Книга Пуговицы Наполеона. Семнадцать молекул, которые изменили мир, страница 48 – Пенни Лекутер, Джей Берресон

Авторы: А Б В Г Д Е Ж З И Й К Л М Н О П Р С Т У Ф Х Ч Ш Ы Э Ю Я
Книги: А Б В Г Д Е Ж З И Й К Л М Н О П Р С Т У Ф Х Ц Ч Ш Щ Ы Э Ю Я
Бесплатная онлайн библиотека LoveRead.in

Онлайн книга «Пуговицы Наполеона. Семнадцать молекул, которые изменили мир»

📃 Cтраница 48

Теоретически сульфаниламидные препараты не являются антибиотиками. По определению антибиотики — это “вещества микробного происхождения, которые обладают противомикробной активностью даже в очень низких концентрациях”. Сульфаниламид не синтезируется в живых клетках. Это искусственное вещество, которое правильнее назвать антиметаболитом — химическим соединением, ингибирующим рост микробов. Однако в настоящее время антибиотиками называют все вещества (как природные, так и созданные искусственно), которые уничтожают бактерий.

Хотя сульфаниламиды не были первыми искусственными антибиотиками (это был полученный Эрлихом сальварсан), это первая группа веществ, которая нашла широкое применение. Эти лекарства не только спасли жизнь сотен тысяч раненых солдат и больных пневмонией. Они также способствовали значительному снижению смертности от родильной горячки, вызванной стрептококковой инфекцией. Однако в последнее время применение сульфаниламидных препаратов стало сокращаться по целому ряду причин: из-за долгосрочного побочного действия, возникновения устойчивых к сульфаниламидным препаратам бактерий и появления новых, более мощных препаратов.

Пенициллины

Самые первые антибиотики, относящиеся к группе пенициллина, до сих пор широко применяются. В 1877 году Луи Пастер доказал, что с помощью одного микроорганизма можно уничтожить другой. Он также продемонстрировал, что рост штамма возбудителя сибирской язвы в моче можно предотвратить путем добавления некоторых распространенных бактерий. Позднее Джозеф Листер, убедивший медицинское сообщество в антисептических свойствах фенола, занялся изучением плесеней и, по-видимому, с помощью компресса с экстрактом пенициллиновой плесени вылечил одного из своих пациентов от хронического абсцесса.

Несмотря на все эти положительные результаты, систематическое изучение плесневых грибков началось только после того, как в 1928 году шотландский врач Александер Флеминг, работавший в госпитале св. Марии при Лондонском университете, обнаружил, что плесень рода Penicillium заражала культуру стафилококковых бактерий. Он обнаружил, что в присутствии плесени колонии бактерий становились прозрачными и распадались: происходил так называемый лизис. В отличие от своих предшественников, Флеминг заинтересовался этим обстоятельством и продолжил эксперименты с плесенью. Он предположил, что некие выделяемые плесенью вещества подавляют рост стафилококка, и эксперименты подтвердили эту гипотезу. Профильтрованная среда, в которой росла плесень Penicilliumnotatum, весьма эффективно подавляла рост стафилококков, росших на стеклянных чашках. Экстракт плесени убивал бактериальные клетки даже при разведении в восемьсот раз. Инъекция мышам этого экстракта, который Флеминг назвал пенициллином, не оказывала токсического действия. В отличие от фенола пенициллин не вызывал раздражения кожи и мог быть нанесен прямо на поврежденный участок тела. Кроме того, он оказался более мощным ингибитором роста бактерий, чем фенол. Пенициллин действовал против многих видов бактерий, включая те, что вызывают менингит, гонорею и стрептококковые инфекции, в том числе острый фарингит.

Флеминг опубликовал результаты в медицинском журнале, но они не вызвали большого интереса. Полученная им среда содержала слишком мало пенициллина, и из нее не удавалось выделить активный ингредиент. Теперь мы знаем, что пенициллин легко разлагается под действием многих химических веществ, а также растворителей и тепла.

До начала клинических испытаний пенициллина прошло еще десять лет, на протяжении которых основным средством борьбы с бактериальными инфекциями оставались сульфаниламидные препараты. Успешное применение этой группы лекарств заставило нескольких химиков, микробиологов и врачей из Оксфордского университета заняться получением и выделением пенициллина. Первые клинические испытания грубого препарата пенициллина были проведены только в 1941 году. К сожалению, отчет о результатах испытаний звучал как анекдот: “Лечение прошло успешно, однако пациент умер”.

Полицейскому, страдавшему одновременно от стрептококковой и стафилококковой инфекций, внутривенно ввели препарат пенициллина. Через двадцать четыре часа наступило улучшение, а спустя пять дней жар спал и инфекция начала угасать. Однако к этому времени весь запас лекарства (примерно чайная ложка неочищенного препарата) был исчерпан. Инфекция вновь набрала силу, и пациент вскоре умер. Погиб и второй пациент. К началу третьих испытаний было получено достаточно пенициллина, чтобы полностью вылечить от стрептококковой инфекции 15-летнего подростка. После этого с помощью пенициллина удалось вылечить еще одного ребенка, кровь которого была заражена стафилококком, и ученые из Оксфорда поняли, что одержали победу. Пенициллин оказался активным ингибитором роста многих видов бактерий и не оказывал такого серьезного побочного действия, как нарушение функции почек, наблюдавшееся при лечении сульфаниламидными препаратами. Позднее в некоторых исследованиях было показано, что отдельные пенициллины ингибируют рост стрептококков даже в таком сильном разведении, как одна часть на пятьдесят миллионов.

В то время структура пенициллина еще не была известна, поэтому не было возможности получить это вещество синтетическим путем. Пенициллин по-прежнему получали из плесени, и выделение больших количеств препарата было скорее проблемой микробиологов и бактериологов, чем химиков. Центром исследований в этой сфере стала лаборатория Министерства сельского хозяйства США в Пеории, штат Иллинойс. К июлю 1943 года американские фармацевтические компании произвели около восьмисот миллионов единиц нового антибиотика. Через год ежемесячный выпуск достиг 130 миллиардов единиц.

Согласно некоторым оценкам, во время Второй мировой войны над определением структуры пенициллина и поиском путей его синтеза трудилась тысяча ученых-химиков из тридцати девяти лабораторий в США и Великобритании. Наконец в 1946 году структура этого вещества была определена [15], однако успешный синтез был осуществлен только в 1957 году.

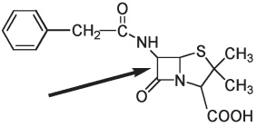
Структура молекулы пенициллина кажется не такой сложной, как структура некоторых уже рассмотренных нами веществ. Однако это соединение необычно тем, что содержит четырехчленное кольцо — так называемое β-лактамное кольцо.

Иллюстрация к книге — Пуговицы Наполеона. Семнадцать молекул, которые изменили мир [i_181.jpg]

Структура молекулы пенициллина G. Стрелкой показано β-лактамное кольцо.


Молекулы с четырехчленными кольцами встречаются в природе довольно-таки редко. И синтезировать подобную молекулу химическим путем непросто. Причина в том, что углы между связями в таком кольце составляют 90°, тогда как обычно углы между простыми связями у атомов углерода и азота составляют 109°. А предпочтительный угол между связями углерода, имеющего двойную связь, составляет около 120°.

Вход
Поиск по сайту
Ищем:
Календарь