, а в Англии — в 1685 году. В Скандинавии последних колдуний (85-летних) сожгли на костре в 1699 году. В основу обвинения легли показания маленьких детей, уверявших, что летали с ними на шабаш.

В XVIII веке обвиняемых в колдовстве официально прекратили преследовать: в Шотландии — с 1727 года, во Франции — с 1745 года, в Германии — с 1775 года, в Швейцарии — с 1782 года, в Польше — с 1793 года. Однако при том, что церковь и правительство больше не отправляли ведьм на костер, люди не смогли быстро избавиться от страха и отвращения к колдовству. В отдаленных сельских уголках эти предрассудки существовали еще долго, и те, кого подозревали в колдовстве, могли кончить очень плохо, пусть расправа и не была санкционирована властями.

Иллюстрация к книге — Пуговицы Наполеона. Семнадцать молекул, которые изменили мир [i_205.jpg]

Изразец из делфтского фарфора (Голландия, первая половина XVIII века), изображающая испытание водой. Женщина справа утонула, поэтому ее объявят невиновной. Плывущую женщину слева поддерживают руки сатаны. Теперь ее вина доказана, и ее заживо сожгут на костре. Коллекция Хорвата, Ванкувер


Многие обвиненные в колдовстве женщины были знахарками, то есть знатоками местной флоры, и умели растениями лечить людей и избавлять их от боли. Кроме того, считалось, что они умеют готовить любовное зелье, изгонять духов и снимать порчу. Реальные лечебные свойства некоторых трав считались таким же чудом, как и заклинания и ритуалы, сопровождавшие приготовление отваров или примочек.

Использование лекарственных трав как тогда, так и сейчас, было делом рискованным. В разных частях растений содержатся разные количества активных веществ; растения, собранные в разных местах, могут различаться по силе действия. Наконец, в разное время года содержание активных компонентов в растениях тоже изменяется. Снадобья из одних растений не приносят ощутимой пользы, в то время как другие могут содержать очень эффективные, но и довольно ядовитые вещества. Эффективные компоненты растений, безусловно, сыграли свою роль в том, что знахарок зачастую считали колдуньями, а чудодейственные свойства активных молекул в конечном итоге стали причиной смерти этих бедных женщин. Самых опытных знахарок обвиняли в колдовстве в первую очередь.

Лечебные травы, вредные травы

Салициловая кислота, содержащаяся в коре ивы и в таволге, которые распространены по всей Европе, была известна людям задолго до того, как фирма “Байер” начала производство аспирина в 1899 году (см. главу 10). Корень дикого сельдерея назначали от судорог. Петрушка, как считалось, способствовала прерыванию беременности, а плющ применяли для ослабления приступов астмы. Дигиталис, экстрагируемый из наперстянки (Digitalis purpurea), давно был известен своей способностью влиять на работу сердца (сердечный гликозид). Сердечные гликозиды снижают частоту сердечных сокращений, нормализуют сердечный ритм и усиливают выброс крови, что в неопытных руках может оказаться опасным оружием. Кстати, в наперстянке также содержатся сапонины, очень похожие на те, что были обнаружены в сарсапариле и мексиканском ямсе, из которых был выделен норэтиндрон (противозачаточная пилюля, см. главу 11). К числу сердечных гликозидов относится дигоксин — один из наиболее часто назначаемых в США лекарственных препаратов и хороший пример фармацевтического средства, основанного на народной медицине.

В 1795 году английский врач Уильям Уитеринг использовал экстракт наперстянки для лечения застойной сердечной недостаточности. Однако это было за сто лет до того, как ученые научились выделять из растений индивидуальные действующие вещества.

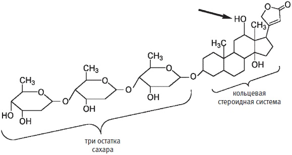
Иллюстрация к книге — Пуговицы Наполеона. Семнадцать молекул, которые изменили мир [i_206.jpg]

Структура молекулы дигоксина. Три сахарных звена отличаются от тех, что входят в состав сарсапариля и мексиканского ямса. В молекуле дигитоксина отсутствует OH-группа, на которую указывает стрелка.


В дигиталисе содержится не только дигоксин, но и другие, похожие на него молекулы, например дигитоксин, молекула которого отличается лишь отсутствием одной OH-группы. Аналогичные сердечные гликозиды найдены во многих растениях, обычно относящихся к семействам лилейных или лютиковых, однако чаще всего дигоксин выделяют из наперстянки. Знахари легко находили растения, стимулирующие работу сердца, в своих садах и на ближайших лугах. Древние египтяне и римляне использовали с этой целью морской лук (растение из семейства гиацинтовых), однако в более высоких дозах экстракт из морского лука применяли в качестве крысиного яда. Теперь известно, что в морском луке содержится другой сердечный гликозид.

Все эти молекулы имеют одинаковые элементы структуры, которые, по-видимому, и отвечают за воздействие на сердце. Речь идет о пятичленном лактоновом кольце, присоединенном к системе стероидных колец, а также о дополнительной OH-группе, расположенной между кольцами C и D.

Вход
Поиск по сайту
Ищем:
Календарь