Книга Краткая история времени: От Большого Взрыва до черных дыр, страница 8 – Стивен Хокинг

Авторы: А Б В Г Д Е Ж З И Й К Л М Н О П Р С Т У Ф Х Ч Ш Ы Э Ю Я
Книги: А Б В Г Д Е Ж З И Й К Л М Н О П Р С Т У Ф Х Ц Ч Ш Щ Ы Э Ю Я
Бесплатная онлайн библиотека LoveRead.in

Онлайн книга «Краткая история времени: От Большого Взрыва до черных дыр»

📃 Cтраница 8

Из повседневного опыта мы знаем, что положение точки в пространстве можно задать тремя числами – ее координатами. Можно, например, сказать, что некая точка в комнате находится в двух метрах от одной стены, в метре – от другой и в полутора метрах от пола. А можно также задать ее положение, указав широту, долготу и высоту над уровнем моря. Вы можете пользоваться любыми тремя подходящими координатами, хотя они всегда имеют лишь ограниченную область применимости. Никто не станет, задавая положение Луны, указывать расстояние в километрах на север и на запад от площади Пикадилли и высоту над уровнем моря. Вместо этого можно указать расстояние до Солнца, расстояние до плоскости, в которой лежат орбиты планет, и угол между прямой, соединяющей Луну с Солнцем, и прямой, соединяющей Солнце с какой-нибудь близкой звездой, скажем, с альфой Центавра. Правда, и эти координаты вряд ли подходят для задания положения Солнца в нашей Галактике или положения нашей Галактики среди окружающих нас других галактик. Но можно всю Вселенную разбить на перекрывающиеся «куски» и для каждого «куска» ввести свою систему координат, чтобы задавать в нем положение точки.

Событие – это нечто, происходящее в определенной точке пространства и в определенный момент времени. Следовательно, событие можно характеризовать четырьмя числами, или координатами. Выбор координат будет опять произвольным: можно взять любые три четко определенные координаты и любую меру времени. В теории относительности нет реального различия между пространственными и временными координатами, как нет различия между двумя любыми пространственными координатами. Можно перейти к новой системе координат, в которой, скажем, первая пространственная координата будет комбинацией первой и второй старых пространственных координат. Например, вместо того чтобы задавать положение точки на поверхности Земли, измеряя в километрах расстояние до нее к северу и к западу от площади Пикадилли, можно было бы откладывать расстояние от той же площади Пикадилли, но к северо-востоку и к северо-западу. Аналогичным образом в теории относительности можно ввести новую временную координату, которая была бы равна сумме старого времени (измеренного в секундах) и расстояния (в световых секундах) к северу от Пикадилли.

Иллюстрация к книге — Краткая история времени: От Большого Взрыва до черных дыр [i_003.jpg]

Рис. 2.2


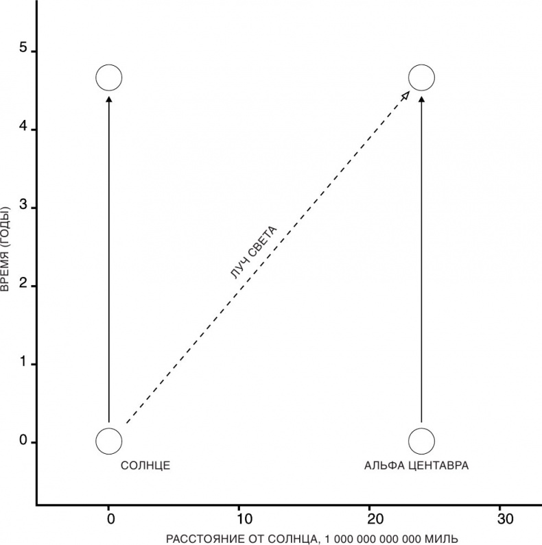
Четыре координаты какого-либо события можно рассматривать как координаты, определяющие положение этого события в четырехмерном пространстве, которое называется пространством-временем. Четырехмерное пространство представить себе невозможно. Лично я с трудом представляю себе даже трехмерное пространство! Но нетрудно изображать графически двумерные пространства, например поверхность Земли. (Поверхность Земли двумерна, потому что положение любой точки можно задать двумя координатами – широтой и долготой.) На диаграммах, которыми я буду, как правило, пользоваться, ось времени направлена вверх, а одна из пространственных осей горизонтальна. Два других пространственных измерения либо будут отсутствовать, либо же одно из них я буду иногда изображать в перспективе. (Такие диаграммы, как диаграмма рис. 2.1, называются пространственно-временными.) Например, на рис. 2.2 ось времени направлена вверх и отсчет на ней ведется в годах, а расстояние от Солнца до звезды альфа Центавра отложено по горизонтальной оси и измеряется в милях. Траектории Солнца и альфы Центавра, возникающие при их перемещении в пространстве-времени, показаны на диаграмме вертикальными линиями: первая – слева, а вторая – справа. Луч света от Солнца распространяется по диагонали, и он доходит от Солнца до альфы Центавра за четыре года.

Мы видели, что уравнения Максвелла предсказывают постоянство скорости света независимо от скорости источника и эти предсказания подтверждаются точными измерениями. Отсюда следует, что световой импульс, испущенный в некоторый момент времени из некоторой точки пространства, с течением времени будет распространяться во все стороны, превращаясь в световую сферу, размеры и положение которой зависят от скорости источника. Через одну миллионную долю секунды свет образует сферу радиусом 300 метров; через две миллионные доли секунды радиус сферы увеличится до 600 метров и т. д. Картина будет напоминать волны на воде, расходящиеся по поверхности пруда от брошенного камня. Эти волны расходятся, как круг, расширяющийся со временем. Если представить себе трехмерную модель, два измерения которой на поверхности пруда, а одно – ось времени, то в такой модели расходящийся по воде круг будет «следом» конуса с вершиной, находившейся в момент падения камня в той точке на поверхности пруда, в которой камень коснулся воды (рис. 2.3). Точно так же свет, распространяясь из некоего события в четырехмерном пространстве-времени, образует в нем трехмерный конус. Этот конус называется световым конусом будущего для данного события. Можно нарисовать и другой конус, который называется световым конусом прошлого и представляет множество событий, из которых световой импульс может попасть в точку, соответствующую данному событию (рис. 2.4).

Иллюстрация к книге — Краткая история времени: От Большого Взрыва до черных дыр [i_004.jpg]

Рис. 2.3


Световые конусы прошлого и будущего для данного события Р делят пространство-время на три области (рис. 2.5). Абсолютное будущее данного события – это область, заключенная внутри светового конуса будущего события Р. Это совокупность всех событий, на которые в принципе может повлиять то, что происходит в точке Р. События, лежащие вне светового конуса события Р, недостижимы для сигналов, идущих из точки Р, так как ничто не может двигаться быстрее света. Следовательно, на них никак не сказывается происходящее в точке Р. Абсолютное прошлое событие Р лежит внутри светового конуса прошлого. Это множество всех событий, сигналы от которых, распространяющиеся со скоростью света или с меньшей скоростью, могут попасть в точку Р. Таким образом, в конусе прошлого лежит множество всех событий, которые могут влиять на событие в точке Р. Зная, что́ происходит в какой-то момент времени всюду в той области пространства, которая ограничена световым конусом прошлого события Р, можно предсказать, что́ должно произойти в самой точке Р. Область пространства, не лежащую внутри световых конусов прошлого и будущего, мы будем называть внешней. События, принадлежащие внешней области, не могут ни сами влиять на события в точке Р, ни оказаться под влиянием происходящих в Р событий. Если, например, Солнце прямо сейчас вдруг перестанет светить, то в настоящий момент это никак не повлияет на земную жизнь, так как мы всё еще будем находиться в области, внешней по отношению к той точке, в которой Солнце потухло (рис. 2.6), а узнаем обо всем лишь через восемь минут – время, за которое свет от Солнца достигает Земли. Только тогда происходящие на Земле события попадут в световой конус будущего той точки, в которой Солнце потухло. По той же причине мы не знаем, что́ в данный момент происходит далеко во Вселенной: дошедший до нас свет далеких галактик был испущен миллион лет назад, а свет от самого далекого наблюдаемого объекта шел к нам 8 тысяч миллионов лет. Это значит, что, всматриваясь во Вселенную, мы видим ее в прошлом.

Вход
Поиск по сайту
Ищем:
Календарь