Книга Стратегии решения математических задач. Различные подходы к типовым задачам, страница 3 – Стивен Крулик, Альфред Позаментье

Авторы: А Б В Г Д Е Ж З И Й К Л М Н О П Р С Т У Ф Х Ч Ш Ы Э Ю Я
Книги: А Б В Г Д Е Ж З И Й К Л М Н О П Р С Т У Ф Х Ц Ч Ш Щ Ы Э Ю Я
Бесплатная онлайн библиотека LoveRead.in

Онлайн книга «Стратегии решения математических задач. Различные подходы к типовым задачам»

📃 Cтраница 3

1. Логическое рассуждение.

2. Распознавание закономерности.

3. Действие от обратного.

4. Принятие другой точки зрения.

5. Анализ экстремальных ситуаций.

6. Решение более простой аналогичной задачи.

7. Организация данных.

8. Схематичное изображение, или визуальное представление.

9. Учет всех возможностей.

10. Обоснованное предположение и проверка.


Как мы уже говорили, редко когда задачу можно решить единственным способом. Решение, которое мы демонстрируем, представляет собой всего лишь один иллюстративный пример. Мы предлагаем читателю попытаться найти другие решения, возможно, более интересные и необычные. Если это вам удастся, мы скажем, что вы молодец! Кроме того, в некоторых случаях, когда доступно несколько стратегий, можно с разным успехом использовать их сочетания.

Чтобы показать, как можно подойти к задаче (и решить ее) с использованием различных стратегий, мы обычно даем несколько решений.

Задача

В комнате, где находятся 10 человек, все поздоровались друг с другом, однократно пожав руку. Сколько всего было рукопожатий?

Решение 1

Воспользуемся стратегией визуального представления и построим схему. В ней 10 точек (которые расположены так, что никакие три из них не находятся на одной прямой), представляющих 10 людей. Начнем с человека, представленного точкой А.

Иллюстрация к книге — Стратегии решения математических задач. Различные подходы к типовым задачам [i_004.jpg]

Мы соединяем точку А с каждой из остальных девяти точек и, таким образом, обозначаем первые девять рукопожатий.

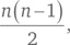
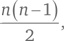
Далее, из точки B исходят восемь дополнительных рукопожатий (поскольку А уже поздоровался с B, и линия AB уже построена). Аналогичным образом из точки C можно провести только семь линий к другим точкам (линии AC и BC уже построены), из точки D — шесть дополнительных линий и т. д. Когда мы дойдем до точки I, останется только одно доступное рукопожатие, а именно I с J, поскольку I уже поздоровался с A, B, C, D, E, F, G и H. Таким образом, сумма рукопожатий составит 9 + 8 + 7 + 6 + 5 + 4 + 3 + 2 + 1 = 45. Это то же самое, что получается при использовании формулы для суммы первых n натуральных чисел:

Иллюстрация к книге — Стратегии решения математических задач. Различные подходы к типовым задачам [i_005.jpg]
где n ≥ 2. (Обратите внимание на то, что последний рисунок — это десятиугольник, у которого построены все диагонали.)

Иллюстрация к книге — Стратегии решения математических задач. Различные подходы к типовым задачам [i_006.jpg]
Решение 2

Для решения задачи можно использовать стратегию учета всех возможностей. Возьмем показанную ниже сетку, в которую включены 10 человек, A, B, C, …, H, I, J, пожимающие друг другу руки. Диагональ с символами X показывает, что люди не могут пожимать руки самим себе.

Оставшиеся клетки показывают двойное число всех других рукопожатий (т. е. A пожимает руку B, а B пожимает руку A). Таким образом, нам нужно взять общее количество клеток (102), вычесть из него количество клеток на диагонали (10) и разделить результат на два. В результате мы получаем:

Иллюстрация к книге — Стратегии решения математических задач. Различные подходы к типовым задачам [i_007.jpg]

Иллюстрация к книге — Стратегии решения математических задач. Различные подходы к типовым задачам [i_008.jpg]

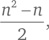
В общем случае для сетки размером n × n результат будет равен

Иллюстрация к книге — Стратегии решения математических задач. Различные подходы к типовым задачам [i_009.jpg]
что эквивалентно формуле
Иллюстрация к книге — Стратегии решения математических задач. Различные подходы к типовым задачам [i_010.jpg]
приведенной выше.

Решение 3

Попробуем теперь решить задачу с помощью принятия другой точки зрения. Возьмем комнату, где находятся 10 человек, каждый из которых пожимает руку остальным девяти. Можно предположить, что число рукопожатий будет равным 10 × 9, или 90. Однако нам нужно разделить это число на два, чтобы устранить дублирование (поскольку рукопожатие A с B можно рассматривать как рукопожатие B с A), и мы получаем

Иллюстрация к книге — Стратегии решения математических задач. Различные подходы к типовым задачам [i_011.jpg]

Решение 4

Теперь подойдем к решению задачи через распознавание закономерности. В таблице, представленной ниже, мы перечисляем количество рукопожатий в комнате по мере увеличения числа присутствующих.

Иллюстрация к книге — Стратегии решения математических задач. Различные подходы к типовым задачам [i_012.jpg]

В третьей колонке, где приведено суммарное количество рукопожатий, представлена последовательность чисел, называемых треугольными, разность между которыми возрастает каждый раз на единицу. Таким образом, можно просто заполнять таблицу до тех пор, пока мы не достигнем суммы, соответствующей 10 человекам. Можно заметить следующую закономерность: результат в каждой строке равен половине произведения количества людей в этой строке на количество людей в предыдущей строке.

Решение 5

Посмотрим теперь, как задача решается с помощью стратегии организации данных. В таблице, представленной ниже, показан номер человека, входящего в комнату, и количество рукопожатий, которыми он обменивается, с учетом того, что присутствующие уже поздоровались друг с другом, а вошедший не пожимает руку сам себе. Итак, человек номер 10 пожимает руку девятерым, человек номер 9 пожимает руку восьмерым и т. д. Наконец, мы доходим до человека номер 2, который пожимает руку только одному, и человека номер 1, которому здороваться не с кем. И вновь мы получаем сумму, равную 45.

Вход
Поиск по сайту
Ищем:
Календарь