Онлайн книга «Пуговицы Наполеона. Семнадцать молекул, которые изменили мир»
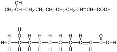
![]() Этилен В данном случае углерод по-прежнему имеет четыре связи, поскольку двойная связь рассматривается как две одинарные. Этилен — очень простое и очень важное вещество. Это растительный гормон, способствующий созреванию плодов. Например, если яблоки хранить в непроветриваемом помещении, они быстро перезреют под действием собственного этилена. (Можно ускорить созревание неспелых авокадо или киви, положив их в пакет со спелым яблоком.) Органическое соединение метанол, или метиловый спирт, имеет химическую формулу CH4O. Структура этого кислородсодержащего соединения представлена на рисунке: ![]() Метанол В данном случае атом кислорода имеет две простые связи, одна из которых связывает его с атомом углерода, а другая — с атомом водорода. И, как всегда, углерод окружен четырьмя связями. В соединениях, в которых существует двойная связь между атомами углерода и кислорода, как в уксусной кислоте (уксусе), формула C2H4O2 не показывает однозначно, где расположена двойная связь. Именно по этой причине нам нужны структурные формулы: чтобы показать, в каком порядке соединяются атомы и где расположены двойные связи. ![]() Уксусная кислота Подобные структурные формулы можно изобразить и в сжатом виде. Тогда структурная формула уксусной кислоты примет следующий вид: ![]() или даже ![]() Здесь показаны не все химические связи, существующие в этой молекуле. Такая форма записи позволяет упростить рисунок и демонстрирует только взаимное расположение атомов. Эта система записи хорошо подходит для небольших молекул, но для более крупных молекул даже такая запись отнимает много времени и сложна для восприятия. Например, обратимся вновь к молекуле, синтезируемой пчелиной маткой, и сравним две формы записи — сжатую и развернутую, отражающую расположение всех связей: ![]() Развернутая структурная формула молекулы, синтезируемой пчелиной маткой Такая формула слишком громоздка и плохо воспринимается. По этой причине молекулы часто изображают с некоторыми упрощениями. Самым распространенным из них является отсутствие в формулах большинства атомов водорода. (Но это не означает, что атомов водорода в этих молекулах нет.) Атом углерода всегда имеет четыре связи. Поэтому если вы видите, что в какой-либо формуле атом углерода имеет меньше связей, знайте: на самом деле, связей четыре, просто те, которых нет на рисунке, связывают углерод с атомом водорода. ![]() Молекула, синтезируемая пчелиной маткой Кроме того, атомы углерода в формулах часто изображают связанными не по прямой линии, а под углом. На самом деле такая запись точнее отражает реальную структуру молекул. Изобразим молекулу, синтезируемую пчелиной маткой. ![]() А в еще более сжатом виде можно опустить большинство атомов углерода: ![]() Здесь конец линии и все пересечения обозначают место расположения атома углерода. Все остальные атомы, за исключением большинства атомов водорода и углерода, изображены. Если использовать данное упрощение, то разница между молекулами, синтезируемыми пчелиной маткой и рабочей пчелой, видна гораздо отчетливее. ![]() Молекула, синтезируемая пчелиной маткой ![]() Молекула, синтезируемая рабочей пчелой Кроме того, в таком виде проще сравнить эти молекулы с молекулами, которые синтезируют другие насекомые. Например, бомбикол — это феромон, или половой аттрактант, который синтезируют самцы тутового шелкопряда. В отличие от молекулы, синтезируемой пчелиной маткой (которая также является феромоном), эта молекула состоит из шестнадцати атомов углерода, имеет две двойные связи вместо одной и не содержит группы COOH. ![]() Молекула, синтезируемая пчелиной маткой ![]() Молекула бомбикола Особенно выгодно опускать изображение атомов углерода и водорода в формулах циклических соединений — достаточно распространенных структур, в которых атомы углерода образуют кольцо. Ниже приведена структурная формула молекулы циклогексана C6H6. ![]() Сжатая форма изображения химической структуры циклогексана. Пересечение любых двух линий указывает место расположения атома углерода. Атомы водорода не показаны. |
![Иллюстрация к книге — Пуговицы Наполеона. Семнадцать молекул, которые изменили мир [i_006.jpg] Иллюстрация к книге — Пуговицы Наполеона. Семнадцать молекул, которые изменили мир [i_006.jpg]](img/book_covers/073/73959/i_006.jpg)
![Иллюстрация к книге — Пуговицы Наполеона. Семнадцать молекул, которые изменили мир [i_007.jpg] Иллюстрация к книге — Пуговицы Наполеона. Семнадцать молекул, которые изменили мир [i_007.jpg]](img/book_covers/073/73959/i_007.jpg)
![Иллюстрация к книге — Пуговицы Наполеона. Семнадцать молекул, которые изменили мир [i_008.jpg] Иллюстрация к книге — Пуговицы Наполеона. Семнадцать молекул, которые изменили мир [i_008.jpg]](img/book_covers/073/73959/i_008.jpg)
![Иллюстрация к книге — Пуговицы Наполеона. Семнадцать молекул, которые изменили мир [i_009.jpg] Иллюстрация к книге — Пуговицы Наполеона. Семнадцать молекул, которые изменили мир [i_009.jpg]](img/book_covers/073/73959/i_009.jpg)
![Иллюстрация к книге — Пуговицы Наполеона. Семнадцать молекул, которые изменили мир [i_010.jpg] Иллюстрация к книге — Пуговицы Наполеона. Семнадцать молекул, которые изменили мир [i_010.jpg]](img/book_covers/073/73959/i_010.jpg)
![Иллюстрация к книге — Пуговицы Наполеона. Семнадцать молекул, которые изменили мир [i_011.jpg] Иллюстрация к книге — Пуговицы Наполеона. Семнадцать молекул, которые изменили мир [i_011.jpg]](img/book_covers/073/73959/i_011.jpg)
![Иллюстрация к книге — Пуговицы Наполеона. Семнадцать молекул, которые изменили мир [i_012.jpg] Иллюстрация к книге — Пуговицы Наполеона. Семнадцать молекул, которые изменили мир [i_012.jpg]](img/book_covers/073/73959/i_012.jpg)
![Иллюстрация к книге — Пуговицы Наполеона. Семнадцать молекул, которые изменили мир [i_013.jpg] Иллюстрация к книге — Пуговицы Наполеона. Семнадцать молекул, которые изменили мир [i_013.jpg]](img/book_covers/073/73959/i_013.jpg)
![Иллюстрация к книге — Пуговицы Наполеона. Семнадцать молекул, которые изменили мир [i_014.jpg] Иллюстрация к книге — Пуговицы Наполеона. Семнадцать молекул, которые изменили мир [i_014.jpg]](img/book_covers/073/73959/i_014.jpg)
![Иллюстрация к книге — Пуговицы Наполеона. Семнадцать молекул, которые изменили мир [i_015.jpg] Иллюстрация к книге — Пуговицы Наполеона. Семнадцать молекул, которые изменили мир [i_015.jpg]](img/book_covers/073/73959/i_015.jpg)
![Иллюстрация к книге — Пуговицы Наполеона. Семнадцать молекул, которые изменили мир [i_016.jpg] Иллюстрация к книге — Пуговицы Наполеона. Семнадцать молекул, которые изменили мир [i_016.jpg]](img/book_covers/073/73959/i_016.jpg)
![Иллюстрация к книге — Пуговицы Наполеона. Семнадцать молекул, которые изменили мир [i_017.jpg] Иллюстрация к книге — Пуговицы Наполеона. Семнадцать молекул, которые изменили мир [i_017.jpg]](img/book_covers/073/73959/i_017.jpg)
![Иллюстрация к книге — Пуговицы Наполеона. Семнадцать молекул, которые изменили мир [i_018.jpg] Иллюстрация к книге — Пуговицы Наполеона. Семнадцать молекул, которые изменили мир [i_018.jpg]](img/book_covers/073/73959/i_018.jpg)
![Иллюстрация к книге — Пуговицы Наполеона. Семнадцать молекул, которые изменили мир [i_019.jpg] Иллюстрация к книге — Пуговицы Наполеона. Семнадцать молекул, которые изменили мир [i_019.jpg]](img/book_covers/073/73959/i_019.jpg)